Abstract: In this paper, the fast synchronization problem of 5D Hindmarsh–Rose neuron networks is studied. Firstly, the global predefined-time stability of a class of nonlinear dynamical systems is investigated under the complete beta function. Then an active controller via backstepping design is proposed to achieve predefined-time synchronization of two 5D Hindmarsh–Rose neuron networks in which the synchronization time of each state variable of the master-slave 5D Hindmarsh–Rose neuron networks is different and can be defined in advance, respectively. To show the applicability of the obtained theoretical results, the designed predefined-time backstepping controller is applied to secure communication to realize asynchronous communication of multiple different messages. Three numerical simulations are provided to validate the theoretical results.
Keywords: 5D Hindmarsh–Rose neuron networks, predefined-time stability, complete beta function, secure communication.
Articles
Predefined-time synchronization of 5D Hindmarsh–Rose neuron networks via backstepping design and application in secure communication

Recepción: 13 Mayo 2021
Publicación: 13 Abril 2022
The fast synchronization problem of nonlinear systems has attracted much attention in recent years [1, 2, 4, 32, 33], e.g., finite-time synchronization problem for two nonlinear systems. The primary purpose of finite-time synchronization is to design an appropri- ate controller to achieve the master-slave systems coupled within a finite time interval [3]. Ahmad et al. [4] proposed an active controller to realize finite-time multi-switching synchronization of chaotic systems. The initial condition of the nonlinear systems will affect the settling time of finite-time synchronization. If the initial condition of the sys- tems is unknown, the settling time of finite-time synchronization cannot be obtained in advance. To solve the above problem, fixed-time stability was proposed by [25] and applied to fixed-time synchronization. Different from finite-time synchronization, fixed- time synchronization has a definite synchronization settling time [8,14–16]. Hu et al. [12] proposed a fixed-time stability theorem. The proposed approach shows better performance than [25]. Kong et al. [16] investigated the fixed-time synchronization of discontinuous fuzzy inertial neural networks with parameter uncertainties. Then Kong et al. [14] fur- ther investigated the fixed-time synchronization of discontinuous fuzzy inertial neural networks with time varying delays. Chen et al. [7] reconstructed the Lyapunov function and reproved the fixed-time stability theorem through inequalities, and its settling time was further improved. Lin et al. [19] proposed a new fixed-time stability theorem and proved that the settling time is more accurate estimation by segmenting the Lyapunov function. Many studies on the settling time estimation are based on inequality theories. How to improve the accuracy of the settling time estimation of fixed-time stability is still a direction for further research.
In practical applications, such as secure communications or multiple agents control systems, it is hoped that in the controller design stage, the least upper bound of the settling time can be set as a tuning parameter of the system. Fixed-time stability is difficult to establish a direct relationship between the upper bound of the settling time and the parameters of nonlinear system. In order to solve the above-mentioned difficulties, a new kind of time stability, named predefined-time stability, was introduced in [27]. The research on predefined-time stability is still in the initial stage [13, 22, 26]. Muoz-Vázquez et al. [24] proposed an active predefined-time controller to achieve synchronization between two coupled Lorenz systems and applied to secure communication. To enable fully exact tracking of actuated mechanical systems, an predefined-time controller was proposed to second-order systems in [23]. Predefined-time stability theorems can realize that all variables of the nonlinear system are stable within a predefined time. In secure communication, different messages are of different importance, and the transmission sequence is also different. Therefore, it is very necessary to design an active control algorithm to achieve different settling time for different variables, so as to achieve asynchronous time synchronization of multiple messages communications.
In data encryption and secure communication, there are three very important factors:
(i) complexity of the dynamical nonlinear system; (ii) short transmission response time; fast synchronization. These factors can increase the difficulty of hackers to crack. The one-dimensional chaotic system has simple model, easy circuit implementation, and relatively simple synchronization, but its output only has one state, which is not conducive to confidentiality. Therefore, chaotic systems with relatively high dimension are generally considered in secure communication. The 2D Hindmarsh–Rose (HR) chaotic system has attracted much attention because of its fast computational speed [10], which is more than ten times faster than the Hodgkin and Huxley model [11], and complex dynam- ical behaviors, such as bursting and chaos, observed in real biological neurons. Many researches have been conducted on the HR neural chaotic systems [21, 28, 29, 31], and the HR neural chaotic systems have been extended to 3D HR neural chaotic systems [28], 4D HR neural chaotic systems [21], and even 5D HR neuron networks (5D HRNNs) [31]. The rich dynamical behaviors, including a chaotic super-bursting regime, of the 5D HRNN was shown in [31], and the synchronization of two coupled 5D HR neuron networks was realized. Therefore, the 5D HRNN is particularly suitable for the field of secure communication. At present, the research on the synchronization of the HR neuron network mainly focuses on asymptotically stable [5,20,30], the research on the fixed-time synchronization of the HRNNs has not been seen yet. Inspired by the above discussions, predefined-time synchronization of two 5D HRNNs via backstepping design is proposed in this paper. The main contribution are the following:
To solve the problem of inaccurate estimation of the settling time, this paper introduces complete beta function to achieve accurate settling time estimation of the predefined-time stability.
An active controller via backstepping design is proposed to achieve the predefined- time synchronization of master-slave 5D HRNNs in which the synchronization time of each state variable of the master-slave 5D HRNNs is different and can be defined in advance, respectively. The designed controller is applied to secure communication to realize asynchronous communication of multiple messages.
(i) To solve the problem of inaccurate estimation of the settling time, this paper introduces complete beta function to achieve accurate settling time estimation of the predefined-time stability.
(ii) An active controller via backstepping design is proposed to achieve the predefined- time synchronization of master-slave 5D HRNNs in which the synchronization time of each state variable of the master-slave 5D HRNNs is different and can be defined in advance, respectively. The designed controller is applied to secure communication to realize asynchronous communication of multiple messages.
The remainder of this paper is structured as follows. Some preliminaries are included in Section 2. In Section 3, a new predefined-time stability of a class of nonlinear systems is investigated under the complete beta function. With the help of predefined-time stability, the predefined-time synchronization of master-slave 5D HRNNs via backstepping design is investigated in Section 4. Then the designed predefined-time backstepping controller is applied to secure communication in Section 5. The conclusion is given in Section 6.
Consider a nonlinear system described by the following [18]:

