Abstract: The H∞ filtering problem for a class of networked nonlinear Markovian jump systems subject to randomly occurring distributed delays, nonlinearities, quantization effects, missing measurements and sensor saturation is investigated in this paper. The measurement missing phenomenon is characterized via a random variable obeying the Bernoulli stochastic distribution. Moreover, due to bandwidth limitations, the measurement output is quantized using a logarithmic quantizer and then transmitted to the filter. Further, the output measurements are affected by sensor saturation since the communication links between the system and the filter are unreliable and is described by sector nonlinearities. The objective of this work is to design a quantized resilient filter that guarantees not only the stochastic stability of the augmented filtering error system but also a prespecified level of H∞ performance. Sufficient conditions for the existence of desired filter are established with the aid of proper Lyapunov–Krasovskii functional and linear matrix inequality approach together with stochastic analysis theory. Finally, a numerical example is presented to validate the developed theoretical results.
Keywords: discrete-time networked Markovian jump systems, randomly occurring distributed delay, sensor saturation, quantization effects, missing measurements.
Resilient H ∞ filtering for networked nonlinear Markovian jump systems with randomly occurring distributed delay and sensor saturation

Recepción: 27 Noviembre 2019
Revisado: 06 Agosto 2020
Aprobación: 01 Marzo 2021
Markovian jump systems (MJSs) accurately characterize the physical systems, which experience unexpected structural variations due to system noises, abrupt changes in the environment, failures in interconnections, switching among subsystems etc. MJSs has widespread applications in many engineering fields such as robotics, financial systems, communication control systems, flight control systems and so on. Also, the study on MJSs received persistent research attention and a great number of interesting results have been reported in the literature [7,9,11,18,22,27,39]. For instance, the authors in [27] developed a H. filter by implementing a mode-dependent event-triggering scheme and delay partitioning technology for network-based singular Markovian jump systems. In [39], the H. filtering problem for nonlinear Markovian jump systems subject to sensor saturation and output quantization is discussed. In [7], the authors designed a H. filter for Markovian jump systems subject to time-varying delay by using reciprocally convex approach and Wirtinger-based inequality. In another research frontier, networked control systems has widely been used due to its applications in industrial engineering and advantages such as easy installation, increased system flexibility and high reliability. Nevertheless, the insertion of networks bring many challenging network induced complications like fading measurements, packet dropouts and communication delays. Many significant results regarding NCSs with these network induced complications have been obtained in the past decades [3, 12, 13, 15, 20]. Specifically, an event-triggered fuzzy filter is designed in [20] for T–S fuzzy model based networked control systems by using bounded real lemma. By modeling the DC motor system as a T–S fuzzy model a peak-to-peak filter is designed in [3], and the quantization effects is considered for measurement and performance output signals. The authors in [12] investigated the fault detection problem for nonlinear NCSs subject to random packet dropouts.
It should be pointed out that the filter design problems for networked control systems are concerned with the assumption that the transmitted measurement outputs are received completely by the sensors. In practice, the measurements may not be received fully or packet dropouts happen due to the imperfect network-based communication medium or noisy channels (see [6, 23, 32, 36] and references therein). The information exchange in NCSs is through a shared network based communication medium with limited bandwidth. Hence, it is appropriate and essential to reduce the bandwidth utilization, and one of the main strategy to deal this issue is quantization of signals, which reduce the size of the data before transmission [4, 19, 29, 37]. It should be mentioned that sensors cannot always provide unlimited signals due to physical and technological constraints, which results in sensor saturations. For example, in image sensor and temperature sensor, the nonlinearity and saturation are unavoidable. The saturation in sensors instantaneously bring unexpected variations that results in nonlinear characteristics of sensors or even instability of the NCSs. In recent years, great deal of attention is devoted to the NCSs with sensor saturations [5, 24, 26, 42]. The system performance inherently suffer from time delay due to communication channel disturbances and limited network resources. Furthermore, time delay is commonly random and time-varying, which is also a major hazard to the system performance. Accordingly, many important results are proposed for Markovian jump and switched time delay systems [1, 8, 10, 14, 21, 30, 35].
