Artículos de investigación

Recepción: 07 Enero 2025
Aprobación: 18 Julio 2025
DOI: https://doi.org/10.22430/24223182.3372
Resumen:
Objetivo: el objetivo fue proponer el fortalecimiento de la productividad y la competitividad de las empresas industriales, a través de las capacidades dinámicas y el diseño de un plan de mejoramiento.
Diseño/metodología: la investigación fue cuantitativa, de tipo descriptivo, correlacional y explicativo, transversal y no experimental. La muestra constó de 52 medianas y grandes empresas del sector industrial de la ciudad de Ibagué (Colombia). La información pertinente se obtuvo aplicando un cuestionario estructurado de 28 preguntas y variables agrupadas en tres dimensiones: capacidades dinámicas, productividad y competitividad. Se realizó análisis descriptivo y análisis multidimensional, mediante el uso de SPSS-25 y Minitab-18.
Resultados: los hallazgos reflejaron que las capacidades dinámicas de mayor impacto son: resultados obtenidos, procesos competitivos, talento humano calificado, cultura organizacional, reconfiguración de procesos, relación con proveedores, desarrollo del sector, reconocimiento y satisfacción de los clientes y costos competitivos. Con relación a la productividad, las variables más influyentes son: resultados obtenidos, satisfacción del cliente y programa de reconocimiento de clientes. En cuanto a la competitividad, las variables más influyentes son: programa de incentivos, detectar ventajas y procesos competitivos.
Conclusiones: se destacan las capacidades dinámicas (CD) con un mayor impacto en las organizaciones, como trabajo en equipo, innovación, decisiones estratégicas, programa de reconocimiento de clientes, principalmente, y con una relación positiva con la productividad y la competitividad. Así, un plan de mejoramiento es propuesto para fortalecer las capacidades dinámicas utilizando el modelo de European Foundation Quality Management (EFQM).
Originalidad: se aporta al estado actual del conocimiento de las cd al establecer su relación e influencia sobre la productividad y la competitividad de las organizaciones. Además, con base en la situación de las empresas del sector industrial, se identifican cuáles son las capacidades más destacadas. Adicionalmente, se agrega valor con el diseño del plan de mejoramiento aplicable en las organizaciones, en general, y en las empresas del sector industrial, en particular.
Palabras clave: capacidades dinámicas, competitividad, productividad, plan de mejoramiento, sector industrial, Códigos JEL: M10, D24, L60.
Abstract:
Objective: The objective was to propose strengthening the productivity and competitiveness of industrial companies through dynamic capabilities and the design of an improvement plan.
Design/Methodology: A quantitative, descriptive, correlational, explanatory, cross-sectional, and non-experimental design was adopted. The sample comprised 52 medium-sized and large companies in the industrial sector of Ibagué (Colombia). Data was collected through a structured questionnaire consisting of 28 questions, with variables grouped into three dimensions: dynamic capabilities, productivity, and competitiveness. Following data collection, both descriptive and multidimensional analyses were performed using SPSS 25 and Minitab 18.
Results: The findings reflected that the dynamic capabilities with the greatest impact outcomes achieved, competitive processes, qualified human talent, organizational culture, process reconfiguration, supplier relationships, sector development, customer recognition programs, customer satisfaction, and competitive costs. Regarding productivity, the most influential variables were outcomes achieved, customer satisfaction, and customer recognition programs. Meanwhile, in relation to competitiveness, the variables with the greatest influence were incentive programs, the ability to identify advantages, and competitive processes.
Conclusions: The dynamic capabilities that most strongly influence organizational outcomes include teamwork, innovation, strategic decision-making, and customer recognition programs. These capabilities demonstrated a positive relationship with both productivity and competitiveness. Therefore, an improvement plan is proposed to strengthen dynamic capabilities, using the European Foundation for Quality Management (EFQM) model.
Originality: This research contributes to the current body of knowledge on dynamic capabilities by clarifying their relationship with business productivity and competitiveness. Moreover, based on the current situation of companies in the industrial sector, it identifies which capabilities stand out the most. Additionally, the study offers practical value through the design of an improvement plan that can be implemented across organizations in general, and industrial companies in particular.
Keywords: dynamic capabilities, competitiveness, productivity, improvement plan, industrial sector. JEL Codes: M10, D24, L60.
Highlights
Las capacidades dinámicas son el mayor diferenciador para obtener ventajas competitivas.
Las capacidades dinámicas se relacionan con la productividad y competitividad empresarial.
Se presenta un plan de mejoramiento de las capacidades dinámicas según el modelo efqm.
Las capacidades dinámicas fortalecen el diseño estratégico de las organizaciones.
Las capacidades dinámicas mejoran la experiencia del cliente con las organizaciones.
Highlights
Dynamic capabilities are a key differentiator for achieving competitive advantage.
Dynamic capabilities are closely associated with business productivity and competitiveness.
An improvement plan for dynamic capabilities is proposed in accordance with the EFQM model.
Dynamic capabilities contribute significantly to strategic organizational design.
Dynamic capabilities enhance the overall customer experience with organizations.
1. INTRODUCCIÓN
Los cambiantes entornos que rodean a las organizaciones han ocasionado que la formulación de la estrategia corporativa sea cada vez más desafiante (Fabrizio et al., 2022; Niehaus et al., 2023). Ya no basta con repetir los ejercicios mecánicos para elaborar los planes estratégicos, ajustando algunos elementos y pretendiendo repetir las mismas acciones del pasado. En este marco, las empresas deben comprender cuáles son sus propias capacidades que les permiten «hacer frente a la cada vez más fuerte rivalidad, que obligan a la empresa ser permanentemente más competitiva; esto es, lograr que la oferta propia sea preferida por los clientes de una manera sostenida en el tiempo» (Uribe Macias, 2020, p. 16).
Siendo así, la búsqueda por ser más productivo y competitivo se ha convertido en la principal prioridad de las empresas en general (Bari et al., 2024; Ulloa-Pimienta et al., 2023) y más aún cuando se habla de las empresas del sector industrial, cuyo ambiente competitivo es más fuerte; la diferencia de las organizaciones con la competencia radica en los detalles mínimos, por eso la mayoría de los estudios realizados sobre el tema reflejan que las capacidades dinámicas (DC) son el mayor diferenciador al momento de establecer una ventaja competitiva (Teece et al.,1997).
Establecer una ventaja competitiva a largo plazo les permite a las empresas sostener su liderazgo por mayor tiempo, ya que dichas ventajas son difíciles o casi imposibles de igualar por la competencia; cada compañía puede establecer su propia ventaja con base en sus recursos internos, tanto de capital o mano de obra, siendo esta última la más valorada por el uso de sus CD.
Sin embargo, la falta de conocimiento en el tema puede ser una de las mayores falencias para que las empresas aprovechen todo el potencial que tienen internamente, de ahí la importancia de explorar la situación actual en el sector en la ciudad de Ibagué, y tener un punto de partida hacia el fortalecimiento y mejoramiento de las CD.
Para identificar lo anterior, se aplicó una encuesta en escala Likert que permitió establecer las principales falencias y las fortalezas que existen con relación a la competitividad, la productividad y las capacidades dinámicas por parte de las compañías del sector industrial en la ciudad de Ibagué.
Las CD van desde un buen clima organizacional y liderazgo hasta actividades como las capacitaciones para los colaboradores, los incentivos, el trabajo en equipo y la adquisición de conocimiento mediante la experiencia que permita la innovación en los procesos y productos de la compañía (Bornay-Barrachina et al., 2023; Galdino da Silva et al., 2022), para alcanzar una ventaja competitiva que les permita ser superiores a la competencia (Zollo y Winter, 2002).
Cruz González et al. (2007) y Prabowo et al. (2021), en estudios realizados anteriormente, concluyen que las CD posibilitan que las empresas generen una ventaja competitiva con la cual pueden ser más productivas en el sector; de aquí la importancia de conocerlas y aplicarlas en el desarrollo de su actividad diaria, puesto que se potenciará el desarrollo de su actividad económica, pues si bien muchas compañías las han identificado, aún no saben cómo maximizarlas.
Como un aporte derivado de la investigación, y tomando como referencia la afirmación citada en la frase anterior, se propuso un esquema de mejora que les permita a las empresas aprovechar sus recursos enfocados en las capacidades dinámicas mediante su aplicación y seguimiento permanente. De esta manera, se espera que estas puedan alcanzar sus objetivos de productividad y competitividad en la actividad económica en la que se desenvuelven.
Se estará impulsando así no solo a cada compañía para que genere su propia ventaja competitiva, sino también al sector industrial, lo que mejorará la economía de las ciudades que se encuentren fuertemente apalancadas por este sector.
Por lo anterior, el objetivo de este artículo es proponer el fortalecimiento de la productividad y la competitividad de las empresas industriales, mediante el mejor uso de sus capacidades dinámicas, a través de un plan de mejoramiento. Para ello, a continuación, se presenta el marco de referencia, con los temas CD, productividad, competitividad y plan de mejoramiento, además de las hipótesis propuestas. Posteriormente, se explica la metodología utilizada en la investigación, seguida de los resultados, en los cuales se podrán conocer los hallazgos a partir del análisis descriptivo y multivariable, y, sobre esta base, la propuesta de plan de mejoramiento. Enseguida se realiza la discusión de resultados, se plantean las conclusiones, se enuncian las referencias bibliográficas consultadas y, finalmente, el anexo que contiene el instrumento utilizado para la toma de información primaria.
2. MARCO TEÓRICO O REFERENCIAL
Para el cumplimiento del objetivo establecido es necesario plantear unas bases teóricas que le brinden soporte al desarrollo de la investigación y proporcionen el enfoque necesario para la incorporación de las capacidades dinámicas como variable clave para fortalecer la productividad y la competitividad en las empresas sujeto del estudio.
Capacidades dinámicas
Según la teoría de las capacidades dinámicas, los procesos organizacionales y de gestión son los que acogen las competencias y habilidades, de acuerdo con los activos y trayectorias de la empresa (Ibidunni y Nnaemaka, 2025). Sin embargo, es importante considerar que «el enfoque de CD se ha utilizado en diferentes contextos y propósitos» (Bitencourt et al., 2024, p. 2), por lo cual resulta importante conocer los diferentes conceptos que se han generado desde su introducción:
Mushangai (2023) y Teece et al. (1997) identificaban la capacidad de la empresa por integrar, construir y reconfigurar todos los factores que la rodean para estar alerta ante el entorno; es decir, que la organización es capaz de generar una ventaja competitiva a través de sus recursos y de su flexibilidad al cambio. Así, según Cockburn et al. (2000), responder a los cambios del entorno de manera oportuna es la CD que permite la generación de una ventaja competitiva para las organizaciones.
