Abstract: In this paper, we study the relative controllability of a fractional stochastic system with pure delay in finite dimensional stochastic spaces. A set of sufficient conditions is obtained for relative exact controllability using fixed point theory, fractional calculus (including fractional delayed linear operators and Grammian matrices) and local assumptions on nonlinear terms. Finally, an example is given to illustrate our theory.
Keywords: relative controllability, fractional delay stochastic systems, fractional delayed sine and cosine matrices.
Articles
Relative controllability of a stochastic system using fractional delayed sine and cosine matrices*

Recepción: 08 Agosto 2020
Aprobación: 01 Febrero 2021
Publicación: 01 Noviembre 2021
The integrals and derivatives of noninteger order and the fractional integro-differential equations arise in recent research in theoretical physics, mechanics and applied mathematics and fractional calculus is an effective tool to explain bodily structures that have long-term reminiscence and lengthy-range spatial integration (see [1, 14, 24]). Fractional integro-differential operators in the time and area variables describe the long-time period memory and the nonlocal nature of complicated media, and we refer the reader to the dynamics of many complex systems, anomalous methods and fractal media; see, for example, [14, 36].
In [3] the authors represented a solution for linear-type discrete systems with constant coefficients and pure delay with the aid of a discrete delayed exponential matrix and developed a controllability idea for the considered problem. In [4] an explicit solution for oscillating second-order (integer) single delay systems was represented using delayed sine and cosine matrices, and the authors established some sufficient conditions for relative controllability by constructing a specific control function. Further, representation of a solution of the Cauchy problem for an oscillating system with two delays and permutable matrices is presented in [2]. Representations of solutions for linear higher-order delayed systems of discrete equations are derived by means of new types of matrix functions of delayed type in [6]
Controllability plays a vital role in many meaningful applications of dynamical systems such as robotics, remote control and population models etc.; see [17]. A solution representation and relative controllability results for higher-order linear discrete delayed systems with a single delay using a special matrix functions called discrete delayed sine and cosine matrices can be found in [5]. Controllability of semilinear problems is studied using the Banach fixed point theorem in [22]. A singularly perturbed linear timedependent controlled system with a point-wise delay in state and control variables is considered for standard and nonstandard original singularly perturbed system in [9]. Algebraic necessary and sufficient conditions for relative controllability of linear time-varying systems with time-variable delays in control and problem of minimum energy control are examined in [15]. Using Schauder’s fixed point theorem, sufficient conditions for global relative controllability of nonlinear time-varying systems with distributed delays in control is generalized in [16]. A series of solution was presented in [12] for the linear autonomous time-delay system with permutation matrices by using delayed exponential matrices. An integral form of a solution for the linear Cauchy problem with pure delay is presented, and relative controllability and stabilization problem for a pendulum with time delay was established in [13]. A solution representation for the linear inhomogeneous differential equation with constant coefficients and pure delay was established using the form of sine and cosine delayed matrices of polynomials of degree dependent on the value of delay in [11]. A set of sufficient conditions for the constrained controllability of retarded nonlinear systems is established using the Banach fixed point theorem, and the existence of a mild solution for the considered system with nonlocal delay condition was established in [23]. Using the delay Grammian matrix involving the delayed matrix sine, the authors presented sufficient and necessary conditions of controllability for linear problem governed by second-order delay differential equations in [25]. Necessary and sufficient condition for the controllability of matrix second-order linear systems with scheme for computation of control was proposed in [32]. Relative controllability of firstorder semilinear delay differential systems with linear parts defined by permutable matrices is proposed in [34]. Liang et al. [26] studied the following Cauchy problem for a linear fractional system with pure delay:
(1)and represented the solution as
(2)and the Cauchy problem (1) is transformed into (2) by adopting delayed fractional cosine and sine matrice
White noise is formed by dynamical systems from outside disturbance and for stochastic models (see [8,10,28]). Necessary and sufficient conditions for various types of stochastic controllability of the linear stochastic system was studied in [7], and stochastic controllability of linear systems with state delays, delay in control and variable delay in control was studied in [18,19,21]. Zabczyk in [35] studied controllability of stochastic linear systems. Complete controllability of semilinear stochastic system assuming controllability of the associated linear system was studied in [27], and complete controllability for nonlinear stochastic systems with standard Brownian motion and fractional Brownian motion was studied in [29]. Stochastic controllability and minimum energy control of systems with multiple delays in control was analyzed in [20], and controllability and exponential stability results for a class of nonlinear neutral stochastic functional differential control systems in the presence of infinite delay driven by Rosenblatt process was presented in [33]. Sufficient conditions are established for controllability of second-order nonlinear stochastic delay systems using fixed point theory, delayed sine and cosine matrices and delayed Grammian matrices in [31]. Set of sufficient conditions for controllability of fractional higher-order stochastic integro-differential systems with fractional Brownian motion in finite dimensional space is studied in [30]
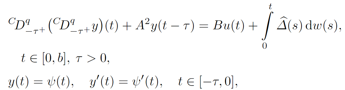
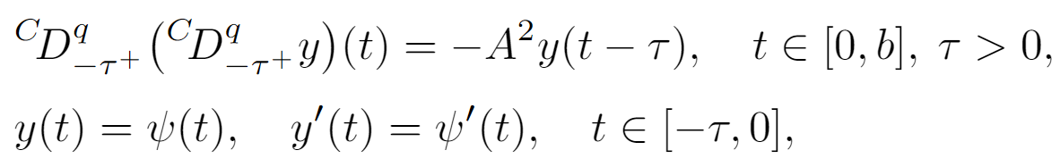
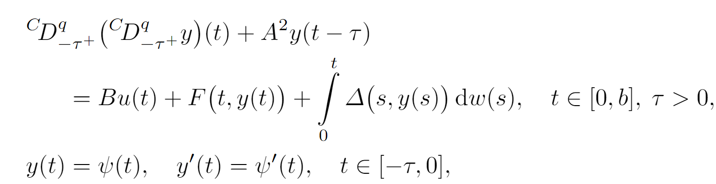
In the above literature, representation of the solution and controllability results are established only for integer-order systems. However, in [26] the representation of solution for the Cauchy problem (1) is presented, but it is necessary to analyze the relatively exact controllability of nonlinear stochastic systems with pure delay. In this paper, we extend the representation of the solution introduced in [26] for fractional linear systems to nonlinear stochastic systems and present relatively exact controllability results for the following stochastic systems
(3)where
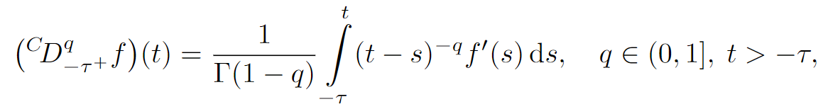
denotes the Caputo fractional derivative of order
with lower limit
is a state vector, and u(t)
m is a control vector. Let
be given. Here
are assumed to be nonsingular matrices. The nonlinear functions
are continuous The initial function
and w is a d-dimensional Wiener process. One can model many systems via our considered equations such as heat transfer, viscoelasticity, electrical circuit, electro-chemistry, dynamics, economics, polymer physics and control etc .
In this paper, we propose relative exact controllability of fractional stochastic delay systems. We establish necessary and sufficient conditions for linear stochastic systems using controllability Grammian matrices and linear operators, which are defined by delayed fractional cosine and sine matrices, and the minimum energy control problem. We present sufficient conditions for nonlinear fractional stochastic delay systems using the Banach contraction principle. We present an example to illustrate our results. In particular the fractional linear system (1) is extended to study the relative exact controllability for the stochastic nonlinear system (3). Also, we give a solution representation for the inhomogeneous stochastic system, and we define the delayed Grammian matrix using fractional delayed sine and cosine matrices.
Throughout this paper,
is a complete probability space with probability measure P on Ω with a filtration
generated by the d-dimensional Wiener process
satisfying the usual conditions (i.e., right-continuous and F0 containing all P-null sets).
is the Hilbert space of all
-measurable square integrable random variables with values in
is the Hilbert space of all square integrable and
-measurable processes with values in R n. Furthermore, let
be the Banach space of continuous function y from