On the other hand, the state estimation problems have gained particular research interest since the system states are not fully measurable in most of the situations. Specifically, H. filtering has been perceived as most powerful and effective way in estimating the unavailable system states, and also, it does not require any prior statistical knowledge of the exogenous disturbances. The H. filtering problems for several dynamical systems have extensively been investigated in recent years [28, 31, 40]. Most of the existing results in the literature for networked MJSs are proved with the assumption that the filter parameters are implemented precisely. But it is not possible always, and there exist unavoidable parameter variations due to rounding errors, which in turn lead to inaccurate execution of filters. Recently, studies on nonfragile or resilient filter design has been accelerated among researchers, and fruitful results are reported [2, 17, 25, 33, 38]. However, the resilient H. filtering problem for networked nonlinear systems with Markovian jumps subject to randomly occurring nonlinearities, distributed delay and external disturbances is not fully investigated, which motivates the present study. The main attention is to design an appropriate filter such that the filtering error system is stochastically stable with prescribed H. performance attenuation index. The significant features of this paper are summarized as follows:
A generalized network nonlinear control system with Markovian jumping parame ters subject to randomly occurring nonlinearities and distributed delay is considered.
To deal the overloaded network traffic, missing measurements and sensor saturation is considered. The occurrences of missing measurements are described with a stochastic variable obeying Bernoulli distribution.
To reduce the bandwidth utilization, a logarithmic quantizer is incorporated to quantize the measurement signal.
A nonfragile filter is designed such that the filtering error system is stochastically stable and achieves a prescribed performance index.
Finally, a numerical example is provided to examine the applicability and efficacy of the formulated filter design technique.
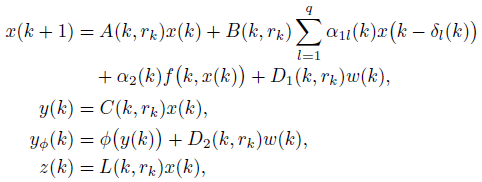
Given a probability space (M;F;P), where M is the sample space, F represents the algebra of events, and P is the probability measure defined on F. Consider the discretetime networked Markovian jump systems subject to randomly occurring distributed delay and nonlinearities over the space (M;F;P) in the following form:
(1)where x(k) ∈ Rn is the state vector, y(k) ∈ Rm is the measured output, yφ(k) is the measured output with saturation, w(k) ∈ Rq is the disturbance input belonging to l2[0, ∞), z(k) ∈ Rp is the performance output to be estimated, and φ(·) represents the saturation function.
describes the distributed time delays of the system in which the stochastic variable α1l(k) stands for the random occurrence of the delays, and δl(k) for l = {1, 2, . . . , q} are the time-varying delay satisfying δm ≤ δl(k) ≤ δM , where the nonnegative scalars δm and δM denote the minimum and maximum bounds of the delay. Also, the stochastic variables α1l(k) for l = {1, 2, . . . , q} describe the random delays, which are Bernoulli distributed white sequences that are presumed to obey the conditions P {α1l(k) = 1} = E {α1l(k)} = α¯1l, P {α1l(k)} = 0 = 1 α¯1l. A(k, rk), B(k, rk), C(k, rk), D1(k, rk), D2(k, rk) and L(k, rk) are constant matrices with suitable dimensions. Further, rk ∈ Ω = {1, 2, . . . , N } is the discrete-time Markov stochastic process, and the transition probability matrix is defined as Ψ (k) = {ψij(k)}, i, j ∈ Ω, and ψij(k) = P(rk+1 = j | rk = i) is the transition jump rate from mode i at time k to mode j at time k + 1 with ψij(k) ≥ 0 and
. For notational simplicity, we let (k, r(k)) = i. The nonlinear vector valued function f ( ) satisfies the sector-bounded condition
(2)f (0) = 0, where
are diagonal matrices with H2 - H1 ≥ 0. The stochastic variable α2(k), which is Bernoulli sequence with assumptions P {α2(k) = 1} = E {α2(k)} = α¯2, P {α2(k)} = 0 = 1 α¯2, is taken into account to reflect the phenomena of randomly occurring nonlinearities.
The saturation function φ(.) is assumed to be in the interval [K1, K2] with K1, K2 ∈ Rn×n, K1 ≥ 0, K2 ≥ 0 and K2 > K1. Also, φ(.) satisfies the following sector condition:

The nonlinear function φ(y(k)) describing the sensor saturation phenomenon can be decomposed into nonlinear and linear parts as φ(y(k)) = φs(y(k)) + K1y(k) in which the nonlinear part φs(y(k)) satisfies

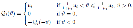
By considering the network bandwidth constraints it is imperative to quantize the measurement signal before transmitting through the communication medium. For this purpose, a logarithmic quantizer that is symmetric and time-invariant is implemented. To characterize the logarithmic quantizer, the quantization levels are described as

where 0 < ζi < 1 is the quantization density, and u0 > 0. The quantizer function Qi(.) is defined as

with µi = (1 ζi)/(1 + ζi). To incorporate the quantization effects, the following quantizer is employed:

Further, the quantization errors are solved using the sector bound approach, then f (k) - y(k) = ∆(k)y(k), where ∆(k) = diag {∆1(k), . . . , ∆m(k)} . Then the input to the filter can be described as y¯(k) = (I+∆(k))y(k), where ││∆i││ ≤ δ¯, i = {1, 2, . . . , m} . It should be noted that missing measurements can be encountered during the communication process due to unreliable network based communication medium. To describe the missing measurement rate, the stochastic Bernoulli sequence α3(k) is considered with the assumptions P {α3(k) = 1} = E {α3(k)} = α¯3, P {α3(k) = 0} = 1 α¯3.
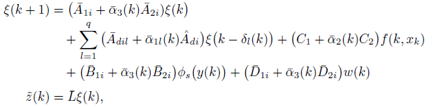
To estimate the performance output z(k), the mode-dependent filter is designed in the following form:
(3)where xf (k) ϵ Rn, zf (k) Rp are the state and output vectors of the filter, respectively; A¯f (k, rk) = Af (k, rk) + ∆Af (k, rk), B¯f (k, rk) = Bf (k, rk) + ∆Bf (k, rk) in which Af (k, rk), Bf (k, rk) and Lf (k, rk) are the filter gain parameters to be determined and yˆ(k) = α3(k)y¯(k). For notational convenience, the gain parameters are denoted as Af (k, rk) = Afi, Bf (k, rk) = Bfi and Lf (k, rk) = Lfi. Further, the additive filter gain variations are assumed in the form as ∆Afi = Mi (k)Nai and ∆Bfi = Mi (k)Nbi wherein Mi, Nai and Nbi are appropriate dimensional constant matrices, and (k) is an unknown time-varying matrix function with FfT(k) F(k) ≤ I.
By setting ξ(k) = [x(k) xf (k)] and z˜(k) = z(k) zf (k), the augmented system is obtained as follows:
(4)

For obtaining the main results, the following definition and lemmas are needed.
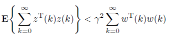
Definition 1. (See [34].) The filtering error system (4) is stochastically stable with a prescribed H∞ performance index γ if the following two conditions hold:
(i) The filtering error system (4) with w(k) = 0 is stochastically stable, that is, for any initial condition χ(0), there exists a matrix > 0 such that the following holds:

(ii) Under zero initial condition,

holds for all nonzero w(k) ∈ l2[0, ∞).
Lemma 1. (See [16].) Given matrices S, P > 0 and R = RT, the inequality STPS R< 0 holds if and only if there exists a matrix Q such that