En ese sentido, para Barreto (2010), las CD son el potencial sistemático de resolución de problemas que tiene la empresa, creando una tendencia a ver oportunidades y amenazas, y tomar decisiones oportunas orientadas al mercado con un cambio en su base de recursos.
No obstante, Eisenhardt y Martin (2000) afirman que las CD son relativamente similares en todas las empresas y se describen utilizando diferentes ejemplos de procedimientos específicos, como la comunicación dentro de la organización para lograr mejores resultados.
Por su parte, Zollo y Winter (2002) afirman que las CD son un patrón aprendido y constante que le permite a la compañía generar un cambio sistemático para mejorar sus rutinas con el objetivo de ser más eficientes. Siendo así, en su definición, McKelvie y Davidsson (2009) aprecian las cd como la habilidad que posee una compañía para adaptar sus recursos al entorno cambiante que la rodea; es decir, es la capacidad de la compañía para integrar los recursos y generar el cambio necesario para obtener una ventaja competitiva.
Entonces, cobra importancia para las empresas la denominada visión de las CD que se enfoca en el desarrollo, adquisición y explotación de los recursos empresariales (Moon y Lee, 2021), propicia su evolución y ayuda a las organizaciones a trascender de entornos estáticos a entornos dinámicos e inciertos (Diaz Lopez et al., 2019). En este sentido, «las empresas deben reconfigurar sus recursos y capacidades para afrontar los desafíos y adaptarse a los entornos cambiantes» (Sánchez Martínez et al., 2025) de tal forma que les sea viable continuar siendo competitivas.
Productividad
La productividad se puede definir como la relación entre los productos que se generaron por la utilización de los recursos que se necesitaron para hacerlo. Es posible ser más productivo al mejorar un proceso de producción, ya sea por avances tecnológicos o por capacidades del personal, que los haga aptos para competir con precios flexibles y productos de calidad (Mishra y Yadav, 2021; Trianni et al., 2021).
Más específicamente, para Fontalvo et al. (2018) y Veluthedan y Kiran (2024), la relación entre el producto final o la producción de bienes y servicios, y la cantidad de recursos utilizados en su elaboración es lo que se define como productividad. Se requiere la habilidad para maximizar la producción con el material disponible y estar en constante mejoramiento. Ahora bien, desde la ciencia económica, la productividad es la relación entre los productos o salidas y los recursos necesarios para su elaboración (Beckhard y Pritchard, 1992).
Así, «la productividad se considera la capacidad y la disposición de una unidad económica para producir la máxima producción posible con los insumos y la tecnología dados» (Veluthedan y Kiran, 2024, p. 4). En términos organizacionales se refiere a la habilidad de la empresa o del sector para generar bienes y servicios de manera eficiente, usando los recursos disponibles de forma óptima (Mendivil-Hernández et al., 2025).
De otra parte, Hill y Jones (2004) afirman que existen diferentes tipos de productividad que le interesa a las empresas, como la productividad de los empleados, la productividad del capital, la productividad en investigación y desarrollo, y la productividad de la fuerza de ventas. De una forma más amplia, no centrada solo en procesos o recursos, sino en todo lo que realiza la organización. Uribe Macias (2021) incorpora los elementos anteriores a su concepto de alcance organizacional:
La productividad es la relación entre los resultados alcanzados y los recursos invertidos para ello; es «hacer más con menos». Es la relación entre las salidas y las entradas de un sistema económico. En esta medida, este concepto es similar, en términos generales, al de efectividad (p. 134).
Competitividad
En términos generales, Rajnoha y Lesnikova (2022) afirman que la competitividad es un concepto de múltiples facetas que es fundamental para el desarrollo económico; es considerada como la capacidad de una región para lograr un rendimiento económico sostenido, al tiempo que mejora la calidad de vida de sus habitantes (Delchev, 2024).
Sin embargo, Fernández Domínguez y Demmler (2025) aclaran que el concepto de competitividad puede ser visto y analizado a partir de diferentes perspectivas; por ejemplo, desde el enfoque económico, se puede referir a toda un área geográfica, a una industria o, específicamente, a una empresa. Este último nivel liga el concepto al enfoque administrativo, como se desarrollará a continuación.
Se entiende por competitividad, según Porter (2017), la capacidad de una empresa de producir y vender productos en mejores condiciones; es decir, superiores a sus competidores. En este sentido, Mustafa y Lleshi (2024) y Uribe Macias (2017) indican que para ser competitivos es necesario un proceso de cambio y aprendizaje continuo que propicie el reconocimiento como una organización excelente en el mercado.
Siendo así, la empresa competitiva innova y genera un movimiento que obliga a sus competidores y al sector en general a superarse y mejorar su desempeño financiero y tecnológico, así como a fortalecer su talento humano (Porter, 2021). De tal forma que se requiere que empresas y sectores usen eficientemente sus tecnologías y su productividad administrativa y financiera, lo que implica contar con sistemas de operación eficientes y globalizados (Pardo-Rozo et al., 2024).
Al respecto, Cordero-Salas et al. (2003) indican que la competitividad es la capacidad de mantener y ampliar la participación de las empresas en los mercados locales e internacionales de una manera lucrativa que permita su crecimiento; esto lo pueden lograr adaptándose a los cambios generados por el entorno.
También se puede definir la competitividad como sistémica (Hernández Lugo, 2003), primero, porque la empresa por sí misma no es competitiva; es decir que deben tenerse proveedores que apoyen la producción o existir una presión local para que pueda ser competitiva; segundo, porque existen dinámicas que afectan el comportamiento corporativo de acuerdo con estándares y reglas; por último, el Estado debe determinar el desarrollo industrial y ajustar la estructura productiva para que se pueda generar la competitividad.
Plan de mejoramiento
Es importante conocer qué es el plan de mejoramiento y cuáles son los más comunes actualmente. Gutiérrez García (2023), a partir de la consulta de varios autores, sintetiza el concepto de plan de mejoramiento como la columna vertebral de un proceso de mejora continua que, a partir de la identificación de problemas y necesidades en los procesos, propone acciones encaminadas a salvar los obstáculos existentes y a mantener las condiciones positivas en la organización.
Para Proaño Villavicencio et al. (2017) un plan de mejoramiento «es un proceso que se utiliza para alcanzar la calidad total y la excelencia de las organizaciones de manera progresiva, para así obtener resultados eficientes y eficaces» (p. 52). Para implementar un plan de mejoramiento existen varias herramientas, como por ejemplo el ciclo de planificar, hacer, verificar y actuar (PDCA, por sus siglas en inglés), el modelo EFQM, el modelo de Service Quality (Servqual).
El método del ciclo PDCA, creado por Edwards Deming en la década de los ochenta (Deming y Medina, 1989), se basa en el mejoramiento continuo y también es conocido como el circulo de Deming. Consiste en un proceso sistemático de cuatro etapas que permite el mejoramiento continuo y resolver problemas que se puedan presentar en el desarrollo del objeto social de la compañía; las etapas según sus siglas en inglés corresponden a planificar, hacer, verificar y actuar.
Otro de los métodos implementados es el EFQM, el cual «explora los procesos de la empresa, y a partir de estos, da significado a tres dimensiones: dirección, ejecución y resultados» (Arredondo Hidalgo et al., 2022, p. 44); así, conduce a la excelencia partiendo de la satisfacción de los clientes y de los empleados, mediante un correcto liderazgo y el uso eficiente de los recursos de la compañía (Maderuelo Fernández, 2002).
Este modelo se implementó en Europa en el año 1991 por la Fundación Europea para la Gestión de Calidad con el fin de evaluar y mejorar las organizaciones y lograr de esta manera una excelencia continua. Desde esa fecha se han realizado mejoras en su implementación manteniendo su base (dirección, ejecución y resultados) para que permita su aplicación y pertinencia en la época actual; la última de ellas se realizó en el año 2019, basada en la consulta de expertos y empresas que han aplicado este modelo (European Foundation Quality Management EFQM, 2021).
El último modelo por revisar en este documento es el modelo ServquaL; para Chen et al. (2008) este se basa en la aplicación de encuestas que buscan medir un modelo de calidad del servicio; es decir, es un proceso de evaluación de la satisfacción del cliente que posibilita el mejoramiento del producto o servicio.
El modelo en mención fue desarrollado por Zeithaml, Parasuraman y Berry en los 80 y sirve para medir, evaluar y gestionar la calidad con base en cinco dimensiones: fiabilidad, capacidad de respuesta, seguridad, empatía y tangibilidad (Parasuraman et al., 1985).
Una vez planteada la estructura teórica que dio pie al estudio, se presentan las siguientes hipótesis que se contrastarán en el apartado de resultados y permitirán establecer la influencia que las capacidades dinámicas tienen con respecto a los factores de productividad y competitividad:
Hipótesis desde la perspectiva de la productividad
Ho: las capacidades dinámicas de las empresas industriales impactan la productividad de estas organizaciones.
H1: las capacidades dinámicas de las empresas industriales no impactan la productividad de estas organizaciones.
Hipótesis desde la perspectiva de la competitividad
Ho: las capacidades dinámicas de las empresas industriales impactan la competitividad de estas organizaciones.
H1: las capacidades dinámicas de las empresas industriales no impactan la competitividad de estas organizaciones.
3. METODOLOGÍA
Se trató de una investigación cuantitativa en tanto que las variables involucradas en el estudio y derivadas de la estructura teórica se catalogaron como numéricas, que se aplican para predecir y/o controlar fenómenos (Orellana López y Sánchez Gómez, 2006). Así mismo, Hernández Sampieri et al. (2014) argumentan que se basa en un esquema deductivo y lógico que busca formular preguntas de investigación e hipótesis para posteriormente probarlas. En consecuencia, estas variables se procesaron con los métodos estadísticos pertinentes: análisis descriptivo y análisis multivariado. Igualmente, fue un estudio descriptivo en la medida en que caracterizó el comportamiento de las unidades analizadas (Bernal, 2016); explicativo y correlacional, debido a que busca «aclarar por qué ocurre un fenómeno y en qué condiciones se manifiesta o por qué se relacionan dos o más variables» (Hernández Sampieri et al., 2014, p. 95); transversal, dado que la información se recolectó en un solo momento; y no experimental, como quiera que las variables no se manipularon.
Dado que el tamaño de la población fue de solo 52 empresas medianas y grandes del sector industrial de Ibagué, dedicado a la transformación de materias primas en los subsectores de panadería y molinería, trilla de café, fabricación de cerveza, calzado, alimentos para animales y prendas de vestir, se realizó un censo para todas estas unidades de análisis, a las cuales se les aplicó el instrumento de recolección de datos estructurado en dimensiones e ítems (Tabla 1), el cual fue contrastado empíricamente en términos de su fiabilidad, por medio de una muestra piloto a 20 de estas organizaciones seleccionadas aleatoriamente, arrojando un coeficiente Alfa de Cronbach de 0.915 para todo el cuestionario, el cual se considera muy bueno de acuerdo con De Vellis, como se citó en García Cadena (2006) (Tabla 2).