and let the matrix (colum sum)

Also, we let
, and we set
denote the space of all linear transformation and the set of all admissible controls, respectively.
Definition 1. (See [14].) For a function
the Caputo fractional derivative is

where f 0 (t) = df/dt
Definition 2. (See [14].) The Mittag-Leffler function is given by

In particular, for p = 1,

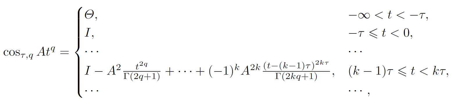
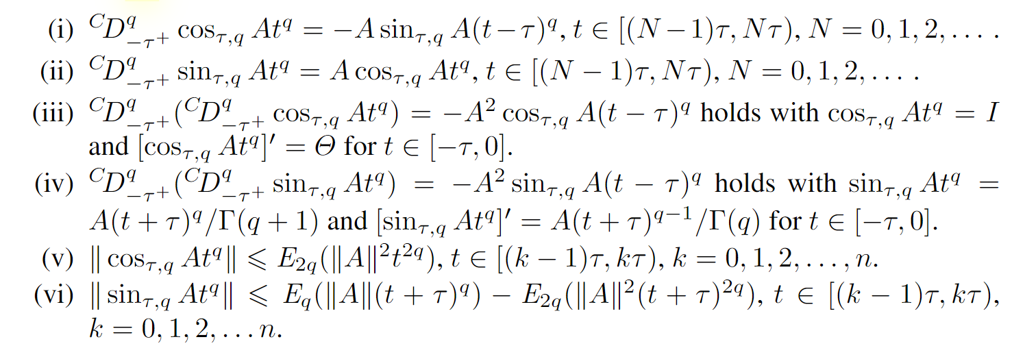
Definition 3. (See [26].) The fractional delayed cosine matrix of a polynomial of degree 2kq on the intervals
identified at the nodes t = kτ , k = 0, 1,...,is defined

Where Θ denotes the zero matrix, and I denotes the identity matri
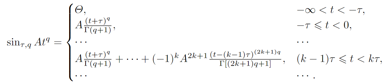
Definition 4.(See [26].) The fractional delayed sine matrix of a polynomial of degree(2k+ 1)qon the intervals
identified at the nodes
0,1,...,is defined as

The linear bounded operato
is defined as

and its adjoint

is define by

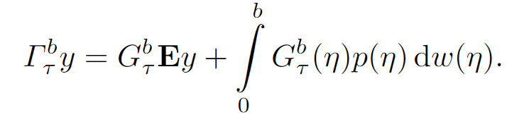
Consider the linear controllability operator
:
(4)and the controllability Grammian matrix
defined by
(5)
Definition 5. The set
is said to be the complete state of system (3) at time t.
Definition 6. The stochastic system (3) is said to be relatively controllable on [0, b] if, for every complete state x(0) and every y1 ∈
, there exists a control u(t) defined on [0, b] such that the corresponding trajectory of the stochastic system (3) satisfies the conditions
at time b and 
Definition 7. (See [19].) System (3) is said to be relatively exactly controllable on [0, b] if

where 
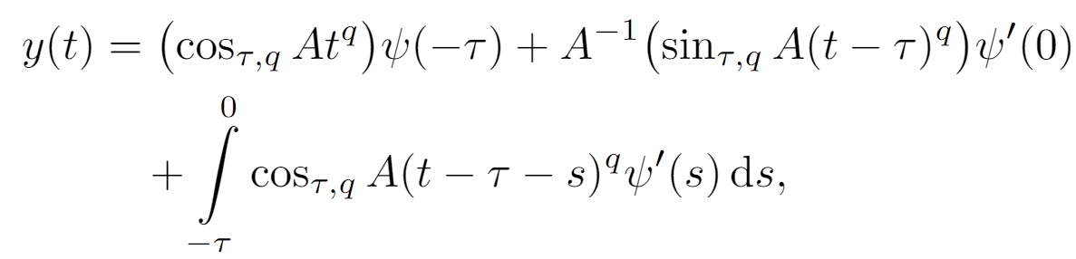
Lemma 1. Let the matrix A be a nonsingular matrix. A solution of the following inhomogeneous linear fractional system
(6)with zero initial condition has the following form:

Proof. Consider (the variation of parameters method

where
is an unknown function. Taking Caputo fractional derivatives
on both sides and applying the properties and derivative rules of fractional delayed cos and sin matrices, we obtain

Put the above expression into (6), and we ge

since 
Consider the corresponding linear stochastic control system of (3)
(7)where
, the corresponding linear deterministic control system of (7)
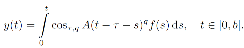
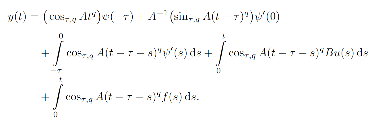
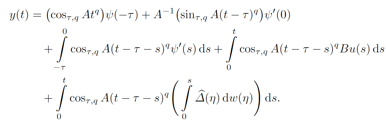
(8)Using [26] and Lemma 1, the solution of (8) is