Lemma 2. (See [41].) Given matrices Π1,Π2 and Π3 with appropriate dimensions and
Π1 satisfying Π1 = ΠT, then

holds for all ∆.(.).(.) < I if and only if there exists a scalar ϵ > . such that

In this section, a H. filter design in the form of (3) is derived for the networked control Markovian jump system (1) subject to randomly occurring distributed delay and nonlinearities, where the measurement output signal suffers from missing measurements and sensor nonlinearity. First, a set of constraints that are sufficient for the filtering error system (4) with zero disturbances to be stochastically stable is derived for known filter gain parameters without any perturbations. Next, the results are extended by considering the quantization effects and gain fluctuations with a prespecified performance attenuation index γ > 0.
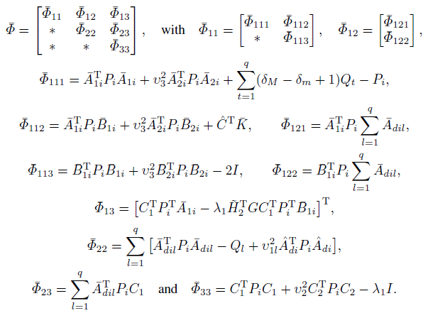
Theorem 1. Let α¯1l, α¯2, α¯3, l = 1, 2, . . . , q, γ be given positive scalars, δm, δM are integers with δM ≥ δm ≥ 1, and let the filter gain parameters Afi, Bfi and Lfi be known. Then the filtering error system (4) is stochastically stable under zero disturbances I f there exist positive definite matrices Pi, Qi such that the following LMI holds:
(5)where

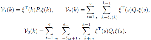
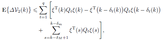
Proof. In order to derive the desired results, the Lyapunov–Krasovskii functional candidate is considered in the following form: V(k) = Σa3 Va(k), where

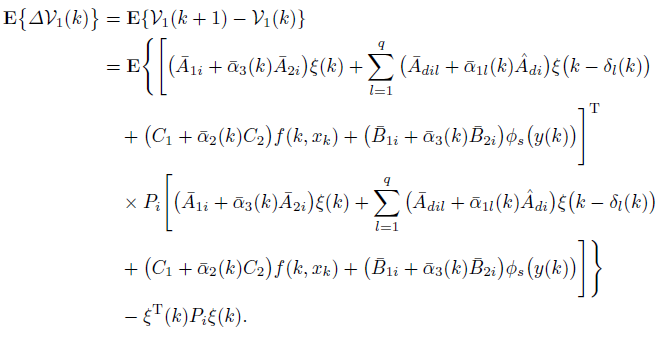
Defining ∆V(k) = V(k + 1) − V(k) with w(k) = 0 and taking the mathematical expectation, the difference of V1(k) is calculated as
(6)Similarly, the differences of V2(k) and V3(k) are calculated as
(7)
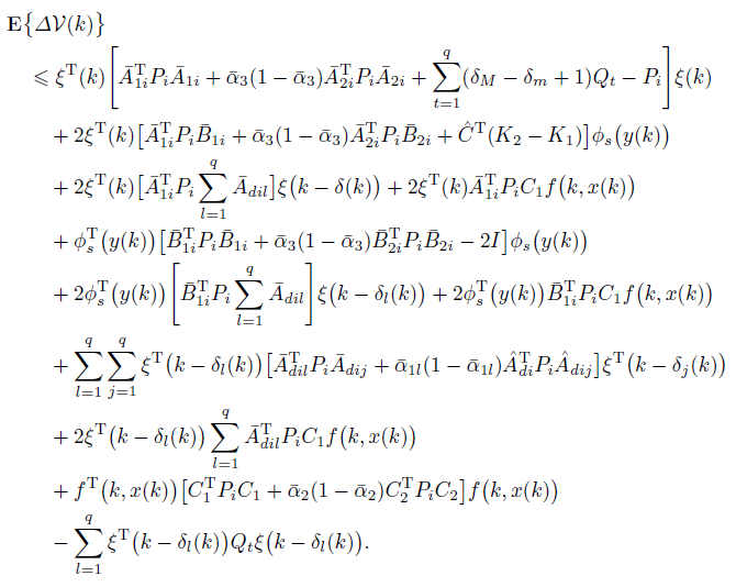
(8)From saturation nonlinearity we get

which implies that
(9)where Cˆ and K¯ are defined in (5). By combining (6)–(9) we get
(10)From the sector bounded condition (2) we have
(11)Let

