Artículos científicos
Recepción: 07 Diciembre 2018
Aprobación: 15 Enero 2021
Publicación: 02 Diciembre 2021
DOI: https://doi.org/10.7440/res64.2018.03
Resumen: Los ecosistemas terrestres tienen almacenes en la biomasa aérea (B) de alta importancia para acciones de mitigación del cambio climático a través de mecanismos tales como REDD+. Para obtener posibles compensaciones financieras por evitar deforestar o degradar los bosques, además de la conservación, incrementar los almacenes de carbono y manejo forestal sustentable, es necesario evaluar los errores de estimación de biomasa y carbono, que generalmente están asociados al modelo alométrico usado. Los modelos alométricos sobre las relaciones entre diámetro normal (D) y altura total (H) con la biomasa usan técnicas estadísticas que no aprovechan las relaciones entre los parámetros de los modelos, ni las relaciones entre las constantes y exponentes de cada modelo, por lo que en este trabajo se presenta un marco teórico generalizado aplicable a nivel de monoespecies y multiespecies, el cual fue aplicado a un conjunto de 684 mediciones de D, H y B, provenientes de 23 bases de datos de especies individuales. Los resultados obtenidos, cuando se cuenta con datos, prácticamente no presentaron error cuando se consideraron todos los parámetros. Cuando faltó información de un parámetro, las estimaciones realizadas con diferentes aproximaciones mostraron errores de estimación comparables con los obtenidos por los métodos clásicos de generación de modelos alométricos generalizados. El proceso metodológico desarrollado sirve de base para plantear cambios en los enfoques de generación de información alométrica, para simplificar modelos y para reducir los errores en la estimación de la biomasa y el carbono.
Palabras clave: carbono, ecosistemas terrestres, estimaciones específicas y generalizadas, relación entre exponentes alométricos, punto común de intersección.
Abstract: The total aboveground biomass (B) of terrestrial ecosystems has carbon stocks of high importance for mitigation actions of climate change through mechanisms such as REDD+. To be able to access possible financial compensation to avoid deforestation or degradation of forests, in addition to conservation, increase of stocks and sustainable forest management, it is necessary to evaluate biomass and carbon estimation errors, which are generally associated with the allometric model used. The common allometric models, relationships between normal diameter (D) and total height (H) with biomass, use statistical techniques that do not take advantage of the relations between the exponents of the models, nor the relationships between the constants and exponents of each model. This work presents a generalized theoretical framework applicable at the level of monospecies and multispecies, which is applied to a set of 684 measurements of D, H and B, from 23 databases of individual species. The results obtained, when all the parameters were available, were practically without error. In the cases of lack of information of a parameter, the estimations made under different approximations showed estimation errors comparable with those obtained by the classical methods of development of generalized allometric models. The methodological process presented serves as the basis for the proposal of changes in the allometric information generation approaches, to simplify and reduce errors in estimating biomass and carbon.
Keywords: carbon, terrestrial ecosystems, specific and generalized estimates, allometric exponents relationships, common point intersection.
Introducción
Los almacenes y flujos de carbono de la biomasa aérea en los ecosistemas terrestres son de alto interés, dado su potencial de secuestro de carbono con relación al cambio climático (Ruesch y Gibbs, 2008; Carré, Hiederer, Blujdea y Koeble, 2010). En lo general, las estimaciones de la biomasa aérea de comunidades arbóreas son realizadas con el uso de ecuaciones alométricas (tipo Y = kXz) que relacionan el diámetro normal o D (medido a 1.3 m de altura) y la altura o H (variables X), principalmente, de las especies arbóreas con la biomasa o B (variable Y) (Brown, 1997). Las estimaciones del carbono forestal muestran una dependencia del medio ambiente (Clark, Clark y Read, 1998; de Castilho et al., 2006) que se reflejan en los parámetros de las ecuaciones alométricas utilizadas, por lo que es necesario comprender estos controles.
En el contexto de la Convención Marco de las Naciones Unidas sobre el Cambio Climático, el mecanismo REDD+ (Reducción de Emisiones por Deforestación y Degradación evitada más conservación, incremento de almacenes y manejo forestal sustentable) plantea posibles compensaciones financieras por evitar la deforestación y degradación forestal (Gibbs, Brown, Niles y Foley, 2007; Miles y Kapos, 2008), por lo que resulta muy importante evaluar la incertidumbre asociada a las estimaciones de la biomasa y el carbono (Pelletier, Kirby y Potvin, 2010; Nickless, Scholes y Archibald, 2011). Entre los errores de estimación de la biomasa (Parresol, 1999; Chave et al., 2004), la principal fuente de incertidumbre es la asociada a la selección de un modelo alométrico para estimar la biomasa y el carbono de los árboles (Pelletier et al., 2010; Molto, Rossi y Blanc, 2013).
Las principales relaciones alométricas usadas en las estimaciones de biomasa (Brown Gillespie y Lugo, 1989; Chave et al., 2005; Vargas et al., 2017) son: (1) B = adDbd y (2) B = av(D2H) bv; aunque existen funciones más complejas. Se ha argumentado que la inclusión de la altura de los árboles en las ecuaciones alométricas contribuye a la disminución de los errores de estimación (Feldpausch et al., 2012; Chave et al., 2005 y 2014). La relación entre la altura y el diámetro normal es generalmente del tipo potencial (3) H = ahdDbhd (Niklas, 1994; O´Brien, Hubbell, Spiro, Condit y Foster, 1995; Feldpausch et al., 2011; 2012; Hulschof, Swenson y Weiser, 2015), aunque los modelos asintóticos se ajustan bien a la relación H-D, H en función de D (Thomas, 1996; Feldpausch et al., 2012; Hulschof et al., 2015; Fayolle et al., 2016).