Definition 8. (See [19].) System (8) is said to be relatively exactly controllable on [0, b] if and only if
, where Rb be the set of all reachable states from the initial state y(0) =y0 in time b > 0 using admissible control
Lemma 2. (See [19].) The following conditions are equivalent: (i) System (8) is relatively controllable on [0, b].
(i) System (8) is relatively controllable on [0, b].
(ii) The controllability Grammian matrix (5) is nonsingul
Theorem 1. (See [19].) The following conditions are equivalent:
(i) System (8) is relatively controllable on [0, b].
(ii) System (7) is relatively exactly controllable on [0, b}
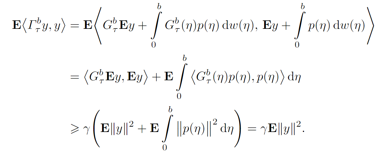
Proof. From [19] note that system (8) is relatively controllable on [0, b]. Then it is well known from Lemma 2 that the Grammian matrix (5) is nonsingular and strictly positive for all η ∈ [0, b]. Hence, for some γ > 0, we hav

Next, to prove the relative exact controllability of (7), we use the relation between equations (4) and (5). That is, for every
, there exists a process
such that

To write 

Hence,
is strictly positive definite, and consequently,
is bounded. Using the fact that
is bounded, we can define the control

that transfers system (7) from y0 to the final state y1 at time b, and
The rest proof is similar to [25], so is omitte
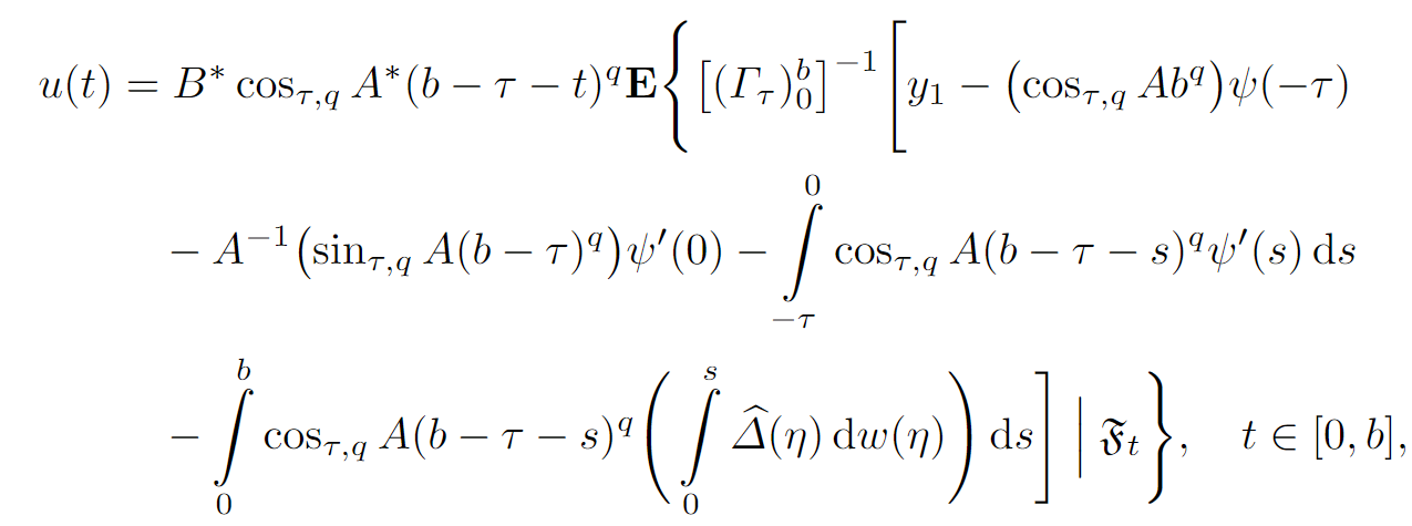
Lemma 3. Assume that system (7) is relatively exactly controllable on [0, b]. Then, for arbitrary terminal
and an arbitrary matrix
, the admissible control function
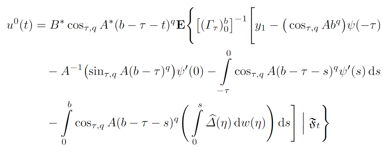
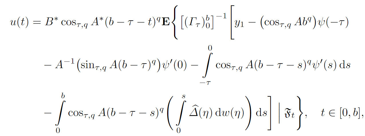
(9)
defined for t ∈ [0, b] steers system (7) from y0 to y1 at b. Moreover, among all admissible controls ua (t) steering from y0 to y1 at b, the control u0 (t) minimizes the following performance index: J (u) =
Proof. Since system (7) is relatively exactly controllable on [0, b], the operator (Γτ ) b 0 is invertible, and its inverse is
The solution of (7) is
(10)Directly substituting (9) into (10) at time b and applying the controllability operator, one can easily verify that
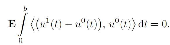
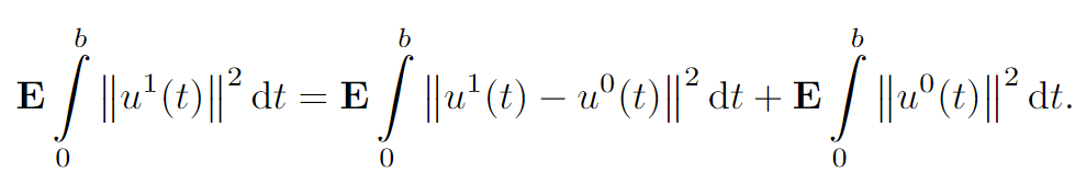
. In the second part, we shall show that
[0, b], is a optimal control for J . For that, suppose
is any other admissible control that also steers from y0 to y1 at time b and
Hence, by system (7) it is relatively exactly controllable on [0, b]. Using the controllability operator Lb, we have
=
Using the basic properties of scalar product in
, we have