Table 1. Research variables
Fuente: elaboración propia.

Table 2. Questionnaire reliability levels
Fuente: elaboración propia.En cuando a las tres dimensiones del cuestionario, sus coeficientes fueron de 0.919 para capacidades dinámicas; 0.824 para productividad y 0.884 para competitividad (Tabla 3).

Table 3. Reliability levels by dimension
Fuente: elaboración propia.La información primaria fue procesada con el software SPSS-25 de ibm y el Minitab-18, y se calcularon los estadísticos descriptivos relacionados con los diagramas de columnas y pruebas de fiabilidad. Desde la perspectiva del análisis multivariable, se estimaron los modelos de mínimos cuadrados parciales (PLS), para determinar la influencia que las variables de capacidades dinámicas tienen sobre los factores productividad y competitividad.
En esta investigación sobre la importancia de las capacidades dinámicas en la competitividad y productividad de las medianas y grandes empresas del sector industrial de la ciudad de Ibagué, se desarrolló un enfoque cuantitativo. Según Hernández Sampieri et al. (2014), este se basa en un esquema deductivo y lógico que busca formular preguntas de investigación e hipótesis para posteriormente probarlas; por su parte, Orellana López y Sánchez Gómez (2006) indican que a través de la obtención de datos numéricos se puede aplicar y predecir y/o controlar fenómenos, toda vez que es necesario establecer cuáles son las CD que se aplican actualmente en el sector para tener un punto de partida en la elaboración del plan de mejoramiento.
Por lo anterior, se aplicó un cuestionario estructurado de objetivo claro (Anexo 1) diseñado con escala Likert, el cual contó con 28 preguntas agrupadas en dimensiones (Tabla 1), que permitieron conocer el criterio de estas empresas en lo referente a las capacidades dinámicas, la competitividad y la productividad.
La población del presente estudio fueron las 52 medianas y grandes empresas del sector industrial de Ibagué, que tenían registro mercantil vigente al mes de marzo de 2023, registradas en la Cámara de Comercio de Ibagué.
En cuanto a la elaboración del plan de mejoramiento que se propone, se utilizó el modelo EFQM planteado en el marco de referencia, con tres pasos que se deben desarrollar. En estos tres pasos se incorporaron las variables de capacidades dinámicas que mostraron comportamientos negativos y se constituyen en oportunidades de mejora, de acuerdo con lo expresado en las Figuras 1 y 5. En la parte correspondiente se explican las relaciones existentes.
4. RESULTADOS
Los hallazgos de esta investigación se dividen en dos apartados. En primera instancia, desde el punto de vista descriptivo, en la Figura 1 se identifican las capacidades dinámicas más comunes entre las organizaciones respondientes. En este sentido, se encuentra que la mayoría de ellas estuvieron muy de acuerdo y de acuerdo con: resultados obtenidos, procesos competitivos, talento humano calificado, cultura organizacional, reconfiguración de procesos, relación con proveedores, desarrollo del sector, reconocimiento y satisfacción de los clientes y costos competitivos.