Al considerar que los parámetros de las ecuaciones alométricas varían en forma intra e interespecífica (Pretzsch y Dieler, 2012) y que son dependientes del tipo de bosque o sitio (Fayolle et al., 2016), entre otros factores, se han realizado compendios a escalas regionales y nacionales de estos para realizar estimaciones de biomasa y carbono en inventarios forestales o de vegetación (Henry et al., 2011; Návar, Ríos, Pérez, Rodríguez y Domínguez, 2013; Rojas-García, de Jong, Martínez y Paz, 2015), donde predomina el modelo de la ecuación (1). Dadas las limitaciones de compilar ecuaciones alométricas de todas las especies de una región o país y la dependencia de los parámetros a nivel de sitio, zona o región, se han propuesto ecuaciones generalizadas para su uso en términos multiespecies y por tipo de bosque o vegetación (Brown et al., 1989; Chave et al., 2005 y 2014; Feldpausch et al., 2012). Estas ecuaciones usan datos de muestreos destructivos para extraer información de D, H y B, además de la densidad de la madera. Un enfoque alternativo en la construcción de ecuaciones alométricas generalizadas, modelo de la relación (1), es usar las ecuaciones específicas o locales para generar puntos artificiales a los que se les ajusta una ecuación general (Pastor, Aber y Melillo, 1984; Jenkins, Chojnacky, Heath y Birdsey, 2003)
En términos empíricos, la relación entre los parámetros ad y bd de la ecuación (1) ha sido analizada con el uso de un conjunto de ecuaciones alométricas para la misma especie (diferentes sitios de muestreo) o para un conjunto de especies diferentes para establecer una relación potencial ad = Abd-B (Zianis y Mencuccini, 2004; Návar, 2010a; Méndez, Turlan, Ríos y Nájera, 2012; Sileshi, 2014), donde A y B son constantes del ajuste estadístico. Adicionalmente se ha establecido una relación exponencial ad = Aexp(-Bbd) (Fehrmann y Kleinn, 2006; Pilli, Anfodillo y Carrer, 2006; Zapata-Cuartas, Sierra y Alleman, 2012; Zhang et al.,2016). En el caso de la relación entre H y D, ecuación (3), se han establecido también relaciones entre los parámetros ahd y bhd (Djomo, Ibrahima, Saborowski y Gravenhorst, 2010; Lines, Zavala, Purves y Coomes, 2012; Zhang et al., 2016; Fayolle et al., 2016). La interpretación de los parámetros k y z de la ecuación alométrica Y = kXz ha sido discutida desde hace tiempo (Lumer, 1939; Lumer, Anderson y Hersh, 1942; White y Gould, 1965), concluyéndose que el parámetro z está relacionado con el proceso en análisis, pero la constante k no tiene una interpretación biológica y su valor es dependiente de las unidades de medida utilizadas. El conocimiento de la relación entre ad y bd (u otros parámetros de otras relaciones alométricas) permitiría reducir la dimensionalidad del problema de estimación a solo un parámetro (Návar, 2010b).
En otra perspectiva, el establecimiento de una relación entre los parámetros de las ecuaciones (1) a (3), adicionalmente permite simplificar el proceso de estimación ya que solo se requiere un parámetro (constante o exponente) para estimar el otro. En el caso de los parámetros de las relaciones alométricas, Ketterings, Coe, vanNoordwijk, Ambagau’ y Palm (2001), Zianis y Mencuccini (2004), Price, Enquist y Savage (2007), Návar (2010b) y Zhang et al. (2016) han mostrado relaciones entre ellos, con base en diferentes argumentos teóricos.
Objetivos
El principal objetivo de este trabajo es desarrollar el marco teórico general para analizar ecuaciones alométricas a nivel de especies individuales y multiespecies o especies en multi-sitios con la consideración de incorporar relaciones que simplifiquen el problema de estimación. Para esto, se analizan datos analíticos de múltiples especies a nivel nacional e internacional para validar el enfoque propuesto.
Materiales y métodos
Relación entre constantes y exponentes de atributos de los árboles
Una de las relaciones alométricas más utilizadas ha sido (Feldpausch et al., 2012; Chave et al., 2005 y 2014):
donde av y bv se interpretan como parámetros del ajuste empírico por regresión estadística. El exponente bv habitualmente tiene valores menores o iguales a 1.0 (Brown et al., 1989; Chave et al., 2005 y 2014; Feldpausch et al., 2012).
Adicionalmente, las siguientes relaciones pueden aplicarse:
La relación entre D y H puede ser establecida como:
La ecuación (4) puede ser reformulada para D como:
La relación entre los exponentes de las ecuaciones (1), (2)y (4) puede ser establecida de la siguiente manera: al sustituir la ecuación (3) en la (1) se obtiene:
la cual, al compararla con la ecuación (2), permite establecer:
Algo similar puede ser establecido para la relación entre los exponentes de las ecuaciones (1), (3) y (5), al sustituir la ecuación (5) en la (1):
por lo que al compararla con la ecuación (3) se puede establecer:
Si el objetivo es estimar B con la ecuación (1) o (2), las relaciones (7) u (8) y (9) establecen que para el caso bv = 1 es posible obtener el valor del coeficiente bd del coeficiente bhd. Si se desconocen av y bv, entonces no es posible establecer una relación simple con ad y bd. Price et al. (2007), Návar (2010) y Zhang et al. (2016) encontraron las mismas relaciones en el contexto del modelo WBE (West, Brown y Enquist) de ramificación fractal de plantas vasculares (West, Brown, Enquist, 1999) y, bajo la consideración de bv = 1. A diferencia de este enfoque teórico, los desarrollos que se presentan son consecuencia directa del sistema de ecuaciones definido, sin ninguna consideración de tipo teórico, solo derivaciones matemáticas simples.
Solamente usando la información de datos D y H es posible establecer relaciones de (D2H) con D y H al igualar las relaciones (1) y (2), y (1) y (3):
Relación entre los parámetros de una relación alométrica
Para establecer una relación entre la constante (ad) y el exponente (bd) para un conjunto de parámetros del modelo alométrico de la relación (2) de diferentes especies de arboles o de la misma especie y diferentes sitios de muestreo, se puede partir de la propiedad de que los parámetros de un conjunto de líneas rectas que se intersectan en un punto común tienen una relación lineal entre ellos (Paz, Odi, Cano, Bolaños y Zarco, 2009). En el caso de las relaciones alométricas discutidas previamente, particularmente la ecuación (2), se tiene que con una transformación logarítmica se consigue:
que es una línea recta en el espacio log-log. En este espacio transformado, para un conjunto de líneas rectas con intersección en un punto común, los parámetros se relacionan como (Lumer, 1936):
donde el punto de intersección en el espacio log-log estará dado por [ln(Dod), ln(Bod)] y en el aritmético por (Dod, Bod).
La relación (16) o (17) se observó desde hace tiempo en el campo de la alometría (Hersh, 1931) y se ha discutido ampliamente (Lumer et al., 1942; White y Gould, 1965). Fehrmann y Kleinn (2006) y Picard, Rutishauser, Ploton, Ngomanda y Henry (2015b) discuten estas correlaciones en el marco teórico adecuado, pero sin investigar sus propiedades para reducir la dimensionalidad del problema de ajustes en alometría.
En la relación (17), el signo de ln(Dod) es positivo si Do < 1, dado que ln(Do) < 1; negativo si Dod > 1, dado que ln(Dod) > 1 y, para Dod = 1, ln(Dod) = 0, por lo que ln(ad) es constante para cualquier valor de Bod; es decir, ad es independiente de bd. La figura 1 muestra las relaciones para los tres casos, las cuales se basan, parcialmente, en White y Gould (1965).