Again, by using basic properties of scalar product, we obtain

Since
we conclude that, for any admissible control 

Hence, the control,
is a optimal control for J , and thus it is a minimum energy control
In this subsection, we derive sufficient conditions of relatively exact controllability for system (3)
Consider the following assumptions
(H1) 
(i) 
(ii) 
H2 
(i) 
(ii)
H3

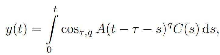
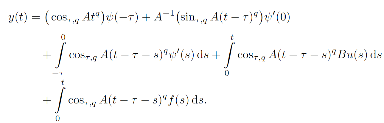
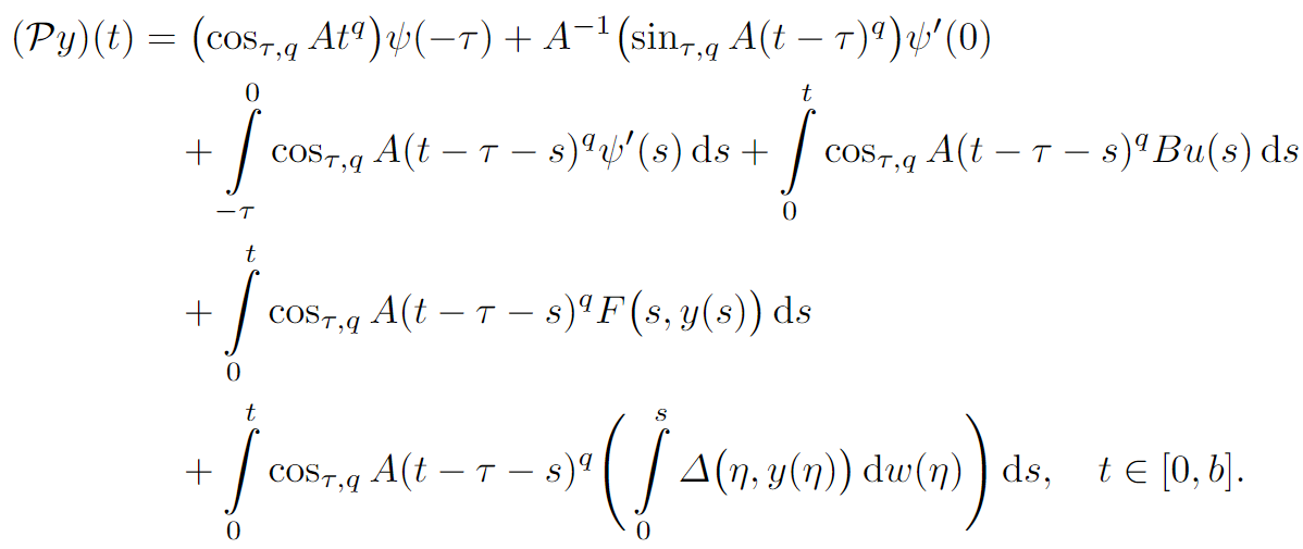
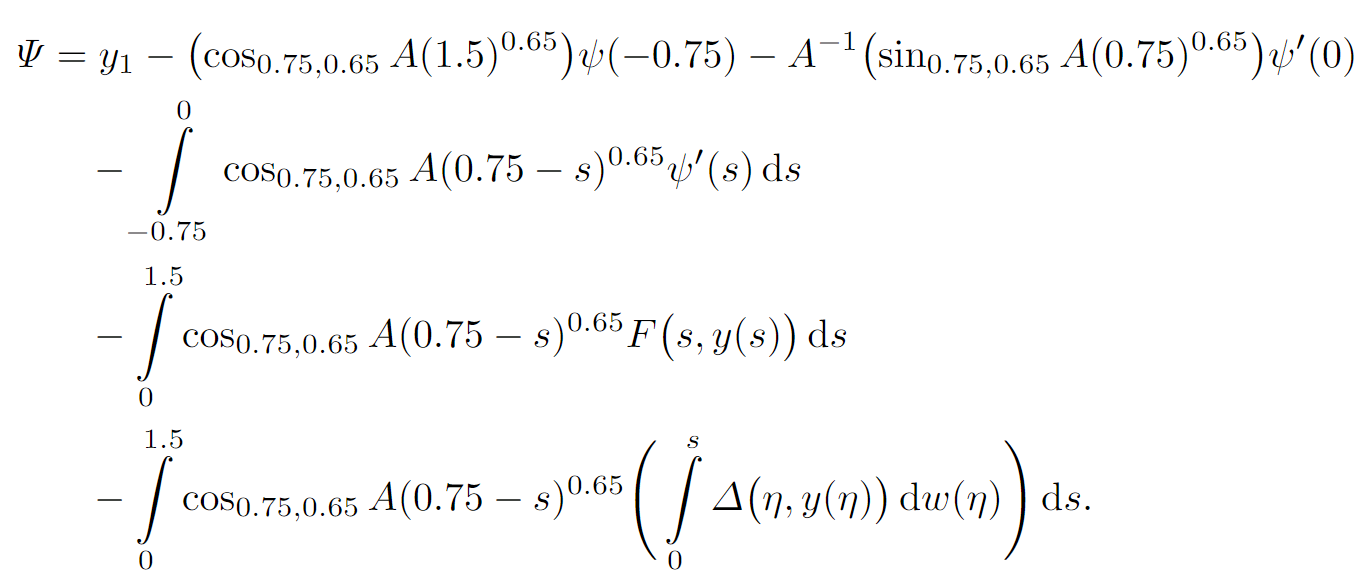
The solution of (3) can be expressed in the following form:
(11)
(12)In order to establish sufficient conditions for relatively exact controllability, WE LET

