Original scientific papers

Received: 23 April 2023
Revised document received: 22 May 2023
Accepted: 24 May 2023
DOI: https://doi.org/10.5937/vojtehg71-44132
Abstract:
Introduction/purpose: The temperature of a vertex of a graph of the order n is defined as d/(n-d), where d is the vertex degree. The temperature variant of the Sombor index is investigated and several of its properties established.
Methods: Combinatorial graph theory is applied.
Results: Extremal values and bounds for the temperature Sombor index are obtained.
Conclusion: The paper contributes to the theory of Sombor-index-like graph invariants.
Keywords: temperature (of vertex), temperature vertex-degree-based graph invariant, Sombor index, temperature Sombor index.
Pезюме:
Введение/цель: Температура вершины графа порядка n определяется как d/(n-d), в котором d представляет степень вершины. Исследован температурный вариант индекса Сомбора и доказаны некоторые его свойства.
Методы: В данной статье применяется комбинаторная теория графов.
Результаты: В результате исследования были получены предельные значения температурного индекса Сомбора и его верхние и нижние пределы.
Выводы: Данное исследования вносит вклад в теорию инвариантов графов сомборского типа.
Ключевые слова: температура (вершины), температурный инвариант графа, основанный на степени вершины, индекс Сомбора, температурный индекс Сомбор.
Abstract:
Увод/циљ: Температура чвора у графу реда n дефинисана је као d/(n-d), где је d степен чвора. Истраживана је температурска варијанта сомборског индекса и доказане су неке њене особине.
Методе: Примењена је комбинаторна теорија графова.
Резултати: Одређене су екстремне вредности за температурски сомборски индекс, и нађене доње и горне границе.
Закључак: Рад доприности теорији графовских инваријанти сомборског типа.
Keywords: температурa (чвора), графовска инваријанта зависна од степена чворова, сомборски индекс, температурски сомборски индек.
Introduction
In this paper, we examine a class of vertex-degree-based (VDB) graph invariants. Let G be a simple graph with n vertices and m edges. Let V(G) and E(G) be its vertex and edge sets, respectively. Then |V(G)|=n and |E(G)|=m. The edge of the graph G, connecting the vertices u and v, will be denoted by uv. The degree du of the vertex u is the number of its first neighbors.
The graph in which any two vertices are adjacent is said to be complete and is denoted by Kn. It has m=n(n-1)/2 edges. Its complement, denoted by
, is the edgeless graph, with m=0.
For additional details of graph theory, see (Harary, 1969; Bondy & Murty, 1976).
In the recent mathematical and chemical literature, a large number of graph invariants of the form
(1)are studied, where f is a pertinently chosen function with the property f(x,y)=f(y,x); for details, see (Gutman, 2023) and the references cited therein. The quantities defined via Eq. (1) are usually referred to as vertexdegree-based (VDB) graph invariants. Of these, one of the oldest is the first Zagreb index (Gutman & Trinajstić, 1972; Gutman & Das, 2004):

whereas one of the most recent ones is the Sombor index (Gutman, 2021; Liu et al, 2022):

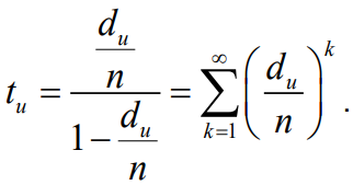
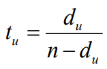
According to Fajtlowicz (Fajtlowicz, 1988), the temperature of the vertex u of a graph with n vertices is defined as
(2)where one should recall that in the case of n-vertex graphs, 
Directly from this definition, it follows that

The equality on the left-hand side holds if
, whereas the righthand side equality holds if either
or
.
In Eq. (1), by replacing the vertex degrees with vertex temperatures, one obtains the respective temperature VDB graph invatiants, namely:

Such are the temperature first Zagreb index
(3)and the temperature Sombor index

Several other temperature VDB graph invariants were studied in the literature (Narayankar et al, 2018; Kahsay et al, 2018; Kulli, 2019a; Kulli, 2019b; Kulli, 2021).
The temperature Sombor index was first considered by Kulli (Kulli, 2022). In this paper, we establish a few more of its properties.
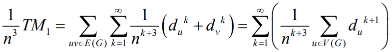
Preparation: temperature first Zagreb index
Bearing in mind that for all vertices of any n-vertex graph,
, directly from Eq. (2), we obtain:

Substitutingthis into Eq. (3) yields
(4)where we used the identity (Gutman, 2015)

which holds for any quantity g determined by the vertex u. Note that TM1 had to be be divided by n3 because the maximum possible value of
.
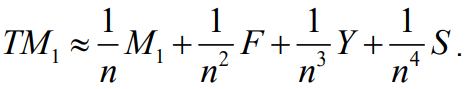
In connection with formula (4), one should note that for k=1 and k=2, the term
is equal to the well-known and much studied VDB invariants – the first Zagreb index M1 and the so-called forgotten index F (Furtula & Gutman, 2015), respectively. The same term for k=3 and k=4 coincides with the VBD invariants Y and S, recently introduced in (Alameri et al, 2020) and (Nagarajan et al, 2021), respectively.
Therefore,
, which is an approximation that would satisfy all practical applications of the temperature first Zagreb index. A somewhat better, yet more perplexed approximation would be
.
On the temperature Sombor index
It is evident from Eq. (2) that the temperature of a vertex is a monotonously increasing function of the respective vertex degree. Therefore, by deleting an adge
from the graph G, some of its vertex temperatures must decrease, and no vertex temperature will increase. This implies,
(5)From relation (5), we immediately conclude the following:
(1) The complete graph and its complement have the maximum and minimum temperature Sombor indices, i.e.,

(2) The connected graph with the minimum value of TSO must be a tree.
(3) Based on a general result for VDB graph invariants (Cruz & Rada, 2019), the trees with the maximum and minimum temperature Sombor indices are the star and the path, respectively.
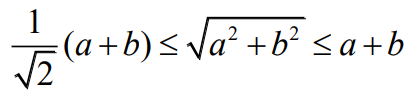
In what follows, we use the well-known inequality

valid for a,b0, with the left-hand side equality if a=b, and the right-hand side inequality in the irrelevant case a=b=0. Applying it to TSO, we get

i.e.,

With the left-hand side equality if and only if the graph G is regular, i.e., if all its vertices have mutually equal degrees.
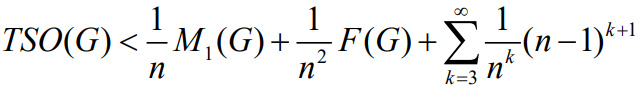
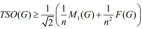
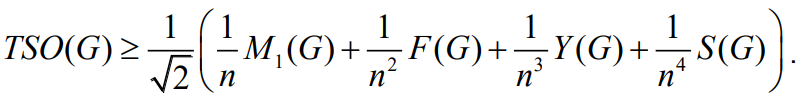
Bearing in mind Eq. (4), we get
(6)From (6), we immediately obtain the following lower bounds for TSO.
(7)or, better, but more complicated,
(8)The equality in (7) and (8) holds if
.
In order to get an upper bound for TSO, we modify the right-hand side of (6) as