Figure 1. Dynamic capabilities in the studied organizations
Fuente: elaboración propia.Con base en estos resultados, se evidencia que estas empresas destacan algunos aspectos relacionados con las dimensiones de productividad y competitividad. Tal es el caso de la calidad del talento humano, la eficiencia de los procesos productivos y el liderazgo en costos. Igualmente, que elementos como cumplimiento de los presupuestos de ventas, la generación de utilidades, capacidad para detectar oportunidades o ventajas en el sector y programas de incentivos para los empleados no reportan buenas evaluaciones y de hecho presentan oportunidades de mejora, que eventualmente podrían contribuir a la productividad y competitividad organizacional
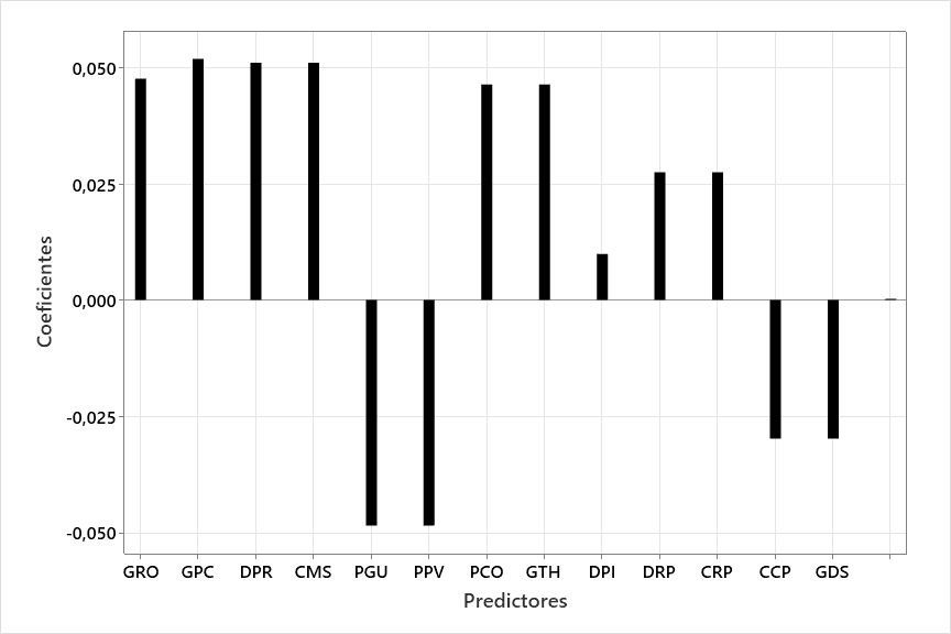
En segunda instancia y para efectos de determinar la influencia que las capacidades dinámicas de estas organizaciones tienen sobre los factores de productividad y competitividad, se aplicó la técnica de mínimos cuadrados parciales (PLS) del análisis multivariado (am). En este contexto, se puede observar en la Tabla 4 y la Figura 2 que las variables GRO, GPCS, DPR, CMS, PCO y GHT (siglas cuyos significados se pueden comprender mejor en el Anexo 1) son las que mayor impacto presentan sobre la variable dependiente Trabajo en equipo para el logro de los resultados del factor de productividad (PTE), la cual se seleccionó con base en la matriz de comunalidades del am considerando su varianza explicada por la dimensión a la cual pertenece (Tabla 5) y, además de ello, que fuera representativa de las demás capacidades. En este sentido, la ecuación del modelo (Ecuación 1) es:
(1)Reemplazando, se tiene la Ecuación 2:
(2)De acuerdo con la anterior ecuación de regresión lineal múltiple, se acepta la primera hipótesis nula planteada (H0), ya que algunas de las capacidades dinámicas de las empresas industriales de Ibagué sí impactan su productividad, y, de otra parte, se rechaza la hipótesis alternativa (H1) en tanto las CD de estas organizaciones no impactan su productividad.

Table 4. Coefficient matrix for PTE
Fuente: elaboración propia.A su vez, los atributos relativos con PGU, PPV, CCP y GDS fueron los que menor evaluación recibieron por parte de estos empresarios y de hecho su contribución es muy baja e incluso negativa, tal como sucede con los costos de producción, lo cual requiere analizarlos y proponer las mejoras correspondientes con el fin de potenciar la productividad de estas empresas.

Figure 2. pls coefficient plots for pte
Fuente: elaboración propia.

Table 5. Communalities matrix
Fuente: elaboración propia.Así mismo, en la Figura 3, Gráfica de cargas, se muestra que los ítems GRO, CMS y DPR son los que se encuentran más alejados del punto de inercia (0) de acuerdo con la longitud de sus vectores y, por lo tanto, son los que más contribuyen al modelo lineal de PLS, lo cual coincide con la Figura 2, es decir, son los más importantes dentro de la dimensión de productividad y requieren mayor atención para garantizar que estas organizaciones sean competitivas.

Figure 3. pls loading plot for pte
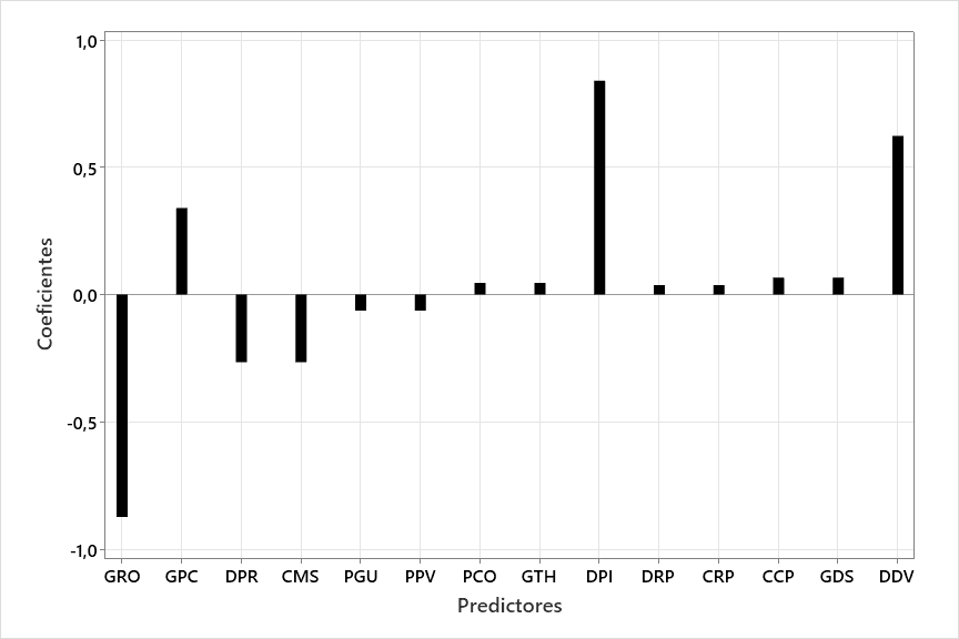
Fuente: elaboración propia.Igualmente, desde la perspectiva de la dimensión de competitividad, se encuentra en la Tabla 6 y en la Figura 4 que las capacidades dinámicas asociadas con DPI, DDV y GPC son aquellas que mayor influencia tiene sobre este factor, considerando la variable de respuesta Desarrollo de nuevos procesos y productos (CNP) del factor de competitividad, la cual fue seleccionada de acuerdo con la matriz de comunalidades del Análisis Multivariable (AM) considerando su varianza explicada por el factor al cual pertenece (Tabla 5) y, además de ello, que fuera representativa de las demás CD de la dimensión.