be a Banach space endowed with norm
, and define the nonlinear operator

By substituting (12) into (11), it is easy to check that y(b) = y1, so the control u(t) steers y0to y1 at time b. From Lemma 3 we see that if P has a fixed point, then system (3) has a solution y(t) with respect to the corresponding control function u(·), and also one can easily show that (Py)(b) = y(b) = y1, and y(t) = ψ(t) and y0 (t) = ψ(t), t ∈ [−τ, 0], which means that system (3) is relatively exact controllable on [0, b]. We have transformed the relatively exact controllability of system (3) into the existence of a unique fixed point for P.
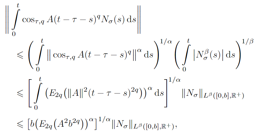
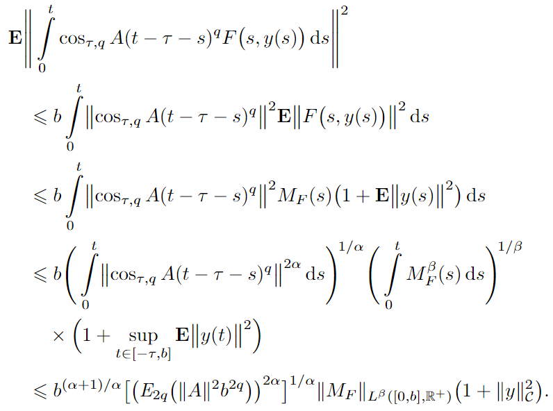
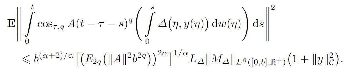
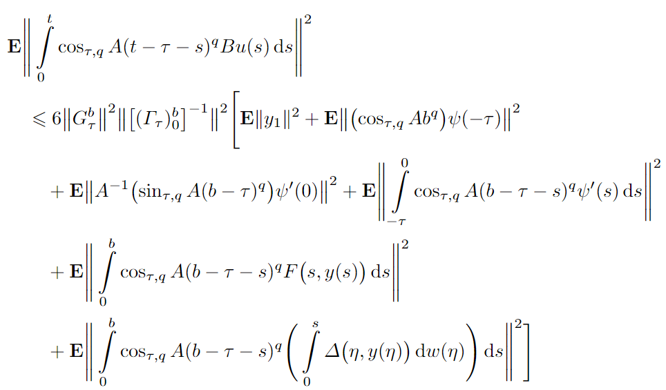
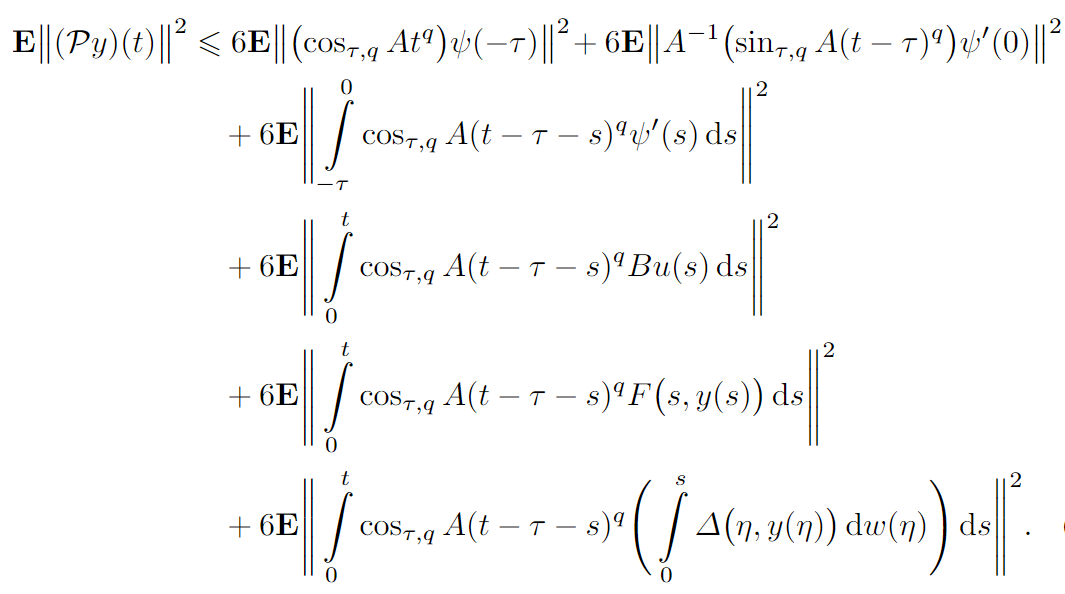
Lemma 4.Assume that hypothesis (H1) and (H2) hold. Then P maps B into itself
Proof. Let y ∈ B and t ∈ [0, b]. From the fact that