from which it follows

References
Alameri, A., Al-Naggar, N., Al-Rumaima, M. & Alsharafi, M. 2020. Y-index of some graph operations. International Journal of Applied Engineering Research, 15(2), pp.173-179 [online]. Available at: https://www.ripublication.com/ijaer20/ijaerv15n2_11.pdf [Accessed: 19 April 2023].
Bondy, J.A. & Murty, U.S.R. 1976. Graph Theory with Applications. New York: Macmillan Press. ISBN: 0-444-19451-7.
Cruz, R. & Rada, J. 2019. The path and the star as extremal values of vertex-degree-based topological indices among trees. MATCH Communications in Mathematical and in Computer Chemistry, 82, pp.715-732 [online]. Available at: https://match.pmf.kg.ac.rs/electronic_versions/Match82/n3/match82n3_715-732.pdf [Accessed: 19 April 2023].
Fajtlowicz, S. 1988. On Conjectures of Graffitti. Annals of Discrete Mathematics, 38, pp.113-118. Available at: https://doi.org/10.1016/S0167-5060(08)70776-3.
Furtula, B. & Gutman, I. 2015. A forgotten topological index. Journal of Mathematical Chemistry, 53, pp.1184-1190. Available at: https://doi.org/10.1007/s10910-015-0480-z.
Gutman, I. 2015. Edge-decomposition of Topological Indices. Iranian Journal of Mathematical Chemistry, 6(2), pp.103-108. Available at: https://doi.org/10.22052/IJMC.2015.10107.
Gutman, I. 2021. Geometric Approach to Degree–Based Topological Indices: Sombor Indices. MATCH Communications in Mathematical and in Computer Chemistry, 86, pp.11-16 [online]. Available at: https://match.pmf.kg.ac.rs/electronic_versions/Match86/n1/match86n1_11-16.pdf [Accessed: 19 April 2023].
Gutman, I. 2023. On the spectral radius of VDB graph matrices. Vojnotehnički glasnik/Military Technical Courier, 71(1), pp.1-8. Available at: https://doi.org/10.5937/vojtehg71-41411.
Gutman, I. & Das, K.C. 2004. The first Zagreb index 30 years after. MATCH Communications in Mathematical and in Computer Chemistry, 50, pp.83-92 [online]. Available at: https://match.pmf.kg.ac.rs/electronic_versions/Match50/match50_83-92.pdf [Accessed: 19 April 2023].
Gutman, I. & Trinajstić, N. 1972. Graph theory and molecular orbitals. Total φ-electron energy of alternant hydrocarbons. Chemical Physics Letters, 17(4), pp.535-538. Available at: https://doi.org/10.1016/0009-2614(72)85099-1.
Harary, F. 1969. Graph Theory. Boca Raton: CRC Press. Available at: https://doi.org/10.1201/9780429493768. ISBN: 9780429493768.
Kahsay, A.T., Narayankar, K. & Selvan, D. 2018. Atom bond connectivity temperature index of certain nanostructures. Journal of Discrete Mathematics and Its Applications, 8(2) pp.67-75. Available at: https://doi.org/10.22061/JMNS.2018.3624.1032.
Kulli, V.R. 2019a. Some Multiplicative Temperature Indices of HC5C7 [p, q] Nanotubes. International Journal of Fuzzy Mathematical Archive, 17(2), pp.91-98. Available at: https://doi.org/10.22457/206ijfma.v17n2a4.
Kulli, V.R. 2019b. The (a,b)-Temperature Index of H-Naphtalenic Nanotubes. Annals of Pure and Applied Mathematics, 20(2) pp.85-90. Available at: https://doi.org/10.22457/apam.643v20n2a7.
Kulli, V.R. 2021. The (a,b)-KA temperature indices of tetrameric 1,3-adamantane. International Journal of Recent ScientificResearch, 12(2), pp.40929-40933 [online]. Available at: https://recentscientific.com/sites/default/files/17380-A-2021_0.pdf [Accessed: 19 April 2023]..
Kulli, V.R. 2022. Temperature-Sombor and temperature-nirmala indices. International Journal of Mathematics and Computer Research (IJMCR), 10(9), pp.2910-2915. Available at: https://doi.org/10.47191/ijmcr/v10i9.04.
Liu, H., Gutman, I., You, L. & Huang, Y. 2022. Sombor index: review of extremal results and bounds. Journal of Mathematical Chemistry, 60, pp.771-798. Available at: https://doi.org/10.1007/s10910-022-01333-y.
Nagarajan, S., Kayalvizhi, G. & Priyadharsini, G. 2021. S-Index of Different Graph Operations. Asian Research Journal of Mathematics, 17(12), pp.43-52, Available at: https://doi.org/10.9734/arjom/2021/v17i1230347.
Narayankar, K.P., Kahsay, A.T. & Selvan, D. 2018. Harmonic temperature index of certain nanostructures. International Journal of Mathematics Trends and Technology (IJMTT), 56(3), pp.159-164.
Author notes
Additional information
FIELD: mathematics (mathematics subject classification: primary 05c07, secondary 05c09)
ARTICLE TYPE: original scientific paper
EDITORIAL NOTE: The author of this article, Ivan Gutman, is a current member of the Editorial Board of the Military Technical Courier. Therefore, the Editorial Team has ensured that the double blind reviewing process was even more transparent and more rigorous. The Team made additional effort to maintain the integrity of the review and to minimize any bias by having another associate editor handle the review procedure independently of the editor – author in a completely transparent process. The Editorial Team has taken special care that the referee did not recognize the author’s identity, thus avoiding the conflict of interest.
КОММЕНТАРИЙ РЕДКОЛЛЕГИИ: Автор данной статьи Иван Гутман является действующим членом редколлегии журнала «Военно-технический вестник». Поэтому редколлегия провела более открытое и более строгое двойное слепое рецензирование. Редколлегия приложила дополнительные усилия для того чтобы сохранить целостность рецензирования и свести к минимуму предвзятость, вследствие чего второй редактор-сотрудник управлял процессом рецензирования независимо от редактора-автора, таким образом процесс рецензирования был абсолютно прозрачным. Редколлегия во избежание конфликта интересов позаботилась о том, чтобы рецензент не узнал кто является автором статьи.
РЕДАКЦИЈСКИ КОМЕНТАР: Аутор овог чланка Иван Гутман је актуелни члан Уређивачког одбора Војнотехничког гласника. Због тога је уредништво спровело транспарентнији и ригорознији двострукослепи процес рецензије. Уложило је додатни напор да одржи интегритет рецензије и необјективност сведе на најмању могућу меру тако што је други уредник сарадник водио процедуру рецензије независно од уредника аутора, при чему је тај процес био апсолутно транспарентан. Уредништво је посебно водило рачуна да рецензент не препозна ко је написао рад и да не дође до конфликта интереса.