Letting
and combining (10) and (11), we get
(12)where

Hence, (5) implies that E{∆V(k)} ≤ 0, then we have E{∆V(k)} ≤ −βE{ηT(k)η(k)}, where β = min{λmin[Φ¯]}, and λmin[Φ¯] is the minimal eigenvalue of [−Φ¯]. Summing the above inequality from initial time instant to time instant T , we have

Then it is easy to get that

Further, it is evident that
. When T → ∞, we get , which proves the stochastic stability of the filtering error system. Next, we explore the sufficient conditions for the stochastic stability of the filtering error system by considering the effects of exogenous disturbances. In order to derive the constraints for all non zero w(k) ϵ l2[0, ∞ ), it follows from (12) that
(13)where η¯T(k) = [η(k) w(k)],

and the remaining parameters are same as defined in (12). By Schur compliment (13) implies the matrix inequality in (5), and hence, we have
(14)Summing up (14) from 0 to ∞ with respect to . yields the following inequality:

Under zero initial conditions, it is easy to conclude that

Therefore, by Definition 1 the filtering error system is stochastically stable with a specified H. performance attenuation level. This completes the proof.
In Theorem 1, sufficient condition, which ensures the stochastic stability of the filtering error system with a prescribed disturbance attenuation index γ > 0, is derived. In the following theorem, the results are obtained by considering the quantization effects, and the filter gain parameters are calculated.
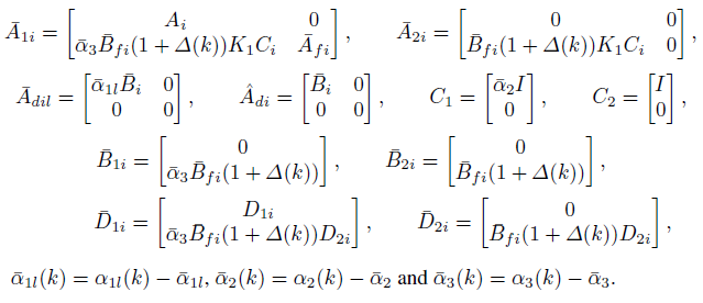
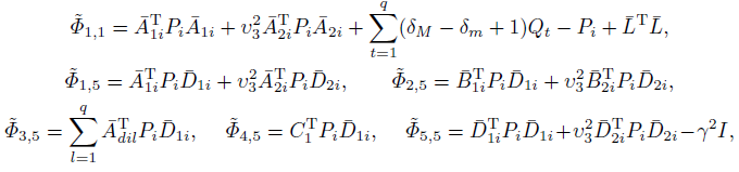
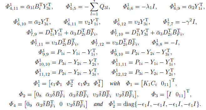
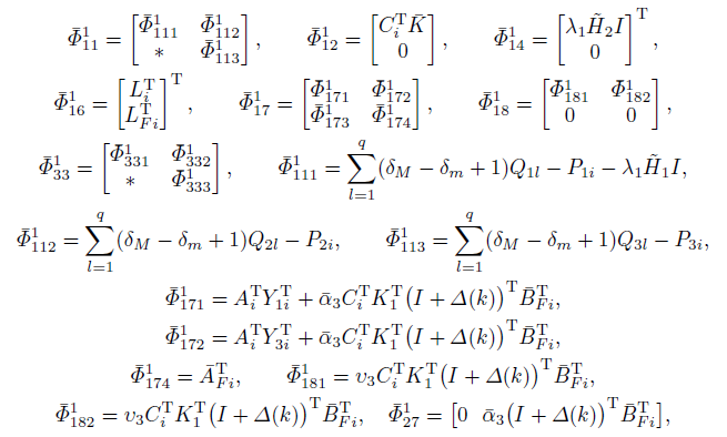
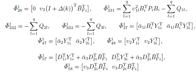
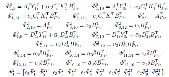
Theorem 2.For given positive scalars α¯1l, α¯2, α¯3, l = 1, 2, . . . , q, integers δM , δm with δM ≥ δm ≥ 1, quantization density 0 < ζi < 1, i = 1, 2, . . . , m, the filtering error system (4) is stochastically stable with a prespecified disturbance attenuation index γ > 0 if there exist positive scalar ϵ1, positive definite matrices P1i, P2i, P3i, Qlj, any matrices Yij, A¯F i, B¯F i and LF i for j = 1, 2, 3 such that the following LMI holds:
(15)where