where
is the state vector of system (1).
is the initial condition.
with
is the parameters
is a nonlinear function
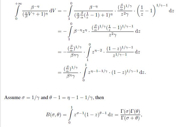
the process of deriving fixed-time stability, the complete beta function and complete gamma function will play a key role. The definition of these functions will be provided the following.
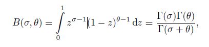
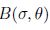
Definition 1. (See [9].) Let
. The complete beta function, denoted by B(σ, θ), is defined by the Euler integral and the complete gamma function through

where
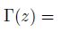
is the complete gamma function, which is defined by the Euler integral

The complete beta function is mainly used in statistics, but it is also used in other fields, e.g., actuarial science, economics or telecommunications. In this paper, we apply it to fixed-time stability.
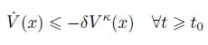
Definition 2. (See [25].) The origin of system (1) is globally fixed-time stable if it is globally finite-time stable and the settling time is bounded, i.e., there exists
such that, for all 
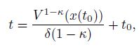
Definition 3. (See [19].) The origin of system (1) is said to be predefined-time stable if it is globally fixed-time stable and the settling time)
is

where
is a tuning constant parameter and called a predefined time.
Lemma 1. (See [6].) For system (1), let there exist a continuous radially unbounded and positive definite function
and
such that
and
where
is the any initial time;
is the any initial value. Then the relationship between time t and
is described as

and system (1) is finite-time stable
Lemma 2. (See [12].) For system (1), let there exist a continuous radially unbounded and positive definite function
satisfying γη > 1 such that

Then system (1) can converge to the zero in the settling time
is described

Lemma 3. (See [24].) For system (1), let there exist a continuous radially unbounded and positive definite function
such that

Then system (1) is globally predefined-time stable, and the predefined time is
Lemma 4. (See [17].) If conditions satisfy
then

The goal of this section is to propose a new fixed-time stability proof method for system (1). By making some modification of the fixed-time system, a new predefined-time stability theorem is proposed.
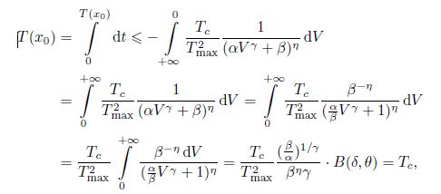
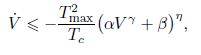
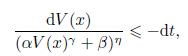
Theorem 1. For system (1), if there exist a continuous radially unbounded and positive definite function
and
α, satisfying
such that

