Review papers

Received: 20 November 2020
Revised document received: 12 June 2023
Accepted: 14 June 2023
DOI: https://doi.org/10.5937/vojtehg71-41282
Abstract:
:
Introduction/purpose: The quantization of the electromagnetic field gives rise to quantum fluctuations which in turn produce a force on macroscopic boundaries. This phenomenon is called the Casimir effect.
Method: The second quantization of the electromagnetic field is employed. The Zeta function regularization technique has been applied.
Results: Because of the electromagnetic field quantization, a force on macroscopic boundaries is observed.
Conclusions: Vacuum fluctuations due to quantum effects give macroscopic results.
Keywords: quantum electrodynamics, quantization, vacuum energy, Casimir effect..
Pезюме:
Введение/цель: Квантование электромагнитного поля порождает квантовые флуктуации, которые, в свою очередь, создают силу на макроскопических границах. Этот феномен называется эффектом Казимира.
Методы: В данной статье используется вторичное квантование электромагнитного поля. Также применяется метод регуляризации с помощью дзета-функции.
Результаты: В результате квантования электромагнитного поля на макроскопических границах наблюдается сила.
Выводы: Флуктуации вакуума из-за квантовых эффектов дают макроскопические результаты.
Ключевые слова: квантовая электродинамика, квантование, энергия вакуума, эффект Казимира.
Abstract:
Увод/циљ: Квантизација електромагнетног поља доводи до квантних флуктуација које заузврат производе силу на макроскопским границама. Овај феномен назива се Казимиров ефекат.
Методе: Користи се друга квантизација електромагнетног поља. Примењена је техника регуларизације помоћу зета-функције.
Резултати: Због квантизације електромагнетног поља примећује се сила на макроскопским границама.
Закључак: Флуктуације вакуума услед квантних ефеката дају макроскопске ефекте.
Keywords: квантна електродинамика, квантизација, енергија вакуума, Казимиров ефекат.
The Casimir effect
We are going to consider an effect arising from the electromagnetic field quantization. Casimir first observed that, because of quantum fluctuations of the electromagnetic field, between two neutral parallel conducting plates separated by a distance d and located in a vacuum, there is a force which is attractive in this particular geometry. This is known as the Casimir effect (Casimir, 1948; Casimir & Polder, 1948; Casimir, 1953). Only transverse modes will contribute to the energy, and, assuming the plates are perpendicular to the direction x of propagation, that component will have nodes on the planes and will take discrete values
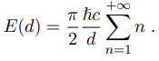
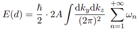
(1)The zero point energy of this configuration is given by
(2)For the sake of simplicity, we will limit ourselves to a 1 + 1 dimensional space, i.e. 1D, in order not to deal with ky and kz, the components of the electromagnetic wave vector. Therefore, the modes are given by sin(nπx/d), where n = 1, 2, . . . and the corresponding energy is ωn = πn/d. Plugging all this back into eq. (2), for the vacuum energy in one spatial dimension, we obtain the expression
(3)Of course the term
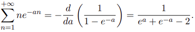
is a source of trouble being divergent. In order to solve this problem, let us introduce the generating function
(4)for a > 0, this series is, of course, convergent to
(5)and has the property that
(6)so that in the limit a → 0 we recover the sum of eq. (3). Besides its mathematical properties in the series, the parameter a plays a role as a cutoff for frequencies with a wavenumber n larger than 1/a. We will isolate the source of divergence for a → 0, obtaining a finite value for the zero point energy.
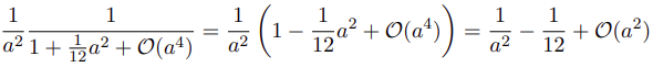
Taking the derivative of eq. (5) with respect to a, we obtain
(7)Expanding (7) with Taylor for small a (i.e. taking into account higher frequencies), we have
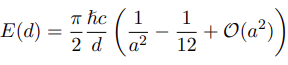
(8)The expression for the zero point energy (3) becomes
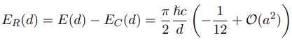
(9)and we observe that the divergent part goes like 1/a2 , while all other remaining terms are regular in the limit a → 0. As it stands, E does not have a definite value. Remembering that the energy is defined up to a constant, we should regularize it by subtracting a suitable “counterterm” EC(d) that will eventually furnish us with a finite value for E. For a discussion of the counterterms in Quantum Electrodynamics, consult (Fabiano, 2021), and for the various regularization techniques in Quantum Field Theory, see (Fabiano, 2022). Defining the counterterm in the following manner
(10)that is, the sole divergent part of (9) and subtracting it to E(d), we end up with a perfectly regularized energy value for a = 0:
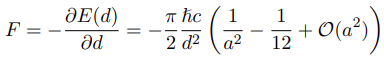
(11)What experimentalists do measure in the Casimir effect is the force among plates, that is
and, of course, this value does not blow up. The complete expression for the (attractive) force between two plates is
(12)whose regular part is just given by 
(13)as all other terms vanish in the limit a → 0. This is the finite result for the Casimir force in 1D.
To summarize, while computing the zero point energy, we stumble upon the divergent term
In order to regularize its behavior, we introduce a parameter a that goes to zero thus discovering the pole 1/a2 and other regular terms.Then we subtract a suitably “infinite” term that cancels the divergent part and retain the finite value for a = 0.
For the sake of completeness, a more exhaustive expansion of (7) in powers of a is given by
(14)where the coefficients are related to Bernoulli numbers.