Table 6. Coefficient matrix for cnp
Fuente: elaboración propia.

Figure 4. PLS coefficient plots for CNP
Fuente: elaboración propia.De otra parte, los atributos relativos a GRO, DPR y CMS fueron los que menor contribución hicieron al modelo e incluso de manera negativa y exigen de hecho analizarlos y proponer las mejoras correspondientes con el fin de potenciar las capacidades competitivas de estas empresas. Con base en estos hallazgos, la siguiente es la ecuación del modelo (Ecuación 3):
(3)Reemplazando se tiene la Ecuación 4:
(4)De conformidad con este algoritmo se acepta la segunda hipótesis nula considerada (H0), afirmando que efectivamente algunas de las capacidades dinámicas de las empresas industriales de Ibagué sí impactan su competitividad y de hecho se rechaza la hipótesis alternativa (H1) en tanto las CD de estas organizaciones no impactan su competitividad.
En la Figura 5, Gráfica de cargas, se evidencia que las capacidades dinámicas PPV y PGU son las que se encuentran más alejadas del punto de inercia (0) de acuerdo con la longitud de sus vectores y, por lo tanto, son las que mayor contribución reportan al modelo lineal de PLS, es decir, son las más críticas de la dimensión de competitividad y requieren de la mayor atención para garantizar que estas organizaciones sean competitivas de manera integral.

Figure 5. PLS loading plot for CNP
Ahora bien, con base en los hallazgos de la investigación, corresponde proponer el plan de mejoramiento de las CD que sea pertinente. Para el modelo se consideran tres grupos importantes que se convierten en los pasos sucesivos del mismo. El primero, la dirección, en la cual se identifican los líderes de la organización, quienes tienen la responsabilidad de identificar los requerimientos de la compañía y, con base en ello, generar un propósito claro y una visión desafiante que haga perentorio el fortalecimiento de las capacidades dinámicas de la organización. El segundo grupo incluye al talento humano de la compañía, encargado de ejecutar las estrategias diseñadas y la transformación cultural, definidas por los líderes, orientado hacia los clientes y con el desarrollo de las cadenas de valor con los proveedores. En el tercer grupo se encuentran los líderes, el talento humano de la empresa, los clientes, los proveedores y el entorno de la organización, todos centrados en los resultados y su evaluación desde las ópticas interna y externa; el análisis que se realice se convierte en la corriente de realimentación empresarial que permite emprender planes y acciones de mejora, específicamente en este caso con el enfoque de las capacidades dinámicas.
El seguimiento al plan de mejoramiento se realiza mediante la aplicación del modelo Reder (resultados, enfoques, desplegar, evaluar, revisar) que permite realimentar todo el esquema. La propuesta se presenta de manera esquemática en la Figura 6, a continuación.

Figure 6. EFQM model focused on dynamic capabilities
Fuente: elaboración propia.En el desarrollo del modelo propuesto se incorporan las variables que resultaron del análisis de la información obtenida; siendo así, se tiene que en el primero paso se debe establecer una cultura organizacional clara y definida por toda la organización, orientada a los resultados esperados, que incluye las variables comportamiento del presupuesto de ventas, generación de utilidades y resultados obtenidos. En cuanto a identificar las estrategias que se van a implementar según las necesidades de la organización, se incluye el programa de incentivos para los empleados, y costos competitivos. Finalmente, en este primer paso se tienen que identificar las ventajas de la compañía para intensificarlas y generar mayor beneficio, lo cual incluye la capacidad para detectar oportunidades o ventajas en el sector, así como los costos competitivos.
En el segundo paso se deben conocer los resultados del personal de la compañía y la opinión del desarrollo de la estrategia para identificar posibles mejoras; se incorpora la variable capacidad para detectar oportunidades y ventajas en el sector; también existe la necesidad de implementar programas de conocimiento del cliente que permitan que la compañía conozca la percepción de los clientes sobre el producto y las mejoras a que haya lugar; acá están las variables programa de conocimiento de los clientes y satisfacción del cliente. Por fin, al evaluar el rendimiento de la compañía en el entorno, se conoce si ganó participación en el mercado con la implementación del modelo y se incluye la variable desarrollo del sector.
Como el tercer paso se centra en evaluación, monitoreo y control, incluye las nueve variables anteriormente mencionadas.
Con la información recopilada, y específicamente con la que se presentó en las Figuras 2 y 4, se plantea un planeador de capacidades dinámicas que responda a las preguntas claves de un plan operativo (qué, quién, cómo, cuándo, por qué, dónde) (Figura 7). De igual manera, la propuesta para la medición del desarrollo y alcance del plan de mejoramiento (Tabla 7), que puedan ser tomados como una guía para las empresas industriales preocupadas por el desarrollo de sus capacidades dinámicas.

Figure 7. Dynamic capabilities action planner
Fuente. elaboración propia.