Para el caso de la relación (1), con líneas rectas en el espacio log-log que se intersectan en un punto, se tiene:
donde [ln(D2H)ov, ln(Bov)] representa el punto de intersección en el espacio D2H - B transformado logarítmicamente. Algo similar se obtiene para la relación (3) entre H y D:
Al sustituir ln(ahd) de la relación (8) en la (19) se obtiene:
por lo que el coeficiente bv y av puede obtenerse de:
Relaciones similares entre los parámetros de las relaciones alométricas pueden ser obtenidas al sustituir las relaciones (8) y (9) en las relaciones (17) y (18).
La figura 1 muestra el caso de un conjunto de ecuaciones alométricas para la misma especie y diferentes sitios o para varias especies, indicando patrones en función de la localización del punto de intersección de las líneas rectas. Una formulación alternativa para el caso de los datos de una especie es suponer que cada par de datos medidos (H o D, B o D2H, B o H, D) corresponde a una ecuación alométrica particular, además de que todas las relaciones tienen un punto en común “virtual”, tal como se muestra esquemáticamente en la figura 2. Los desarrollos siguientes se aplican a esta situación.

Efecto de las unidades de medida en las relaciones alométricas
En los ajustes a los datos experimentales, la relación (16) o (17) generalmente muestra dispersión (R2 < 1), lo que denota que el punto de intersección de las líneas rectas es una zona común (Lumer et al., 1942; White y Gould, 1965). Dadas las unidades generalmente usadas en las relaciones alométricas (p.ej. cm para D), la intersección (zona) es para valores mayores que 1, por lo que el signo de la relación (16) o (17) es negativo.
Lumer et al. (1942) y White y Gould (1965), observaron que al cambiar las unidades de medida (incremento; p.ej. de cm a dm) la correlación de las relaciones (16) o (17) se incrementa, destacando su dependencia. La relación alométrica general Yo = ko(Xo)z, con unidades originales Xo, Yo y constante ko (z es independiente de las unidades de medida), puede plantearse como función de las unidades de medida de X y Y (Lumer, 1939; Lumer et al., 1942; White y Gould; 1965). Un cambio en las unidades de X y Y puede presentarse como un cambio de Xo a qxXo (= Xq) y de Yo a qyYo (= Yq), por lo que se obtiene:
Al usar qx > 1 en la ecuación (16) o (17), por ejemplo, el coeficiente de determinación R2 se incrementa. Para valores de qx < 1, para el punto o zona de intersección negativa (Fig. 1), el signo de la relaciones (16) o (17) se vuelve positivo.
Ajuste estadístico del modelo alométrico y métricas de error
El modelo potencial Y = kXz generalmente se ajusta mediante el uso de una transformación logarítmica:
El espacio de la transformación logarítmica será usado en lo siguiente para analizar los métodos de estimación planteados, para evitar el problema de sesgos en las transformaciones inversas (Baskerville, 1972; Sprugel, 1983; Crow y Shimizu, 1988).
El modelo alométrico ajustado en el espacio log-log puede ser analizado en función de su pendiente e intersección (sesgo):
Adicional al uso del coeficiente de determinación R2 en el espacio logarítmico, el ajuste estadístico de los modelos puede analizarse usando la raíz del error cuadrático medio (RECM), S = ln(Y):
y por el error absoluto medio (EAM), en porcentaje:
Bases de datos de mediciones de atributos de los árboles
En la tabla 1 se muestran las características de las bases de datos de D, H y B de las especies analizadas. Los datos fueron obtenidos de publicaciones en la literatura.

Las especies analizadas fueron seleccionadas para tener un nivel mínimo de diversidad de especies de diferentes tipos de bosques; aunque resulta claro que esto es solo una aproximación. Se buscó que las bases de datos seleccionadas cumplieran con el objetivo de tener un número de mediciones adecuado o cubrir un intervalo de medición representativo de los atributos de la especie.
En el caso de Quercus phellus L. (Parresol, 1999), los datos publicados de biomasa estaban en términos de materia verde, por lo que utilizaron los contenidos de humedad de Schlaegel (1981) para convertirlos a materia seca.
De las 690 mediciones disponibles, se eliminaron seis datos: cuatro por estar muy cercanos al punto de intersección “virtual” utilizado (D = 0.6 cm) y dos por ser considerados como datos anómalos (“outliers”).
Resultados
Ajustes específicos
Cada base de datos (Tabla 1) se procesó para estimar los parámetros de las relaciones B-D, H-D y B-D2H, ecuaciones en el espacio transformado log-log. La tabla 2 muestra los parámetros estimados por regresión lineal ordinaria en el espacio log-log con sus coeficientes de determinación asociados a este espacio.

En la tabla 2 se muestran los parámetros de la relación (9) entre los exponentes, la cual se cumple bien (Fig. 3). Para estimar los parámetros de las relaciones B-D2H,B-D y H-D, ecuaciones (1), (2) y (4), se definió un punto de intersección de las líneas ajustadas (ver esquema en la Fig. 2). El valor seleccionado fue D = 0.6, ln(D=0.6) = -0.511, mismo valor usado también para D2H. El valor de B, relación (2), se estimó de la ecuación ajustada (Tabla 2) para cada base de datos, cuyos parámetros siguen el patrón mostrado en la figura 2. El valor de intersección [ln(0.6, ln(ad)+bdln(0.6)], espacio B-D, fue usado para estimar los parámetros de las líneas analizadas en el espacio log-log al usar cada dato de las bases (especies) analizadas, ya con dos puntos se definió la ecuación de la línea recta. Puesto que se conoció el punto de intersección (constante ad), entonces solamente es necesario estimar bd usando la relación (9), figura 3. La figura 4 muestra los resultados obtenidos por este procedimiento, donde el error de estimación es prácticamente nulo.

El problema asociado al proceso de estimación es que se requiere conocer la pendiente bv, la cual generalmente no está disponible en las compilaciones de ecuaciones alométricas. Aun si se realiza una regresión forzando que bv = 1, generalmente con errores cercanos a utilizar bv variable, para estimar bd de la relación (9) sin error, es necesario estimar ad de la relación (7), por lo que se requiere conocer av.
Para tener un contexto de los resultados del uso de las ecuaciones alométricas específicas o locales, cuyos parámetros están mostrados en la tabla 2, la figura 5 muestra los errores de estimación, que en teoría es el mejor resultado posible de ajustes de modelos alométricos que toman en consideración cada caso (especie) en particular.

Ajustes específicos con intersección común
Con base en la metodología mostrada en la figura 2, la figura 6 muestra la relación D-H para toda la base de datos, donde se estableció un punto de intersección general en (-2.15, -0.65). Para cada par de datos se determinó su pendiente usando el dato del punto de intersección y los datos fueron ordenados de acuerdo con los valores de las pendientes para establecer líneas rectas ln(H) = ahd + bhdln(D), agrupando valores comunes de pendientes en forma no traslapada. La tabla 3 muestra los parámetros de las líneas rectas definidas en el proceso, donde los ajustes estadísticos muestran pequeños errores de estimación.