Moreover, if the given LMIs are feasible, then the quantized filter gain parameters can be calculated by A¯F i = Y2iA¯f i, B¯F i = Y2iB¯f i and LF i = Lfi.
Proof. To prove the desired result, let us partition the matrices as


Using Lemma 1, the partition matrices defined above together with the assumptions A¯F i = Y2iA¯f i, B¯F i = Y2iB¯f i and CF i = Cfi, the matrix inequality in (5) can be expressed as
(16)and

In order to obtain the quantized filter gain parameters, the uncertain terms in (16) can be rewritten as



where Φ¯1, Φ¯2, Φ¯3 and Φ¯4 are defined as in (15). By employing Lemma 2 and Schur complement lemma, the matrix inequality given above can be equivalently viewed as the LMI in (15). Hence, if the LMI in (15) holds, it is easy to conclude that the filtering error system is stochastically stable with a prescribed H∞ performance index γ > 0. This completes the proof.
In the following theorem, a quantized nonfragile filter will be designed based on the results developed in Theorem 2 for the filtering error system by considering the gain variations in the form given in (3).
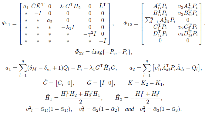
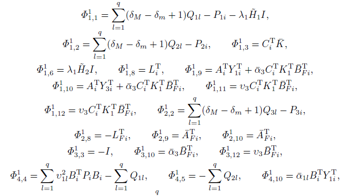
Theorem 3. Let α¯1l, α¯2, α¯3, γ and 0 ≤ ζi ≤ 1, l = 1, 2, . . . , q, i = 1, 2, . . . , m, be given positive scalars. Then the augmented filtering error system (4) is stochastically stable with prescribed H∞ performance attenuation level if there exist positive scalars ϵ1, ϵ2, ϵ3, symmetric matrices P1i, P2i, P3i, Qlj > 0, j = 1, 2, 3, and any matrices Y1i, Y2i, Y3i, AF i, BF i, LF i with appropriate dimensions such that the following LMI holds:

Where


Furthermore, the quantized nonfragile filter gain parameters are calculated as AF i= .2iAfi, BFi = .2iBfi and LFi . Lfi.
Proof. The proof of this theorem follows from Theorem 2. By considering the additive filter gain variations in the form defined in (3), applying Lemma 2 and Schur complement lemma to the LMI in (15), we can easily obtain the LMI in (17). Therefore, it can be concluded that the augmented filtering error system (4) is stochastically stable with a desired H. performance attenuation index γ > 0. This completes the proof.
Remark. It should be pointed out that the system under consideration and the filter design technique in this paper effectively reflect the realistic behaviors of the practical systems due to the incorporation of quantization effects and time delays. Further, the unexpected variations caused by the saturation in sensors is considered. Also, the effects of randomly occurring distributed delay and missing measurements that inherently exist in networkbased systems are taken into account. Moreover, the filter is designed in such a way that it is insensitive to some amount of uncertainties with respect to its gain. Based on this scenario, in this paper, the problem of resilient H. filter design for a class of discretetime nonlinear networked control systems with Markovian jumps subject to randomly occurring distributed delay, external disturbances and missing measurements is addressed, which makes the present work different from the existing works.
In order to prove the effectiveness of the developed filter design, a numerical example is presented in this section.
Consider the discrete-time networked nonlinear Markovian jump system (1) subject to randomly occurring distributed delay and sensor saturation with the following parameters:

Assume that q = 2 and the stochastic parameters are selected as α¯11 = E {α11(k)} = 0.2, α¯12 = E {α12(k)} = 0.15, α¯2 = E {α2(k)} = 0.2, α¯3 = E {α3(k)} = 0.15, the time-varying delay satisfies 2 ≤ δl(k) ≤ 3, l = 1, 2, and the quantization density is assumed to be δ¯ = 0.8. Also, the nonlinear function f (k, x(k)) is chosen as f (k, x(k)) = 0.4 sin x(k). Here the transition probability matrix is taken as
. Further, the sensor nonlinearity is taken as φs(y(k)) = ((K1 + K2)/2)y(k) + ((K2 K1)/2) x sin x(k) with K1 = 0.6 and K2 = 0.8. The additive filter gain parameters are chosen as M1 = M2 = [0.1 0.2 0.1]T, Na1 = [0.1 0.1 0.1], Na2 = [0.1 0.2 0.2] and Nb1 = Nb2 = 0.1. By solving the LMI condition in (17) the optimal H∞ disturbance attenuation index is obtained as γ = 0.042, and the corresponding filter gain parameters are calculated as

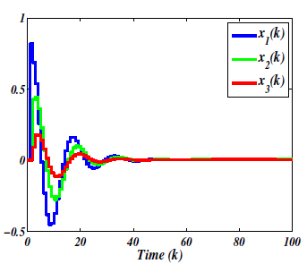
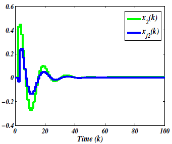
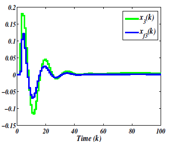
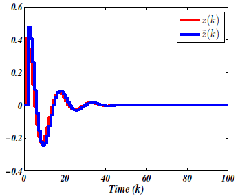
In addition, the initial conditions of the system and filter states are chosen as x(0) = [0 0 0]T and xf (0) = [0 0 0]T. Further, the disturbance input that affects the performance of the system is assumed as w(k) = 10e−0.12k cos(0.4k). Based on the obtained filter gain parameters and initial conditions, the response curves are represented in Figs. 1,2,3,4,5,6,7,8. In particular, the state responses of the considered system are shown in Fig. 1. Specifically, Figs. 2,3,4 show the responses of the states x1(k), x2(k) and x3(k) along with their estimates, respectively. In Fig. 5, the performance output z(k) and the estimated output z˜(k) are plotted. It is clear from the figure that estimated output effectively estimates the performance output of the system under the developed resilient H∞ filter. The estimation error e(k) is presented in Fig. 6, and it is evident that the error response eventually converges to zero within a short period of time. The jumping modes of the system during entire simulation process is given in Fig. 7, and external disturbances affecting the system performance is shown in Fig. 8. It is obvious from these results that the augmented filtering error system subject to randomly occurring distributed delays, sensor saturation and external disturbances is stochastically stable with a prescribed H∞ performance index γ > 0 via the developed quantized nonfragile filter, which demonstrates the effectiveness of the proposed filter design technique.








The problem of resilient H. filtering for networked nonlinear Markovian jump systems with randomly occurring nonlinearities, distributed delays and external disturbances has been investigated. The measurement output signal is affected by sensor saturation, missing measurements and quantization effects. Stochastic variables following Bernoulli statistical distributions are considered to characterize the random occurrences of timevarying delays, nonlinearities and missing measurements. By Lyapunov–Krasovskii stability theory, sufficient LMI conditions have been derived for obtaining a resilient H. filter that ensures the stochastic stability of the filtering error system with prescribed performance attenuation index. A numerical example is finally given to show the validity of the designed resilient filter. Further, the problem of finite-time resilient H. filtering for networked nonlinear Markovian jump systems with uncertainties, sensor faults and energy constraints is an untreated area. These issues will be our future research topics.