Table 7. Evaluation of the improvement pla
Fuente: elaboración propia, a partir de Segura Rodríguez (2020).5. DISCUSIÓN
Los resultados obtenidos permitieron corroborar las contribuciones de las capacidades dinámicas a los factores de productividad y competitividad en las organizaciones estudiadas. En este sentido, Teece et al. (1997) identificaron la capacidad de la empresa por integrar, construir y reconfigurar todos los aspectos que la rodean para enfrentar los retos de un entorno turbulento (Bitencourt et al., 2024; Cockburn et al., 2000; Cruz González et al., 2007; Garzón, 2015; Sánchez Martínez et al., 2025; Uribe Macias, 2020; Vivas-López, 2013); es decir, debe ser capaz de generar una ventaja competitiva a través de sus recursos (Fernández Domínguez y Demmler, 2025; Garzón, 2018; Moon y Lee, 2021) y de su flexibilidad al cambio (Cockburn et al. 2000; Diaz Lopez et al., 2019; McKelvie y Davidsson, 2009; Zollo y Winter, 2002). En esta misma dirección, Barreto (2010) argumentó que las CD son la herramienta fundamental para la resolución de los problemas organizacionales, propiciando una tendencia hacia el conocimiento de oportunidades y amenazas para la toma de decisiones (Ibidunni y Nnaemaka, 2025).
Para Eisenhardt y Martin (2000) las capacidades dinámicas son relativamente similares en todas las empresas y se materializan en procesos específicos, como la comunicación organizacional para lograr los mejores resultados. En el caso particular de este estudio, se encontró que la mayoría de las CD en mayor o menor medida son compartidas por todas las organizaciones que fueron analizadas, las cuales las ven como oportunidades para generar cambios sistemáticos (Helfat y Raubitschek, 2000; Garzón, 2018; Zajac et al., 2000; Zahra y George, 2002; Zapata Rotundo y Mirabal Martínez, 2018) y cumplir con sus objetivos de productividad y competitividad (Cruz González et al., 2007; Mendivil-Hernández et al., 2025; Zollo y Winter, 2002; Veluthedan y Kiran, 2024).
De otra parte, Salazar y Peláez (2012) manifestaron que la habilidad que posee una empresa de reconfigurarse por sí sola y mejorar los procesos, sin necesidad de cambios en el entorno, es lo que se define como capacidades dinámicas. En esta perspectiva, en cuanto a la dimensión de productividad, estas organizaciones mantienen CD relacionadas con talento humano altamente calificado (Schilke, 2014), procesos competitivos (Schilke, 2014), potencialización de clientes y cultura organizacional. En cuanto al factor de competitividad (Garzón, 2015), se reconocen CD pertinentes con programas de incentivos para los empleados, la capacidad para detectar las ventajas u oportunidades del sector y la competitividad de los procesos frente a su sector de actividad económica (Schilke, 2014).
Desde el punto de vista de las CD por mejorar en estas empresas, se tienen desde la productividad, el cumplimiento de los presupuestos y la generación de utilidades (Schilke, 2014; Veluthedan y Kiran, 2024) como habilidades de aprendizaje (Bravo Ibarra et al., 2007; Helfat y Raubitschek, 2000; Zahra y George, 2002; Zapata Rotundo y Mirabal Martínez, 2018). En cuanto a la dimensión de competitividad, estas organizaciones deben propender por superar las falencias que presentan con respecto a las CD relacionadas con los resultados obtenidos por la empresa (Teece et al.,1997), programa de reconocimiento de clientes (Barreto, 2010; Helfat y Raubitschek, 2000; Zahra y George, 2002) y modelos de seguimiento de la satisfacción del cliente (Garzón, 2015; Garzón, 2018; Ortega Álvarez et al., 2012; Vivas-López, 2013).
Ahora bien, un plan de mejoramiento es la columna vertebral de un proceso de mejora continua (Gutiérrez García, 2023) para lo cual la organización debe generar sinergia en la medida en que establece una adecuada relación entre los procesos y el talento humano (Proaño Villavicencio et al., 2017). Uno de los métodos utilizados es el efqm, que explora los procesos de la empresa sobre la base de tres dimensiones: dirección, ejecución y resultados (Arredondo Hidalgo et al., 2022; Maderuelo Fernández, 2002; EFQM, 2021).
Las implicaciones prácticas de los resultados del estudio se pueden ejemplificar, en primera instancia, con los beneficios obtenidos en las diferentes áreas de actividad organizacional desde las CD. La gerencia de estas empresas reconoce no solo la importancia del relacionamiento con sus clientes, sino su satisfacción, lo cual contribuye al cumplimiento de los presupuestos de ventas, la generación de utilidades y la consolidación de estructuras de costos competitivos dentro del desarrollo de su actividad económica. Estos factores se han constituido en el bastión fundamental para la toma de decisiones desde el punto de vista de su productividad y la competitividad.
6. CONCLUSIONES
La investigación en términos generales reveló que las organizaciones objeto de estudio despliegan diferentes capacidades dinámicas, unas más que otras desde luego. Igualmente, reconocen la importancia que estas tienen en los factores de productividad y competitividad. En este contexto, se evidenció que las CD se destacan como el más importante diferenciador en la obtención de ventajas competitivas, en la medida en que interactúan permanentemente con el entorno adaptándose a él y satisfaciendo las necesidades del mercado.
Las CD identificadas en el desarrollo del proyecto, que están orientadas hacia el logro de ventajas competitivas que le permita a la organización superar a la competencia incluyen el buen clima organizacional, el liderazgo, la capacitación para los colaboradores, los incentivos, el trabajo en equipo, y la apropiación de conocimiento, a partir de la experiencia, de tal forma que propicie innovación en los productos de la empresa.
Se estableció asimismo que las variables resultados obtenidos, talento humano calificado, procesos competitivos, cultura organizacional y reconfiguración de procesos son las CD más comunes en las empresas del sector industrial de la ciudad de Ibagué; de igual forma, se resaltó la importancia del personal y los procesos para el logro de los resultados.
Por otro lado, las variables como el trabajo en equipo, la innovación, las decisiones estratégicas, el programa de reconocimiento de clientes, la identificación de ventajas, la generación de nuevas ideas, la adaptabilidad para reconfigurar procesos y la comunicación abierta en toda la compañía son las capacidades que generan un mayor impacto en las organizaciones, y se estableció que la relación de estas con la productividad y competitividad es positiva, es decir, que si las organizaciones enfocan sus esfuerzos en incrementar estas variables, se verá reflejado en los resultados finales.
En este sentido, la variable creación de programas para fidelización de clientes es la que mayor impacto genera en la productividad y competitividad de las compañías y es aquella que se desarrolla en menor medida en las organizaciones; por esto, se recomienda que sea uno de los principales enfoques para el plan de mejoramiento.
En el desarrollo de la investigación se identificó la existencia de una relación entre las capacidades dinámicas y la productividad y competitividad de las empresas, lo cual coincide con estudios realizados anteriormente que muestran que las capacidades dinámicas permiten que las empresas generen una ventaja competitiva con la cual pueden ser más productivas en el sector; de aquí la importancia de conocerlas y poder aplicarlas en el desarrollo de su actividad diaria, puesto que potenciará el desarrollo de su actividad económica.
Todos estos antecedentes dan pie para superar las falencias encontradas y proponer alternativas para optimizar la competitividad y la productividad en estas compañías, dado lo cual se sugirió un plan de mejoramiento según el modelo EFQM, que se fundamenta en la satisfacción de los clientes y los empleados, mediante un correcto liderazgo y el uso eficiente de los recursos de la compañía, lo que permite estar enfocados en las capacidades dinámicas para el logro de los objetivos.
Futuras líneas de investigación
Como futuras líneas de investigación, se podrían contemplar estudios relacionados con las CD en diferentes sectores de actividad económica, con el propósito de establecer en cuál de ellas se presenta un mayor desarrollo desde esta perspectiva. Así mismo, evaluar qué áreas funcionales son más susceptibles a la promoción de este tipo de acciones, y, de otra parte, determinar el impacto que las CD tienen en la toma de decisiones en cuando a la productividad y competitividad se refiere.