Para cada línea recta entre ln(D) - ln(H) ajustada a los datos de la figura 6 se ajustaron a estos datos líneas rectas entre ln(D) - ln(B), ln(H) - ln(B) y ln(D2H) - ln(B).
La figura 7 muestra la relación entre ln(ad) - bd de la relación ln(D) - ln(B), que muestra un patrón con una zona de intersección común definiendo relaciones entre la intersección de las líneas ln(D) - ln(H) con las líneas ln(D) - ln(B).

Con los parámetros estimados de las líneas asociados a cada relación ln(D) - ln(H), se realizó un ajuste por regre-sión multivariada lineal con interacciones para estimar bd:
con R2 = 0.974, error estándar = 0.0418.
En vez de utilizar los valores de bd medidos se utilizaron los valores bd estimados por regresión para estimar ln(ad):
con R2 = 0.953, error estándar = 0.137
La figura 8 muestra los resultados del proceso de estimación con el uso de ln(ad) y bd estimados, donde se observaron errores de estimación dentro del intervalo esperado.

La figura 9 muestra que los coeficientes de determinación (R2) asociados a las líneas rectas entre ln(D) y ln(H) para las relaciones entre ln(D) - ln(B), o ln(D2H) - ln(B), y ln(H) - ln(B), tuvieron patrones directamente proporcionales. Esto implica que las estimaciones de la figura 8 tienen mayores errores cuando los patrones ln(B) = ln(ad) + bdln(D) o ln(B) = ln(ah) + bhln(H) tuvieron mayores errores en los ajustes. De acuerdo con estos resultados, es necesaria la búsqueda de un punto “virtual” de intersección que permita que las líneas rectas entre ln(D) y ln(H) tengan asociadas líneas rectas con valores altos de R2.

Para analizar los errores asociados a las líneas rectas ln(D) - ln(H), en la figura 10 se muestra el patrón entre ln(H) - ln(B), en donde se definió un punto de intersección “virtual” dado por (-0.1, -5.7). El proceso de selección de datos para estimar los parámetros de las líneas rectas fue similar al caso del patrón ln(D) - ln(H). La tabla 4 muestra los parámetros ajustados a las líneas rectas ln(H) - ln(B), donde se observan valores de R2 superiores a 0.99, implicando errores de estimación mínimos.

La figura 11 muestra la relación entre los coeficientes de determinación (R2) ajustados a los datos de las líneas rectas ln(H) - ln(B), donde se observa que los errores en las rectas ln(H) - ln(B) son directamente proporcionales a los de las rectas ln(D) - ln(H).

Ajustes generales
La situación de desarrollar una ecuación alométrica general para todas las bases de datos está mostrada en la figura 12 (espacio normal). El uso de la relación de la figura 12 para todos los datos genera estimaciones y errores asociados, tal como se muestra en la figura 12. Es claro que, a menos que la dispersión de datos en el espacio B-D o B-D2H sea pequeña, el uso de ecuaciones específicas o locales resulta en menores errores de estimación que el caso de usar una ecuación alométrica general para todas las especies.

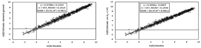
A partir del punto de intersección (-0.511, -3.4) en el espacio ln(D)-ln(B), es posible definir un valor constante para bd y estimar la biomasa aérea total. El problema de esta aproximación es que los valores óptimos (minimización del error de estimación) tienen diferentes patrones que dependen del valor de bd. Para valores de bd mayores de 2 y hasta un valor aproximado de 3, la figura 13 muestra los resultados obtenidos con bv = 2.45, así como las estimaciones usando una ecuación alométrica general caso de las 20 bases de datos que cumplen la restricción en bd; (Tabla 2). Se observa en la figura 13 que los errores de estimación del uso de bd fija (optimizada) fueron similares al caso de uso de un modelo alométrico general.

La figura 14 muestra los resultados de la estimación para el caso de bases de datos con bd menor que 2 y mayor a 1.65. El valor de bd estimado fue de 1.95 minimizando el error de estimación. En la misma figura se muestra el uso de una relación alométrica general donde los errores de estimación son comparables con el caso bd = 1.95.

Ajustes generales con intersección común
Para generalizar el enfoque al considerar un exponente como fijo o variable es necesario replantear el problema de estimación para el uso de la relación entre la constante ad y el exponente bd definido por la ecuación (17).
La figura 15 muestra la relación entre ln(ad) y bd para todas las bases de datos de la tabla 2, donde se observa una relación lineal congruente con lo esperado, ecuación (17), usando un valor de qx = 1 (D en cm) en la ecuación (23). En la misma figura 15 se observa el caso de usar qx = 104, donde en la relación entre ln(ad) y bd se mejora en su correlación.

Usando la relación de la figura 15 para qx = 104 (D en cm multiplicado por 104) para estimar ln(ad) en función de bd [= (2 + bhd)bv] y con bv = 0.915, valor óptimo de minimizar el error de estimación, la figura 16 muestra los resultados obtenidos, los cuales son mejores que los del uso de una ecuación alométrica generalizada (Fig. 12), esto es alentador, dado que solo se utilizó información de la relación H-D, bhd que considera condiciones locales.

Ajustes generales con relaciones empíricas
Un método alternativo de estimación es la utilización directa de relaciones empíricas para estimar ln(ad) y bd, con los parámetros ln(ah) y bhd. Para esto, se pueden definir variables que contengan información sobre bd, bh y bv, además de ln(ad), ln(ah) y ln(av):
Con el uso de estas variables se utilizaron regresiones multivariadas lineales con interacción para estima bd y ln(ad):
con R2 = 0.819, error estándar = 0.16.
con R2 = 0.858, error estándar = 0.448
La relación entre ambas variables está dada por [bd est] = 1.77 - 0.3048[ln(ad) est], R2 = 0.9653, que implica una zona común de intersección.
La figura 17 muestra las estimaciones de ln(B) utilizando bd de la ecuación (36) y la relación entre ln(ad)-bd para qx = 1 (Fig. 15), donde se observan estimaciones con error menor que en el caso de usar una regresión generalizada.

Finalmente, la figura 18 muestra las estimaciones de ln(B) usando las relaciones (36) y (37) para bd y ln(ad), donde el error de estimación es mejor que el caso anterior.