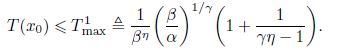
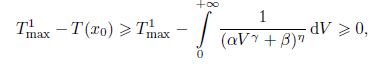
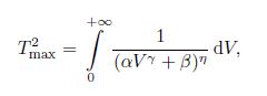
then system (1) is globally fixed-time stable with the settling time

where
is the complete beta function.
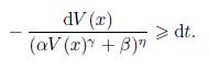
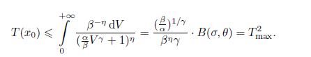
Proof. Since
, then

Since
, there exists a constant
such that limt
and
for all
. It follows thatdV (x) ≤ −dt, then
then
We have

Let
then z goes to 1 when and to 0 then 

and

Thus formula (4) can be written as

and
, then

and formula (4) can be written as
(5)By Definition 2, systems (1) is fixed-time stable, and the settling time
is bounded Importar imagen for any, which completes the proof
Remark 1. Obviously, Theorem 1 provides a new proof process of fixed-time stability. Although Lyapunov function (3) is the same as that in [12] and [19], different settling time is obtained in Theorem 1. In the proof of Theorem 1, complete beta function is applied for the first time to realize the accurate settling time estimation, and a small upper bound of the settling time is obtained, closer to the real value.
Theorem 2.The settling time
in Theorem 1 is more accurate than the settling time
in Lemma
Proof. From the derivation process of Lemma 2 in [12] we have

and from formula (5) we have

then

That means the settling time
is closer to the real convergence time than
. This proof is completed.
Next, using the results obtained in Theorem 1, a new predefined-time stability isderived for a Lyapunov like condition.
Theorem 3. For system (1), let there exists a continuous radially unbounded and positive definite function
such that any solution
of system (1) satisfies
(6)where
and
are given in Theorem 1. Then system (1) isglobally predefined-time stable, and the strong predefined time is
.
Proof. According to the supposing of Theorem 3, one has that

where
is a tunable parameter of system (1). Consequently, system (1) is predefined- time stable, and the predefined time is
.
Remark 2. Compared with Lemma 1, Lyapunove function (6) in Theorem 3 has one more constant
and one more adjustable parameter
, which turn the asymptotically stability of Lemma 1 into predefined-time stability of Theorem 3.
Remark 3.
is related to
and
. If
is to be adjusted, complicatedcalculation is needed. Compared with Theorem 1, Lyapunov function (6) in Theorem3 has one more adjustable parameter
. The complex relationship between the systemparameters and the settling time is transformed into an one-to-one correspondence betweenthe settling time and the parameter
. By tuning
, system (1) can be stabilized atdifferent predefined time, which is simpler and more effective than the fixed-time stability.
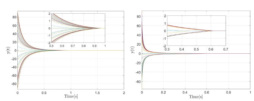
Example 1. Consider the following system:

where
is a state variable, and the constants
and
satisfy therequirements of Theorem 1. Hence, system (7) is fixed-time stability by Theorem 1. Inorder to verify the validity of the Theorem 1, several sets of different parameters aresimulated for system (7). The simulation results are given in Fig. 1 in which two sets ofdifferent parameters are chosen:
By computation
, under the first set of parameters, and
under the second set ofparameters, which shows that the estimation of the settling time in Theorem 1 are moreaccurate compared with Lemma 2 and proves Theorem 2. Consider the following system:

where
with According to Theorem 3, system (8)is predefined-time stable. In Fig. 2, system (8) converges to zero before a predefinedtime
for several different initial conditions, which is explicitly defined in advance; thesimulation results are shown in Fig. 2(a) with = 0:8 s and Fig. 2(b) with = 0:2 s.Consider the following system:
(8)According to Lemma 1, system (9) is finite-time stable. Figure 3 shows the comparativeresults of systems (8) and (9). From Fig. 3(a) the convergence time of systems (8)and (9) changes with different initial conditions. When the initial value is y(0) = 80, theconvergence time of system (9) is 12 s, which exceeds the predefined time
= 10 s.The convergence time of system (8) is less than
= 10 s under any initial condition.Compared with system (9), the convergence time of system (8) can be estimated inadvance without initial condition known. If the initial conditions are known, by settingdifferent parameters, the convergence time of system (9) can be estimated in advance. Thesimulation results are shown in Fig. 3(b) in which the parameters are chosen:
with
with
with
.From Fig. 3(b) system (9) can achieve more accurate settling time estimation if the initialconditions are known. Consider the following system:
[10]According to Lemma 3, system (10) is predefined-time stabile. Figure 4 shows the comparative results of systems (8) and (10) with disturbance occurring. It can be seen from Fig. 4 that Theorem 3 can effectively suppress disturbance and has better robustness than Lemma 3.