Algunas recomendaciones finales
Para la aplicación del plan de mejoramiento se sugiere que el líder sea la persona encargada de evaluar todo el modelo e implementar las estrategias y definir la cultura organizacional que debe guiar a toda la compañía; en el proceso de ejecución se requiere que todo el personal esté involucrado y tenga conocimiento para aprovechar al máximo sus capacidades y tener la comunicación necesaria para implementar los cambios a los que haya lugar; finalmente, se debe realizar el seguimiento a los resultados obtenidos para conocer si se cumplieron los objetivos o si hay que realizar alguna reconfiguración en los procesos desarrollados.
Para el desarrollo operativo, se recomendó el uso de un planeador que dé respuesta a los interrogantes ¿qué?, ¿quién?, ¿cómo?, ¿cuándo?, ¿por qué? y ¿dónde?, con respecto a cada una de las variables definidas como las que generan mayor impacto en las organizaciones, y que mantienen una relación positiva entre la aplicación de la capacidad y el resultado.
Siendo así, el éxito de este modelo depende de identificar los enfoques en los que se va a trabajar, el despliegue de las estrategias, la ejecución, la evaluación y revisión constante para obtener los resultados esperados desde el momento en que se aborda el paso de la dirección.
En síntesis, este plan de mejoramiento requiere de un liderazgo que no solo evalúe las diferentes variables del modelo, sino que implemente las estrategias necesarias y redefina la cultura organizacional que se constituirá en el norte de la empresa. Este proceso, de hecho, exige la participación del talento humano aprovechando al máximo sus capacidades, con un proceso de comunicación que facilite la implementación de los cambios a que haya lugar y a los cuales deberá hacérseles el seguimiento correspondiente.
Materiales suplementarios
Anexo 1 (doc)
REFERENCIAS
Arredondo Hidalgo, M. G., Caldera González, D. d. C., y Ortega Carrillo, M. A. (2022). Mejores prácticas y excelencia empresarial. Análisis de una PYME exportadora mexicana. Recherche en Sciences de Gestion-Management Sciences, 153(6), 33-64. https://doi.org/10.3917/resg.153.0033
Bari, N., Chimhundu, R., y Chan, K. C. (2024). Interrelation between sustainable dynamic capabilities, corporate sustainability, and sustained competitive advantage. Sustainability, 16(7), 2864. https://doi.org/10.3390/su16072864
Barreto, I. (2010). Dynamic capabilities: A review of past research and an agenda for the future. Journal of Management, 36(1), 256-280. https://doi.org/10.1177/0149206309350776
Beckhard, R., y Pritchard, W. (1992). Changing the essence: The art of creating and leading fundamental change in organizations (1a. ed.). Jossey-Bass.
Bernal, C. A. (2016). Metodología de la investigación. Pearson.
Bitencourt, C., Neto, H. F. M., y Zanandrea, G. (2024). A (re)view of dynamic capabilities: origins and future developments. RAE – Revista de Administração de Empresas, 64(4), 1-22. https://dx.doi.org/10.1590/S0034-759020240401
Bornay-Barrachina, M., López-Cabrales, A., y Salas-Vallina, A. (2023). Sensing, seizing, and reconfiguring dynamic capabilities in innovative firms: Why does strategic leadership make a difference? BRQ–usiness Research Quarterly, 28(2), 399–420. https://doi.org/10.1177/23409444231185790
Bravo Ibarra, E., Mundet Hiern, J., y Suñé, A. (2007). Un nuevo enfoque para el estudio de la teoría de las capacidades dinámicas. Revista de Economía y Empresa, 21(51), 11-32. https://hdl.handle.net/2117/2985
Chen, Y., Spohrer J., y Lelescu, A. (2008). Three Factors to Sustainable Service System Excellence: A Case Study of Service Systems [conferencia]. 2008 IEEE International Conference on Services Computing, Honolulu, EE.UU. IEEE. https://ieeexplore.ieee.org/xpl/conhome/4578428/proceeding
Cockburn, I. M., Henderson, R. M., y Stern, S. (2000). Untangling the Origins of Competitive Advantage. Strategic Management Journal, 21(10-11), 1.123–1.145. https://www.jstor.org/stable/3094430
Cordero-Salas, P., Chavarría, H., Echeverri, R., y Sepúlveda, S. (2003). Territorios rurales, competitividad y desarrollo. IICA Cuaderno Técnico N° 23. https://hdl.handle.net/11324/7388
Cruz González, J., Navas López, J. E., López Sáez, P., y Delgado Verde, M. (2007). Concepto e Implicaciones de las capacidades dinámicas desde un enfoque de dirección del conocimiento [congreso]. XV Congreso de la Asociación Española de Contabilidad y Administración de empresas, Madrid, España. https://www.aeca1.org/pub/on_line/comunicaciones_xvcongresoaeca/cd/64c.pdf
Delchev, D. (2024). Increasing regional competitiveness through project financing. Strategies for Policy in Science and Education, 32(3), 142-155. https://doi.org/10.53656/str2024-3s-12-inc
Deming, W. E., y Medina, J. N. (1989). Calidad, productividad y competitividad: la salida de la crisis. (1ª. ed.). Ediciones Díaz de Santos.
Diaz Lopez, F. J., Bastein, T., y Tukker, A. (2019). Business Model Innovation for Resource-Efficiency, Circularity and Cleaner Production: What 143 Cases Tell Us. Ecological Economics, 155, 20-35. https://doi.org/10.1016/j.ecolecon.2018.03.009
Eisenhardt, K., y Martin, J. (2000). Dynamic capabilities: What are they? Strategic Management Journal, (21), 1.105-1.121
European Foundation for Quality Management EFQM. (2021). El Modelo EFQM.https://efqm.org/es/the-efqm-model/
Fabrizio, C. M., Kaczam, F., De Moura, G. L., Vieira da Silva, L. S. C., Vieira da Silva, W., y Pereira da Veiga, C. P. (2022). Competitive advantage and dynamic capability in small and medium-sized enterprises: a systematic literature review and future research directions. Review of Managerial Science, 16(3), 617-648. https://doi.org/10.1007/s11846-021-00459-8
Fernández Domínguez, A., y Demmler, M. (2025). Complement and substitution effects of internal migration on foundational competitiveness in Mexico. Mercados y Negocios, 26(54), 13-32. https://doi.org/10.32870/myn.vi54.7769
Fontalvo, T., De la Hoz, E., y Morelos, J. (2018). La productividad y sus factores: incidencia en el mejoramiento organizacional. Dimensión Empresarial, 16(1), 189-202. https://dialnet.unirioja.es/servlet/articulo?codigo=6233008
Galdino da Silva, E. M. S., Weber, A. F., Moreira, M. F., y Da Silva, S. M. (2022). Innovation climate, human capital and dynamic capacities: interrelations between innovation antecedents. Innovation & Management Review, 19(4), 270-289. https://doi.org/10.1108/INMR-06-2019-0087
García Cadena, C. H. (2006). La medición en ciencias sociales y en la psicología. En R. Landero Hernández y M. T. González Ramírez (eds.), Estadística con SPSS y Metodología de la investigación (pp. 139-166). Trillas.
Garzón, M. (2015). Model of dynamic capabilities. Dimensión Empresarial, 13(1), 111-131. http://dx.doi.org/10.15665/rde.v13i1.341
Garzón, M. (2018). La capacidad dinámica de aprendizaje. Desarrollo Gerencial, 10(1), 29-47. https://doi.org/10.17081/dege.10.1.3009
Gutiérrez García, M. A. (2023). Plan de mejora para la fase preparatoria de contratación pública de un municipio de la provincia de Los Ríos, Ecuador [tesis de maestría, Universidad César Vallejo]. Repositorio UCV. https://repositorio.ucv.edu.pe/bitstream/handle/20.500.12692/110243/Guti%c3%a9rrez_GMA-SD.pdf?sequence=1&isAllowed=y
Helfat, C., y Raubitschek, R. (2000). Product Sequencing: Co-Evolution of Knowledge, Capabilities and Products. Tuck-JFE Contemporary Corporate Governance Conference. http://dx.doi.org/10.2139/ssrn.237288
Hernández Lugo, A. (2003). Organización de la producción y del trabajo: Gestión por procesos. Industrial, 24(1), 21-24.
Hernández Sampieri, R., Fernández Collado, C., y Baptista Lucio, P. (2014). Metodología de la investigación (6a. ed.). McGraw-Hill.
Hill, C., y Jones, G. (2004). Administración estratégica. Un enfoque integrado. McGraw-Hill.
Ibidunni, A., y Nnaemaka, C. G. (2025). The role of entrepreneurial resourcefulness and dynamic capabilities on student´s entrepreneurial intention. RAE – Revista de Administração de Empresas, 65(2), 1-25. https://doi.org/10.1590/S0034-759020250207
Maderuelo Fernández, J. A. (2002). Gestión de la calidad total: El modelo EFQM de excelencia. Medifam, 12(10), 41-54. https://scielo.isciii.es/scielo.php?script=sci_arttext&pid=S1131-57682002001000004