Discusión
El uso de ecuaciones alométricas generalizadas multiespecies o monoespecies con multisitios (Brown et al., 1989; Chave et al., 2005 y 2014; Feldpausch et al., 2012) ha sido criticado como no representativo de especies o sitios (zonas) locales (van Breugel, Ransijn, Craven, Bongers y Hall, 2011; Ngomanda et al., 2013; Paul et al., 2016). Del análisis de la figura 12 resulta claro que, si la dispersión del patrón asociado a las mediciones de B y D es alta, las ecuaciones específicas o locales son la mejor opción de estimación.
La variable altura total (H) de los árboles y su relación con el diámetro normal (D) utilizada en el proceso de estimación propuesto muestra alta variabilidad. La relación H-D ha sido discutida como altamente dependiente del medio ambiente (tipo de suelo, topografía, competencia, así como de otros factores del medio ambiente) (Pretzsch y Dieler, 2012; Antin, Pélissier, Vincent y Couteron, 2013; Fayolle et al., 2016), por lo que es importante considerar otras variables que se pueden medir en el campo para establecer relaciones presentadas en este trabajo. En esta perspectiva, el uso de los atributos de la copa de los árboles en lugar de la altura total podría presentar mejores estimaciones de la biomasa aérea total (Goodman, Phillips y Baker, 2014; Ploton et al., 2016). Al respecto, Pretzsch y Dieler (2012) y Antin et al. (2013) presentaron evidencia de que los atributos de la copa, principalmente su volumen, son más estables ante variaciones del medio ambiente.
El uso de modelos alométricos generales debe ser orientado a conjuntos de especies con parámetros ad y bd similares (Jenkins et al., 2003; Muukkonen, 2007; Chojnacky et al., 2014), lo que implica generar un sistema de clasificación de especies con patrones similares. No obstante este planteamiento, es común encontrar fuerte dispersión en los datos B y D en una misma especie medida en diferentes sitios (Méndez et al., 2012).
La tendencia actual de solo seleccionar modelos alométricos con el menor error de estimación, dependiente de la métrica de error usada (Goodman et al., 2014; Picard, Boyemba y Rossi, 2015a), plantea un escenario con sesgos en la generalización del proceso de estimación, ya que solo considera un modelo de predicción (B-D o B-D2H). De acuerdo con los desarrollos presentados, es necesario que las compilaciones de ecuaciones alométricas considere modelos B-D, B-D2H y H-D, al menos para poder utilizar el marco teórico desarrollado y hacer estimaciones en función de las relaciones entre los exponentes de los modelos y las constantes y exponentes de un modelo.
Conclusiones
Los métodos introducidos basados en la relación entre los exponentes de los modelos alométricos B-D2H, B-D y H-D, además de la relación entre las constantes y los exponentes de cada modelo, permite aproximar ecuaciones alométricas generalizadas, multiespecies y monoespecies en multisitios con errores de estimación comparables o mejores a los obtenidos con métodos estadísticos convencionales.
El desarrollo de ecuaciones generalizadas puede ser realizado con los métodos presentados basados solo en información de los datos D-H, medidos comúnmente en campo, sin la necesidad de contar con información de la biomasa aérea total (B). Este enfoque permite contar con un modelo aproximado generalmente con errores de estimación iguales o menores que el procedimiento clásico de generar ecuaciones usando ajustes estadísticos (Chave et al., 2014; Feldpausch et al., 2012).
Los resultados obtenidos a partir de las relaciones entre el diámetro normal y la altura total de los árboles plantean la necesidad de considerar variables más estables y con menor dependencia del medio ambiente, tales como los atributos de la corona de los árboles. Este enfoque será explorado en otras contribuciones de los autores.
Referencias
Antin, C., Pélissier, R., Vincent, G., & Couteron, P. (2013). Crown allometries are less responsive than stem allometry to tree size and habitat variations in an Indian monsoon forest. Trees, 27, 1485-1495. doi: 10.1007/ s00468-013-0896-7
Avendaño Hernández, D. M., Acosta Mireles, M., Carrillo Anzures, F., & Etchevers Barra, J. D. (2009). Estimación de biomasa y carbono en un bosque de Abies religiosa. Revista Fitotecnia Mexicana, 32(3), 233-238. doi: 10.35196/rfm.2009.3.233-238
Baskerville, G. L. (1972). Use of logarithmic regression in the estimation of plant biomass. Canadian Journal of Forestry, 2(1), 49-53. doi: 10.1139/x72-009
Brown, S., Gillespie, A. J. R., & Lugo, A. E. (1989). Biomass estimation for tropical forests with applications to forest inventory data. Forest Science, 35(4), 881-902. doi: 10.1093/forestscience/35.4.881
Brown, S. (1997). Estimating biomass change of tropical forests, a primer. Forest Resources Assessment Publication. Roma: Forestry Papers 134, FAO. 134 p.
Carré, F., Hiederer, R., Blujdea, V., & Koeble, R. (2010). Background guide for the calculation of land carbon stocks in the biofuel’s sustainability scheme drawing on the 2006 IPCC Guidelines for National Greenhouse Gas Inventories. EUR 24573 EN. Luxembourg: Office for Official Publications of the European Communities. 109 p.
Carrillo Anzures, F., Acosta-Mireles, M., Flores-Ayala, E., Juárez-Bravo, J. E., & Bonilla, E. P. (2014). Estimación de biomasa y carbono en dos especies arbóreas en La Sierra Nevada, México. Revista Mexicana de Ciencias Agrícolas, 5(5), 779-793. doi: 10.29312/remexca.v5i5.901
Chave, J., Andalo, C., Brown, S., Cairns, M. A., Chambers, J. Q., Eamus, D., Fölster, H., Fromard, F., Higuchi, N., Kira, T., Lescure, J. P., Nelson, B. W., Ogawa, H., Puig, H., Riéra, B., & Yamakura, T. (2005). Tree allometry and improved estimation of carbon stocks and balance in tropical forests. Oecologia, 145(1), 87-99. doi: 10.1007/ s00442-005-0100-x