and Hölder’s inequality we have

where 1/α + 1/β = 1, α, β > 1.
Using (H2), we have
(13)Note

Similar to the above computation, one has

Finally


Substitute the above inequalities in (13), and one can chose a C >0 sunch that


Lemma 5.Assume that hypothesis (h1) and (H3) hold. Then P is a contraction mapping
Proof.


This implies that
. Hence, from (H3), P is a contraction on B, and so P has a unique fixed point y(·) ∈ B, which is the solution of (3)
Theorem 2.Suppose that hypotheses (H1)–(H3) hold and system (7) is relatively exactly controllable. Then (3) is relatively exactly on [0, b]
Proof. From Lemmas 3–5 system (3) is relatively exactly controllable[0, b].
Remark 1. In this manuscript, we investigate the relative controllability of the fractional stochastic system with pure delay. System (6) was transformed into (11) via delayed sine and cosine matrices. Suitable control function were defined by delayed controllability Grammian matrices. A set of sufficient conditions of relative exact controllability for linear and nonlinear stochastic systems are derived by using fractional delayed linear operators and Banach’s fixed point theorem, respectively
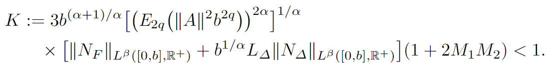
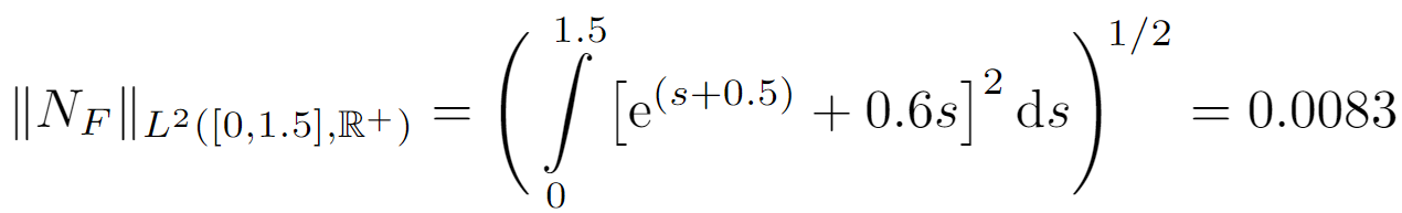
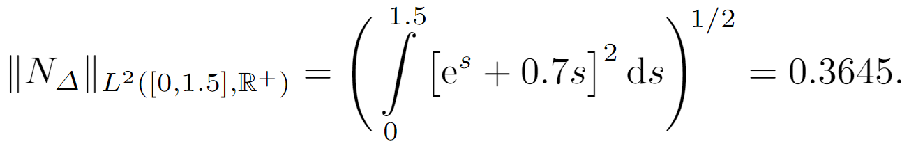
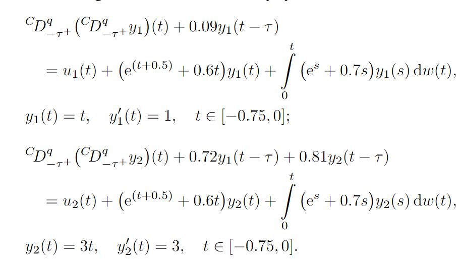
Consider the following nonlinear stochastic delay system
(14)The above equation can be rewritten in the form (3) with q = 0.65, τ = 0.75,