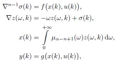
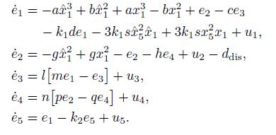
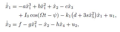
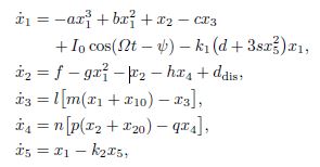
In this section, we will apply the theorems obtained in Section 3 and apply them to thepredefined-time synchronization of master-slave 5D HRNNs via backstepping design.The 5D HRNN is described by
(11)where
is the membrane potential variable
, is the recovery current variable,which also is called spiking variable associated with fast ions,
, is the adaptation variable associated with slow ions,
is an even slower process.
is themagnetic flux across the neuron’s cell membrane.
is the amplitude of a harmonicstimulus with frequency and phase
. are the constantparameters. In neuron activity, the parameters
play a very important role; l is the ratio of time scales between fast and slow fluxes across the neuron’s membrane. n controls the speed change of a slower dynamical process , in particular, the calciumexchange between intracellular warehouse and the cytoplasm [21].j
< D is thedisturbance.Let (11)
Let (11) be the master 5D HRNN, and the slave 5D HRNN is given by
(121
(12)2i = 1; 2; : : : ; 5, where
represents the membrane potential variable; ui is an activecontroller to be designed to achieve the predefined-time synchronization of master-slave5D HRNNs.
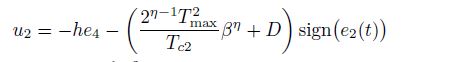
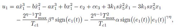
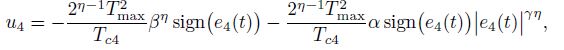
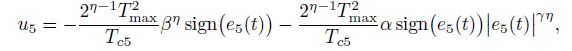
Theorem 4. Suppose that Theorem 3 holds. The slave 5D HRNN (12) can achieve predefined-time synchronization with the master 5D HRNN (11) via the following controllaw:
[13]

[14]
[15]
[16]
[17]i = 1; 2; : : : ; 5, where
represents the predefined synchronization time of each statevariable. Then the master-slave 5D HRNNs can realize predefined-time synchronization,and the predefined time is given as

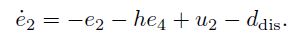
Proof. Define the following error system of master-slave 5D HRNNs (11) and (12):
, where
Then we have
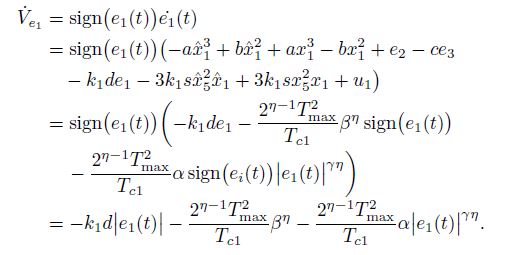
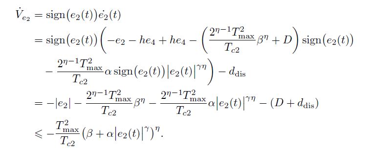
(18)Firstly, we consider the predefined-time synchronization between
and
converges to zero in predefined-time
. Considering the candidate Lyapunov function
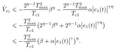
, then the derivative of the candidate Lyapunov function is

By Lemma 4, one can obtain that

Thus, in accordance to Theorem 3, the variable
and
can achieve predefined-timesynchronization under the controller (13) and the predefined-time is
. Then if we plug
into the fifth formula of error system (18), we have

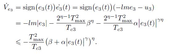
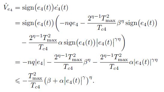
Then we are going to implement the predefined-time synchronization between
and 
converges to zero in predefined-time
Considering the candidate Lyapunov function
then

Thus, in accordance to Theorem 3, the variables
and
can achieve predefined-timesynchronization under the controller (17), and the predefined-time is
Similarly, we have

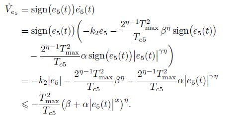
Considering the candidate Lyapunov function 