Chave, J., Condit, R., Aguilar, S., Hernandez, A., Lao, S., & Perez, R. (2004). Error propagation and scaling for tropi-cal forest biomass estimates. Philosophical Transactions of the Royal Society London B, 359(1443), 409-420. doi: 10.1098/rstb.2003.1425
Chave, J., Réjou-Méchain, M., Búrquez, A., Chidumayo, E., Colgan, M. S., Delitti, W. B. C, Duque, A., Eid, T., Fearn-side, P. M., Goodman, R. S., Henry, M., Martínez-Yrízar,A., Mugasha, W. A., Muller-Landau, H. C., Mencuccini, M., Nelson, B. W., Ngomanda, A., Nogueira, E. M., Ortiz-Malavassi, E., Pélissier, R., Ploton, P., Ryan, C. M., Saldarriaga, J. G., & Vieilledent, G. (2014). Improved allometric models to estimate the aboveground biomass of tropical trees. Global Change Biology, 20(10), 3177-3190. doi: 10.1111/gcb.12629
Chojnacky, D. C., Heath, L.S. & Jenkins, J.C. (2014). Updated generalized biomass equations for North American tree species. Forestry: An International Journal of Forest Research, 87(1), 129-151. doi: 10.1093/forestry/cpt053
Clark, D. B., Clark, D. A., & Read, J. M. (1998). Edaphic variation and the mesoscale distribution of tree species. Forest Ecology and Management, 86(1), 101-112. doi: 10.1046/j.1365-2745.1998. 00238.x
Crow, E. L., & K. Shimizu . (1988). Lognormal distributions. Theory and applications. New York: Dekker.
De Castilho, C. V., Magnusson, W. E., Nazaré, R., Araújo, O., Luizão, R. C. C., Luizão, F., Lima, A. P., & Higuchi, N. (2006). Variation in aboveground tree live biomass in a central Amazonian forest: effects of soils and topography. Forest Ecology and Management, 234(1), 85-96. doi: 10.1016/j.foreco.2006.06.024
Djomo, A. N., Ibrahima, A., Saborowski, J., & Gravenhorst, G. (2010). Allometric equations for biomass estimation in Cameroon and pan moist tropical equation including biomass data from Africa. Forrest Ecology and Management, 260(10), 1873-1885. doi: 10.1016/j. foreco.2010.08.034
Fayolle, A., Loubota Panzou, G. J., Drouet, T., Swaine, M. D., Bauwens, S., Vleminckx, J., Biwole, A., Lejeune, P., & Doucet, J. L. (2016). Taller trees, denser stands and greater biomass in semi-deciduous than in evergreen low-land central African forests. Forest Ecology and Management, 374, 42-50. doi: 10.1016/j.foreco.2016.04.033
Fehrmann, L., & Kleinn, C. (2006). General considerations about the use of allometric equations for biomass estimation on the example of Norway spruce in Central Europe. Forest Ecology and Management, 236, 4112-421. doi: 10.1016/j.foreco.2006.09.026
Feldpausch, T. R., L. Banin, O. L. Phillips, T. R. Baker, S. L. Lewis, C. A. Quesada, K. Affum-Baffoe, E. J. M. M. Arets, N. J. Berry, M. Bird, E. S. Brondizio, P. de Camargo, J. Chave, G. Djagbletey, T. F. Domingues, M. Drescher, P. M. Fearnside, M. B. França, N. M. Fyllas, G. Lopez G., A. Hladik, N. Higuchi, M. O. Hunter, Y. lida, K. A. Salim, A. R. Kassim, M. Keller, J. Kemp, D. A. King, J. C. Lovett, B. S. Marimon, B. H. Marimon J., E. Lenza, A. R. Marshall, D. J. Metcalfe, E. T. A. Mitchard, E. F. Moran, B. W. Nelson, R. Nilus, E. M. Nogueira, M. Palace, S. Patiño, K. S. H. Peh, M. T. Raventos, J. M. Reitsma, G. Saiz, F. Schrodt, B. Sonké, H. E. Taedoumg, S. Tan, L. White, H. Wöll and J. Lloyd. (2011). Height-diameter allometry of tropical forest trees. Biogeosciences 8: 1081-1106.
Feldpausch, T. R., Lloyd, J., Lewis, S. L., Brienen, R. J. W., Gloor, M., Monteagudo, M., Lopez-Gonzalez, Banin, L., Abu, K. S., Affum-Baffoe, K. B., Alexiades, M., Almeida, S., Amaral, I., Andrade, A., Aragão, L., Araujo Murakami, A., Arets, E. J. M. M., Arroyo, L., Aymard, G. A., Baker, T. R., Bánki, O. S., Berry, N. J., Cardozo, N., Chave, J., Comiskey, J. A., Alvarez, E., de Oliveira, A., Di Fiore, A., Djagbletey, G., Domingues, T. E., Erwin, T. L., Fearnside, P . M., França, M. B., Freitas, M. A., Higuchi, N., Honorio, E., lida, Y., Jiménez, E., Kassim, A. R., Killeen, T. J., Laurance, W. F., Lovett, J. C., Malhi, Y., Marimon, B.S., Marimon-Junior, B. H., Lenza, E., Marshall A. R., Men-doza, C., Metcalfe, D. J., Mitchard, E. T. A, Neill, D. A., Nelson, B. W., Nilus, R., Nogueira, E. M., Parada, A., Peh, K. S. H., Pena, A. C., Peñuela, M. C., Pitman, N. C. A., Prieto, A., Quesada, C. A., Ramírez, F., Ramírez-Angulo, H., Reitsma, J. M., Rudas, A., Saiz, G., Salomão, R. P., Schwarz, M., Silva, N., Silva-Espejo, J., Silveira, M., Sonké, B., Stropp, J., Taedoumg, H. E., Tan, S., teer Steege, H., Terborgh, J., Torello-Raventos, M., van der Heijden, G. M. F., Vásquez, R., Vilanova, E., Vos, V. A., White, L., Willcock, S., Woell, H., & Phillips, O. L. (2012). Tree height integrated int pantropical forest bio-mass estimates. Biogeosciences, 9(8), 3381-3403. doi: 10.5194/bg-9-3381-2012
Gibbs, H. K., Brown, S., Niles, H. O & Foley, J. A. (2007). Monitoring and estimating tropical forest carbon stocks: making REDD a reality. Environmental Research Letters, 2(4), 1-13. doi: 10.1088/1748-9326/2/4/045023
Gómez-Díaz, J. D., Etchevers-Barra, J. D., Monterrosos-Rivas, A.L., Campo-Alvez, J., & Tinoco-Rueda, J. A. (2011). Ecuaciones alométricas para estimar biomasa y carbono en Quercus magnoliaefolia. Revista Chapingo Serie Ciencias Forestales y del Ambiente, 17(2), 261-272. doi: 10.5154/r.rchscfa.2010.11.117
Gomes-Soares, M. L., & Schaeffer-Novelli, Y. (2005). Above-ground biomass of mangrove species I. Analysis of models. Estuarine, Coastal and Shelf Science, 65(1-2), 1-18. doi: 10.1016/j.ecss.2005.05.001
Goodman, R. C., Phillips, O. L & Baker, T. R. (2014). The importance of crown dimensions to improve tropical tree biomass estimates. Ecological Applications, 24(4), 680-698. doi: 10.1890/13-0070.1
Henry, M., Picard, N., Trotta, C., Manlay, R. J., Valentini, R., Bernoux, M., & Saint-André, L. (2011). Estimating tree biomass of Sub-Saharan African forests: a review of available allometric equations. Silva Fennica, 45(3B), 477-569. doi: 10.14214/sf.38