An alternative approach to the generating function, of course completely equivalent, is the well–known regularization via the Riemann zeta function defined for 
(15)and extended on the whole complex plane to a meromorphic function, i.e. that is holomorphic everywhere except for a simple pole at s = 1 with residue 1, see for instance (Fabiano, 2020). It is possible to show that
(16)Three dimensional case
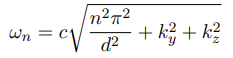
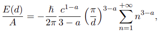
In spatial 3D, that is 3 + 1 dimensions, we restore the other two components ky and kz of the wave vector which of course are not subject to boundary conditions due to the presence of the plates. The frequency is written as
(17)giving the expression for the energy
(18)where A is the area of the conducting plates, the factor 2 accounts for the two polarizations.
Turning to polar coordinates in two dimensions by setting
and performing the angular integration, we arrive at the density of energy per surface
(19)As it stands, this integral is strongly divergent. As a regularization measure, we multiply everything by
and eventually let a → 0. The expression we obtain is given by
(20)and this integral is well behaved for
Performing the integration, we arrive at
(21)the sum on the rhs is recognized to be the zeta function,
, which is not singular for a = 0 and assumes the value
. The complete zero point energy density in three dimensions is therefore given by the expression:
(22)It is worth noticing that in 3D a different geometry of the plates in the Casimir effect could change the sign of the force making it, say, attractive instead of repulsive.
As a byproduct, we have just “proved” that
(23)The Casimir effect has been explicitly shown here for two parallel plates in 1D and 3D respectively, and the force is attractive.
There are many more possible situations in which the effect could be observed. Lifshits (Lifshitz, 1956) studied the case of two parallel dielectric bodies and the effects of finite temperature; the case of a liquid layer of separation was studied by Dzyaloshinskii, Lifshitz and Pitaevskii (Dzyaloshinskii et al, 1961). They also showed that, under certain circumstances, the Casimir force could be repulsive rather than attractive. Schwinger (Schwinger, 1951, 1975) studied the problem; in (Schwinger, 1992a) he used a different approach from the effective action, and in (Schwinger, 1992b,c), he started the calculations for a spherically shaped object.
References
Casimir, H.B.G. 1948. On the attraction between two perfectly conducting plates. Proc. Kon. Ned. Akad. Wet., 51, p.793 [online]. Available at: https://dwc.knaw.nl/DL/publications/PU00018547.pdf [Accessed: 18 November 2022].
Casimir, H.B.G. 1953. Introductory remarks on quantum electrodynamics. Physica, 19(1-12), pp.846-849. Available at: https://doi.org/10.1016/S0031-8914(53)80095-9.
Casimir, H.B.G. & Polder, D. 1948. The Influence of Retardation on the London-van der Waals Forces. Physical Review, 73(4), pp.360-372. Available at: https://doi.org/10.1103/PhysRev.73.360.
Dzyaloshinskii, I.E., Lifshitz, E.M. & Pitaevskii, L.P. 1961. General Theory of van der Waals’ Forces. Soviet Physics Uspekhi, 4(2), pp.153-176. Available at: https://doi.org/10.1070/PU1961v004n02ABEH003330.
Fabiano, N. 2020. Zeta function and some of its properties. Vojnotehnički glasnik/Military Technical Courier, 68(4), pp.895-906. Available at: https://doi.org/10.5937/vojtehg68-28535.
Fabiano N. 2021. Corrections to propagators of quantum electrodynamics. Vojnotehnički glasnik/Military Technical Courier, 69(4), pp.930-940. Available at: https://doi.org/10.5937/vojtehg69-30604.
Fabiano N. 2022. Regularization in quantum field theories. Vojnotehnički glasnik/Military Technical Courier, 70(3), pp.720-733. Available at: https://doi.org/10.5937/vojtehg70-34284.
Lifshitz, E.M. 1956. The Theory of Molecular Attractive Forces between Solids. Journal of Experimental and Theoretical Physics (JETP)/Soviet Physics, 2(1), pp.73-83 [online]. Available at: http://jetp.ras.ru/cgi-bin/e/index/e/2/1/p73?a=list. [Accessed: 18 November 2022].
Schwinger, J. 1951. On Gauge Invariance and Vacuum Polarization. Physical Review, 82(5), pp.664-679. Available at: https://doi.org/10.1103/PhysRev.82.664.
Schwinger, J. 1975. Casimir effect in source theory. Letters in Mathematical Physics, 1(1), pp.43-47. Available at: https://doi.org/10.1007/BF00405585.
Schwinger, J. 1992a. Casimir energy for dielectrics. PNAS, 89(9), pp.4091- 4093. Available at: https://doi.org/10.1073/pnas.89.9.4091.
Schwinger, J. 1992b. Casimir effect in source theory II. Letters in Mathematical Physics, 24(1), pp.59-61. Available at: https://doi.org/10.1007/BF00430003.
Schwinger, J. 1992c. Casimir effect in source theory III. Letters in Mathematical Physics, 24(3), pp.227-230. Available at: https://doi.org/10.1007/BF00402898.
Author notes
Additional information
FIELD: mathematics
ARTICLE TYPE: review paper
Alternative link
https://scindeks.ceon.rs/article.aspx?artid=0042-84692303740F (html)
https://aseestant.ceon.rs/index.php/vtg/article/view/41282 (pdf)
https://doaj.org/article/41214fb482674abd9226b22a1033df9b (pdf)
https://www.elibrary.ru/item.asp?id=53973018 (pdf)
http://www.vtg.mod.gov.rs/archive/2023/military-technical-courier-3-2023.pdf (pdf)