Mendivil-Hernández, P., González-Sánchez, E., Gutiérrez-Calderón, M. A., Herazo-Chamorro, M., Cogollo-Dueñas, J. F., y Bravo-Chadid, N. J. (2025). The qualification of human capital as a productivity factor in organizations. Revista de Gestão Social e Ambiental-RGSA, 19(2), e011430. https://doi.org/10.24857/rgsa.v19n2-118
McKelvie, A., y Davidsson, P. (2009). From resource base to dynamic capabilities: An investigation of new firms. British Journal of Management, 20(1), S63-S80. https://doi.org/10.1111/j.1467-8551.2008.00613.x
Mishra, P., y Yadav, M. (2021). Environmental capabilities, proactive environmental strategy and competitive advantage: A natural-resource-based view of firms operating in India. Journal of Cleaner Production, 291, 125-249. https://doi.org/10.1016/j.jclepro.2020.125249
Moon, S., y Lee, H. (2021). Shaping a circular economy in the digital tv industry: focusing on ecopreneurship through the lens of dynamic capability. Sustainability, 13(9), 4865. https://doi.org/10.3390/su13094865
Mushangai, D. (2023). Dynamic capabilities: Axiomatic formation of firms’ competitive competencies. Social Sciences & Humanities Open, 8(1), 100654. https://doi.org/10.1016/j.ssaho.2023.100654
Mustafa, B., y Lleshi, S. (2024). The impact of lifelong learning and investments in employee development on employee productivity and performance. Multidisciplinary Reviews, 7(8), 2024175. https://doi.org/10.31893/multirev.2024175
Niehaus, M., Hansen, K., Mocan, M., y Barmayoun, D. (2023). Unraveling successful company organizations: A research design to explore strategies for thriving amid market turbulence. Administrative Sciences, 13(9), 204. https://doi.org/10.3390/admsci13090204
Orellana López, D. M., y Sánchez Gómez, M. C. (2006). Técnicas de recolección de datos en entornos virtuales más usadas en la investigación cualitativa. Revista de Investigación Educativa, 24(1), 205-222. https://revistas.um.es/rie/article/view/97661
Ortega Álvarez, A. M., García Merino, T., y Santos Álvarez, M. V. (2012). El desarrollo de nuevos productos a la luz y a la sombra de las capacidades dinámicas. Cuadernos de Administración, 25(45), 113-135. https://doi.org/10.11144/Javeriana.cao25-45.dnpl
Parasuraman, A., Zeithaml, V. A., y Berry, L. L. (1985). A Conceptual Model of Service Quality and its Implications for Future Research. Journal of Marketing, 49(4), 41-50. https://doi.org/10.2307/1251430
Pardo-Rozo, Y. Y., Carvajal-Valderrama, G., y Perdomo-Carvajal, A. (2024). Evaluación de la Responsabilidad Social Empresarial en supermercados de Florencia, Caquetá, Colombia como factor de competitividad. Repositorio de la Red Internacional de Investigadores en Competitividad, 17(17). https://www.riico.net/index.php/riico/article/view/2227
Porter, M. E. (1991). Towards a dynamic theory of strategy. Strategic Management Journal, 12(S2), 95-117. https://doi.org/10.1002/smj.4250121008
Porter, M. (2017). Ser competitivo (9a. ed.). Deusto.
Porter, M. (2021). The changing role of business in society. Working paper.
Prabowo, H., Sriwidadi, T., y Ikhsan, R. B. (2021). The influence of dynamic capability on sustainable competitive advantage: An empirical study of small businesses in Indonesia. The Journal of Asian Finance, Economics and Business, 8(6), 949-959. https://doi.org/10.13106/jafeb.2021.vol8.no6.0949
Proaño Villavicencio, D.X., Gisbert Soler, V., y Pérez Bernabeu, E. (2017). Metodología para elaborar un plan de mejora continua. 3C Empresa: investigación y pensamiento crítico, Edición Especial, 50-56. https://3ciencias.com/wp-content/uploads/2018/01/art_6.pdf
Rajnoha, R., y Lesnikova, P. (2022). Sustainable competitiveness: how does global competitiveness index relate to economic performance accompanied by sustainable development? Journal of Competitiveness, 14(1), 136-154. https://doi.org/10.7441/joc.2022.01.08
Salazar, A., y Peláez, E. (2012). The organic growth of dynamic capabilities for innovation. International Journal of Technology Management and Sustainable Development, 10(3), 231.250. https://doi.org/10.1386/tmsd.10.3.231_1
Sánchez Martínez, D., Lavín Verastegui, J., Pedraza Melo, N. A., y Jasso, J. (2025). Capacidades dinámicas y economía circular en las organizaciones: un análisis bibliométrico. Revista Mexicana de Economía y Finanzas, 20(1), 1-33. https://doi.org/10.21919/remef.v20i1.1198
Schilke, O. (2014). On the contingent value of dynamic capabilities for competitive advantage: the nonlinear moderating effect of environmental dynamism. Strategic Management Journal, 35(2), 179-203. https://doi.org/10.1002/smj.2099
Segura Rodríguez, J. G. (2020). Implementación de dashboards con uso de indicadores para mejorar la productividad del servicio: acondicionamiento de ambientes para actividades productivas en el EP Chorrillos comunes [tesis de grado, Universidad Antenor Orrego]. https://hdl.handle.net/20.500.12759/6733
Teece, D. J., Pisano, G., y Shuen, A. (1997). Dynamic capabilities and strategic management. Strategic Management Journal, 18(7), 509-533. https://www.jstor.org/stable/3088148
Trianni, A., Cagno, E., Dolšak, J., y Hrovatin, N. (2021). Implementing energy efficiency measures: ¿do other production resources matter? A broad study in Slovenian manufacturing small and medium-sized enterprises. Journal of Cleaner Production, 287, 125044. https://doi.org/10.1016/j.jclepro.2020.125044
Ulloa-Pimienta, A. R., Sánchez-Trinidad, A. d. C., y Balcazar-Sosa, M. T. d. J. (2023). La productividad en la empresa de la industria de la transformación. Revista de Investigaciones Universidad del Quindío, 35(1), 236-247. https://doi.org/10.33975/riuq.vol35n1.1156
Uribe Macias, M. E. (2017). Gerencia del servicio: Alternativa para la competitividad (3a. ed.). Ediciones de la U.
Uribe Macias, M. E. (2020). Responsabilidad social empresarial. Ediciones de la U.
Uribe Macias, M. E. (2021). Administración estratégica. Modelo de aplicación para las organizaciones latinoamericanas. Ediciones de la U.
Veluthedan, S. P., y Kiran, K. B. (2024). Digital financial services (DFS) and productivity of Indian banking sector – empirical evidence using Malmquist productivity index and panel data regression. Revista de Gestão Social e Ambiental, 18(8), e06167. https://doi.org/10.24857/rgsa.v18n8-002
Vivas-López, S. (2013). Implicaciones de las capacidades dinámicas para la competitividad y la innovación en el Siglo XXI. Cuadernos de Administración, 26(47), 119-139. https://www.redalyc.org/pdf/205/20531182006.pdf
Zahra, S., y George, G. (2002). Absorptive capacity: a review, conceptualization, and extension. Academy of Management Review, 27(2), 185-203. https://www.jstor.org/stable/4134351
Zajac, E. J., Kraatz, M. S., y Bresser, R. K. (2000). Modeling the dynamics of strategic fit: A normative approach to strategic change. Strategic Management Journal, 21(4), 429-453. https://doi.org/10.1002/(SICI)1097-0266(200004)21:4<429::AID-SMJ81>3.0.CO;2-%23
Zapata Rotundo, G. J., y Mirabal Martínez, A. (2018). Capacidades dinámicas de la organización: revisión de la literatura y un modelo propuesto. Investigación Administrativa, 47(121), 47-70. https://www.redalyc.org/articulo.oa?id=456054552003
Zollo, M., y Winter, S. G. (2002). Deliberate learning and the evolution of dynamic capabilities. Organization Science, 13(3), 339-351. https://www.jstor.org/stable/3086025
Notas
Los autores declaran que no presentan conflictos de interés financiero, profesional o personal que pueda influir de forma inapropiada en los resultados obtenidos o las interpretaciones propuestas.
Para el desarrollo de este proyecto todos los autores han realizado una contribución significativa, especificada a continuación:
Angélica María Horta Lázaro: diseño y desarrollo de la investigación, redacción del manuscrito.
Mario Enrique Uribe Macías: diseño y desarrollo de la investigación, revisión y ajuste final del manuscrito.
Germán Rubio Guerrero: desarrollo de la investigación, revisión del manuscrito.
Información adicional
Cómo citar / How to cite: Horta Lázaro, A. M., Uribe Macías, M. E., y Rubio Guerrero, G. (2025). Análisis de la relación de las capacidades dinámicas y la productividad y competitividad de las empresas industriales. Revista CEA, 11(26), e3372. https://doi.org/10.22430/24223182.3372
Información adicional
redalyc-journal-id: 6381