Hersh, A. H. (1931). Facet number and genetic growth constants in bar-eyed stocks of Drosophila. The Journal of Experimental Zoology, 60(2), 213-248. doi: 10.1002/ jez.1400600204
Hulshof, C. M., Swenson, N. G., & Weiser, M. D. (2015). Tree height-diameter allometry across United States. Ecology and Evolution, 5(6), 1193-1204. doi: 10.1002/ece3.1328
Jenkins, J. C., Chojnacky, D. C., Heath, L. S., & Birdsey, R. A. (2003). Nationalscale biomass estimators for United States tree species. Forest Science, 49(1), 12-35. doi: 10.1093/forestscience/49.1.12
Johnston, R. S., & Bartos, D. L. (1977). Summary of nutrient and biomass data from two Aspen sites in Western United States. Research Note INT-227. Intermountain Forest and Range Experiment Station. Utah, Ogden: USDA Forest Service. 15 p.
Jokela, E. J., Shannon, C. A., & White, E. H. (1981). Biomass and nutrient equations for mature Betula papyrifera Marsh. Can. J. For. Res.,11(2), 298-304. doi: 10.1139/ x81-040
Kebede, B., & Soromessa, T. (2018). Allometric equations for aboveground biomass estimation of Olea europaea L. subsp. Cuspidate in Mana Angetu Forest. Ecosystem Health and Sustainability, 4(1), 1-12. doi: 10.1080/20964129.2018.1433951
Ketterings, Q. M., Coe, R., van Noordwijk, M., Ambagau’, Y., & Palm, C. A. (2001). Reducing uncertainty in the use of allometric biomass equations for predicting aboveground tree biomass in mixed secondary forests. Forest Ecology and Management, 146(1-3), 199-209. doi: 10.1016/ S0378-1127(00)00460-6
Kindermann, G., Obersteiner, M., Sohngen, B., Sathaye, J., Andrasko, K., Rametsteiner, E., Schlamadinger, B., Wunder, S., & Beach, R. (2008). Global cost estimates of reducing carbon emissions through avoided deforestation. Proceedings of the. National Academy of Sciences, 105(30), 10302-10307. doi: 10302-10307
Lines, E. R., Zavala, M. A., Purves, D. W., & Coomes, D. A. (2012). Predictable changes in aboveground allometry of trees along gradients of temperature, aridity and competition. Global Ecology and Biogeography, 21(10), 1017-1028. doi: 10.1111/j.1466-8238.2011. 00746.x
Lumer, H. (1936). The relation between b and k in systems of relative growth functions of the form Y = bXk. The American Naturalist, 70, 188-191.
Lumer, H. (1939). The dimensions and interrelationship of the relative growth constants. American Naturalist, 73, 339-345.
Lumer, H., Anderson, B. G., & Hersh, A. H. (1942). On the significance of the constant b in the law of allometry Y=bXa. American Naturalist, 76, 364-375.
Manuri, S., Brack, C., Noor’an, F., Rusolono, T., Anggraini, S. M., Dotzauer, H., & Kumara, I. (2016). Improved allometric equations for tree aboveground biomass estimation in tropical dipterocarp forests of Kalimantan, Indonesia. Forest Ecosystems, 3(28), 1-10. doi: 10.1186/ s40663-016-0087-2
Mascaro, J., & Schnitzer, S. A. (2011). Dominance by the introduced tree Rhamnus cathartica (common buckthorn) may limit aboveground carbon storage in Southern Wisconsin forests. Forest Ecology and Management, 261(3), 545-550. doi: 10.1016/j.foreco.2010.11.005
Méndez, G., J., Turlan, O. A, Ríos, J. C. S., & Nájera, J. A. L. (2012). Ecuaciones alométricas para estimar biomasa aérea de Prosopis laevigata (Humb. and Bonpl. Ex Willd.) M. C. Johnst. Revista Mexicana de Ciencias Forestales, 3(13), 57-72.
Miller, E. L., Meeuwig, R. O & Budy, J. D. (1981). Biomass of singleleaf Pinyon and Utah Juniper. Research Paper INT-273 Intermountain Forest and Range Experimental Station. Utah, Ogden: USDA Forest Service. 19 p.
Molto, Q., Rossi, V., & Blanc, L. (2013). Error propagation in biomass estimation in tropical forests. Methods in Ecology and Evolution, 4(2), 175-183. doi: 10.1111/j.2041-210x.2012.00266.x
Muukkonen, P. (2007). Generalized allometric volume and biomass equations for some tree species in Europe. European Journal of Forest Research, 126(2), 157-166. doi: 10.1007/ s10342-007-0168-4
Návar, J. J. (2010a). Biomass allometry for tree species of Northwestern Mexico. Tropical and Subtropical Agroecosystems, 12(3), 507-517.
Návar, J. J. (2010b). Measurement and assessment methods of forest aboveground biomass: a literature review and challenges ahead. En: M. Momba & F. Bux. Biomass. Intech. Sciyo, Croatia.
Návar, J., Ríos, J. S., Pérez, G. V., de J. Rodríguez, F., & Domínguez, P. A. (2013). Regional aboveground biomass equations for North American arid and semiarid forests. Journal of Arid Environments, 97, 127-135. doi: 10.1016/j.jaridenv.2013.05.016
Ngomanda, A., Engone, N. L., Lebamba, J., Moundounga, Q., Gomat, H., Sidoine Mankou, G., Loumeto, J., Midoko, D., Kossi, F., Zinga, R., Botsika, K. H., Mikala, C., Nyangadouma, R., Lépengué, N., Mbatchi, B., & Picard, N, (2013). Site-specific versus pantropical allometric equations: which option to estimate the biomass of a moist central African forest? Forest Ecology and Management, 312, 1-9. doi: 10.1016/j.foreco.2013.10.029
Nickless, A., Scholes, R. J., & Archibald, S. (2011). A method for calculating the variance and confidence intervals for tree biomass estimates obtained from allometric equations. South African Journal of Sciences, 107(5-6), 86-95. doi: 10.4102/sajs.v107i5/6.356
Niklas, K. J. (1994). Plant allometry, the scaling of form and process. Chicago: University of Chicago Press. 365 p.
O´Brien, S. T., Hubbell, S. P., Spiro, P., Condit, R., & Foster, R. B. (1995). Diameter, height, crown, and age relationships in eight neotropical tree species. Ecology, 76(6), 1926-1939. doi: 10.2307/1940724
Parresol, B. R. (1999). Assessing tree and stand biomass: a review with examples and critical comparisons. Forest Science, 45(4), 573-593.
Pastor, J., Aber, J. D., & Melillo, J. M. (1984). Biomass prediction using generalized allometric regressions for some north east tree species. Forest Ecology and Management, 7(4), 265-274. doi: 10.1016/0378-1127(84)90003-3