In accordance to Theorem 3, the same result can be obtained, i.e., the variables
and
can achieve predefined-time synchronization under the controller (15), and the predefinedtimeis . Similarly, we have

The Lyapunov function is designed as 

Thus, in accordance to Theorem 3, the variables
and
can achieve predefined-timesynchronization under the controller (14), and the predefined-time is
. Then we pluge into the forth formula of error system (18), and we have

The Lyapunov function is designed as
, then

Thus, in accordance to Theorem 3, the variables
and
can achieve predefined-time synchronization under the controller (16), and the predefined-time is Tc4
. Then the fivestate variables of the 5D HRNNs all achieve predefined-time synchronization, and thesynchronization time of each variable is different, i.e., the predefined synchronization time of is
^x5 isTc1 + Tc5.
Thus, the synchronization time of the master-slave 5D HRNNs is

This proof is completed.
Remark 4. By designing the controller of each state variable of the system via backstepping,the design process can be made more simpler and convenient. We can also realizethe synchronization of some of state variables of the system according to the needs ofactual applications by designing the controller via backstepping.
Remark 5. State variables of the system can realize synchronization at different predefinedtime, which increases the complexity of the system. In this way, importantmessage can be transmitted first in secure communication and different messages hasits own synchronous transmission time, which increases the complexity of transmissionand improves the security communication.
Example 2. Figures 5(a)–5(c) show the chaotic behaviors of the 5D HR neuron network(11) in a super-bursting regime projected onto the 3D subspaces of the 5D phasespace:
space,
space
,space, respectively. The constantparameters have standard values:

.
By simple computation, α = 1.2, β = 1.4, γ = 5/6, η = 2.7 , Tc1 = 0.2, Tc2 = 0.2, Tc3 = 0.4, Tc4 = 0.4, and Tc5 = 0.8, then the conditions of Theorem 3 hold. Parameter q = 0.17, then the conditions of Lemma 3 hold. The master-slave 5D HRNNs are step-by-step predefined-time synchronization. For different state variables, the predefined synchronization time is different. Among them, the predefined synchronization time of 
[Figure 5. Chaotic behaviors of the 5D HRNN.]
[Figure 9. Decrypted messages mo1 and mo2. Figure 10. Synchronization errors em1 and em2.]






is 
and
The simulation results are shown in Fig.
Fig
Fig
Fig
Fig 68(e)
As can be seen from Fig. 6(b), Theorem has better robustness than Lemma 3 and can effectively suppress disturbance.
This section proposes a secure communication algorithm based on the predefined-time synchronization of 5D HRNNs.
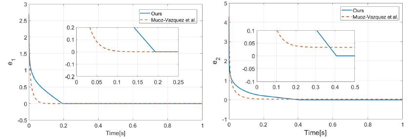
Example 3. By using plaintext signal, sender generates the following signals:

where r1(t) and r2(t) denote random signals. Sender calculates the encrypted signal

Figures 7 and 8 illustrate the state trajectories of
. The initialconditions of 5D HRNNs (11) and (12),
can be knownonly to the sender.
Receiver receives the secret keys a, b, c, d, f, g, h, l, n, p, q and the encryptedsignals
Then receiver generates the slave 5D HRNN (12). Receiver choosesthe controller (13), (14), (15), (16), and (17);
2:7. According to Theorem 3, the state variables
of master-slave5D HRNNs can realize their own predefined-time synchronization, and their predefinedsynchronization time is
, respectively. Figures 9 and 10 illustrate thereceiver decrypted the encrypted messages by calculating
and the message error
. As can be seen from Fig. 10, message m1 achieved accuratetrans mission within
, and message m2 achieved accurate transmission within 
. In this way, different messages has its own synchronous transmissiontime, and the receiver can get accurate message after the predefined time, which increasesthe complexity of transmission and improves the security communication.




the predefined-time synchronization of 5D HRNNs in which the synchronization time of each state variable of the master-slave 5D HRNNs is different and can be defined in advance. To show the applicability of the theoretical results obtained, the designed predefined-time controller has been applied to secure communication to realize asynchronous communication of multiple messages. In the future research work, we will continue to study the predefined- time secure communication under the influence of disturbances and apply it to other fields, such as discrete-time Boolean control networks, fuzzy sets, and fractional order neural networks.
The author thanks the anonymous reviewers for their insightful sug gestions, which improved this work significantly