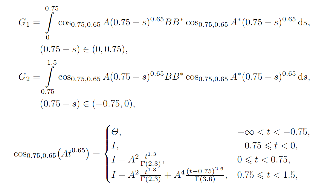
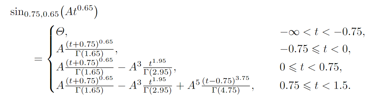
The corresponding delay Grammian matrix of system (14) is

Where

and

By simple computations we obtain the delay Grammian matrix

and

Moreover, we have

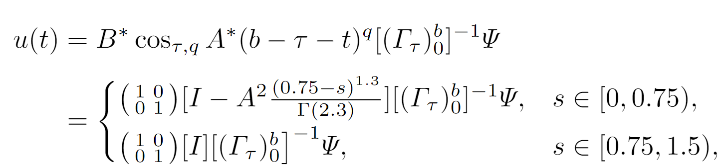
where 0 < γ 6 0.1175, and hence M1 = 8.5106 and M2 = 1.8370, which implies that the corresponding linear stochastic system of (14) is relatively exact controllable on [0, 1.5]. Moreover, one can define a control function for system (14) as

where

Further,



And

Choosing

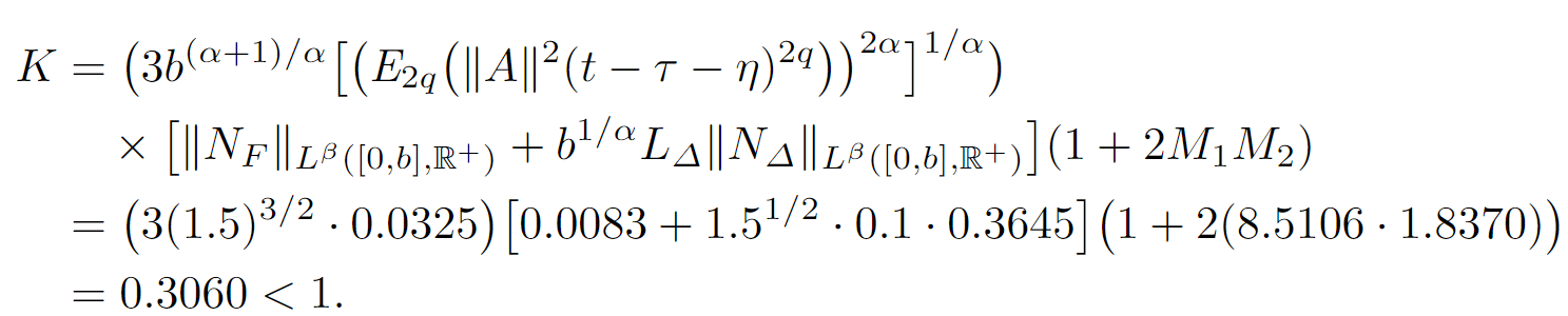
From above (H1) and (H2) hold. Now we check hypothesis (H3). Note

Thus, all the hypotheses of Theorem 2 are satisfied. Hence, system (14) is relatively exact controllable on [0,5]
The aim of this paper is to provide the representation of the solution for the inhomogeneous fractional-order system via sine and cosine matrices and to obtain some results on relatively exact controllability for fractional stochastic systems with pure delay. Using fixed point theory and the fractional delayed controllability Grammian matrix, sufficient conditions are established for the system to be relatively exact controllable. An example is provided to illustrate our theory. By making some appropriate assumptions on system functions, by adapting the techniques and ideas established in this paper with suitable modifications, one can easily discuss the relative controllability of a stochastic system with noninstantaneous impulses and nonlocal conditions

The authors are grateful to the referees for their careful reading of the manuscript and their valuable comments. We thank the editor also