Paul, K. I., Roxburgh, S. H, Chave, J., England, J. R., Zerihun, A., Specht, A., Lewis, T., Bennet, L. T., Baker, T. G., Adams, M. A., Huxtable, D., Montagu, K. D., Falster, D. S., Feller, M., Sochacki, S., Ritson, P., Bastin, G., Bartle, J., Wildy, D., Hobbs, T., Larmour, J., Waterworth, R., Stewart, H. T. L., Jonson, J., Forrester, D. I., Applegate. G., Mendham D., Bradford, M., O´Grady, D. A., Green, D., Sudmeyer, R., Rance, S. J., Turner, J., Barton, C., Wenk, E. H., Grove, T., Attiwill, P. M., Pinkard, E., Butler, D., Brooksbank, K., Spencer, B., Snowdon, P., O´Brien, N., Battaglia, M., Cameron, D. M., Hamilton, S., McAuthur, G., & Sinclair, J. (2016). Testing the generality of above-ground biomass allometry across plant functional types at the continental scale. Global Change Biology, 22(6), 2106-2124. doi: 10.1111/gcb.13201
Paz, F., Odi, M., Cano, A., Bolaños, M. A., & Zarco, A. (2009). Equivalencia ambiental en la productividad de la vegetación. Agrociencia, 43(6), 635-648.
Pelletier, J., Kirby, K. R & Potvin, C. (2010). Significance of carbon stock uncertainties on emission reductions from deforestation and forest degradation in developing countries. Forest Policy and Economics, 24, 3-11. doi:10.1016/j.forpol.2010.05.005
Picard, N., Boyemba, F. B., & Rossi, V. (2015a). Reducing the error in biomass estimates strongly depends on model selection. Annals of Forest Science, 72(6), 811-823. doi: 10.1007/s13595-014-0434-9
Picard, N., Rutishauser, E., Ploton, P., Ngomanda, A., & Henry, M. (2015b). Should tree biomass allometry be restricted to power models? Forest Ecology and Management, 356, 156-163. doi: 10.1016/j.foreco.2015.05.035
Pilli, R., Anfodillo, T., & Carrer, M. (2006). Towards a functional and simplified allometry for estimating forest biomass. Forest Ecology and Management, 237(1), 583-593. doi: 10.1016/j.foreco.2006.10.004
Ploton, P., Barbier, N., Takoudjou, S. M., Réjou, M., Boyemba, F. B., Chuyong, G., Dauby, G., Droissart, V., Fayolle, A., Goodman, R. C., Henry, M., Kamdem, N. G., Mukira-nia, J. K., Kenfack, D., Libalah, M., Ngomanda, A., Rossi, V., Sonké, B., Texier, N., Thomas, D., Zebaze, D., Couteron, P., Berger, U., & Pélissier, R. (2016). Closing a gap in tropical forest biomass estimation: taking crown mass variation into account in pantropical allometries. Biogeosciences, 13(5), 1571-1585. doi: 10.5194/bg-13-1571-2016
Pretzsch, H., & Dieler, J. (2012). Evidence of variant intra- and interspecific scaling of tree crown structure for allometric theory. Oecologia, 169(3), 637-649. doi: 10.1007/s00442-011-2240-5
Price, C. A., Enquist, B. J., & Savage, V. M. (2007). A general model for allometric covariation in botanical form and function. Proceedings of the. National Academy of Sciences, 104(32), 13204-13209. doi: 10.1073/ pnas.0702242104
Rojas-García, F., de Jong, B. H. J., Martínez, P. Z., & Paz, F. (2015). Database of 478 allometric equations to estimate biomass for Mexican trees and forests. Annals of Forest Science, 72(6), 835-864. doi: 10.1007/s13595-015-0456-y
Ruesch, A., & Gibbs, H. (2008). New global biomass carbon map for the year 2000 based on IPCC tier-1 methodology. Carbon Dioxide Information Analysis Center. USA: Oak Ridge National Laboratory.
Schlaegel, B. (1981). Willow Oak volume and weight tables for the Mississippi delta. Research Paper so-1. Southern Forest Experiment Station. New Orleand: USDA Forest Service. 15 p.
Sileshi, G. W. (2014). A critical review of forest biomass estimation models, common mistakes, and corrective measures. Forest Ecology and Management, 329, 237-254. doi: 10.1016/j.foreco.2014.06.026
Sprugel, D. G. (1983). Correcting for bias in logtransformed allometric equations. Ecology, 64(1), 209-210. doi: 10.2307/1937343
Ter-Mikaelian, M. T., & Korzukhin, M. (1997). Biomass equations for sixty-five North American tree species. Forest Ecology and Management, 97(1), 1-24. doi: 10.1016/ S0378-1127(97)00019-4
Thomas, S. C. (1996). Asymptotic height as a predictor of growth and biometric characteristics in Malaysian rain forest trees. American Journal of Botany, 83(5), 556-566.
van Breugel, M., Ransijn, J., Craven, D., Bongers, F., & Hall, J. S. (2011). Estimating carbon stock in secondary forests: decisions and uncertainty associated with allometric bio-mass models. Forest Ecology and Management, 262(8),1648-1657. doi: 10.1016/j.foreco.2011.07.018
Vargas, B., López, C. A., Corral, J. J., Lopez, J. O., Aguirre, C. G., & Álvarez, J. G. (2017). Allometric equations for estimating biomass and carbon stocks in the temperate forests of North-Western Mexico. Forests, 8(269). doi: 10.3390/f8080269.
West, G. B., Brown, J. H. & Enquist, B. J. (1999). A general model for the structure and allometry of plant vascular system. Nature, 400, 664-667. doi: 10.1038/23251
White, J. F., & Gould, S. J. (1965). Interpretation of the coefficient in the allometric equation. American Naturalist, 99(904), 5-18. doi: 10.1086/282344
Woods, K. D., Feiveson, A. H., & Botkin, D. B. (1991). Statistical error analysis for biomass density and leaf area index estimation. Canadian Journal of Forest Research, 21(7), 974-989. doi: 10.1139/x91-135
Zapata-Cuartas, C., Sierra, A., & Alleman, L. (2012). Probability distribution of allometric coefficients and Bayesian estimation of aboveground tree biomass. Forest Ecology and Management, 277, 173-179. doi: 10.1016/j. foreco.2012.04.030
Zhang, Z., Zhong, Q., Niklas, K. J., Cai, L., Yang, Y., & Cheng, D. (2016). A predictive nondestructive model for the covariation of tree height, diameter, and stem volumen scaling relationships. Scientific Reports, 6(1). doi: 10.1038/srep31008
Zianis, D., & Mencuccini, M. (2004). On simplifying analyses of forest biomass. Forest Ecology and Management, 187(2-3), 311-332. doi: 10.1016/j.foreco.2003.07.007
Notas de autor
* Autor de correspondencia: ferpazpel@gmail.com