Recepción: 02 Noviembre 2022
Aprobación: 21 Febrero 2023
DOI: https://doi.org/10.18845/tm.v36i3.6429
Resumen: Las isotermas de adsorción se han utilizado para evaluar disponibilidad de nutrientes en suelo. Los suelos de la Región Pampeana se han considerado bien dotados de bases, aunque hay evidencias sobre su disminución causada por actividades agropecuarias sin reposición de nutrientes como calcio (Ca). El objetivo fue ajustar isotermas de adsorción y ecuaciones de dosificación de Ca en suelos agroproductivos de Buenos Aires. Se pesaron suelos de Bellocq, Inchausti y Belgrano y se agregaron soluciones con diferentes concentraciones de Ca. Se determinó la concentración en el equilibrio luego de su estabilización y se ajustaron los resultados según las isotermas de Langmuir, Freundlich, Van Huay y Temkin y ecuaciones de dosificación. La isoterma de Van Huay logró predecir con elevados grados de ajuste en los tres sitios (R2>0,98) y solamente la ecuación de Freundlich se ajustó a Bellocq. Las ecuaciones de dosificación se ajustaron en todos los suelos, en un primer segmento con ecuaciones cuadráticas y en un segundo segmento con ecuaciones lineales. El suelo de Belgrano se diferenció de los restantes sitios en los parámetros de la ecuación de Van Huay, sugiriendo una mayor afinidad con los coloides y mayor reserva del nutriente en el corto plazo, asociado a su mayor contenido de CO, CIC y P. Los resultados encontrados pudieron ser comparado con estudios realizados en K y/o en suelos tropicales. Estos estudios sugieren la posibilidad de utilizar las isotermas de adsorción y ecuaciones de dosificación como herramientas para la toma de decisiones en fertilización en suelos de Buenos Aires.
Palabras clave: Isotermas, nutrientes, bases.
Abstract: Adsorption isotherms have been used to evaluate nutrients in soil. The soils of the Argentinean Pampas have been considered well-endowed with bases, although there is evidence of their decrease caused by agricultural activities without replacement of nutrients such as calcium (Ca). The objective was to adjust adsorption isotherms and dosage equations of Ca in agroproductive soils of Buenos Aires. Bellocq, Inchausti and Belgrano soils were weighed and solutions with different Ca concentrations were added. The equilibrium concentration was determined after stabilization and the results were adjusted according to the Langmuir, Freundlich, Van Huay and Temkin isotherms and equations of dosage. The Van Huay isotherm was able to predict with high degrees of adjustment in the three sites (R2>0.98) and only the Freundlich equation was adjusted to Bellocq. The dosage equations were adjusted in all the soils, in a first segment with quadratic equations and in a second segment with linear equations. The Belgrano soil differed from the other sites in the parameters of the Van Huay equation, suggesting a greater affinity with the colloids and a greater reserve of the nutrient in the short term, associated with its higher content of CO, CEC and possibly, P. The results found could be compared with studies carried out in K and/or in tropical soils. These studies suggest the possibility of using adsorption isotherms and dosage equations as tools for decision-making in fertilization in soils of Buenos Aires.
Keywords: Isotherms, nutrients, bases.
Introducción
Las isotermas de adsorción se definen como una relación que describe el fenómeno que rige la movilidad de una sustancia de un medio acuoso poroso, incluyendo retención y liberación, hacia una fase sólida a temperatura y pH constante [1]. La adsorción en suelo afecta la disponibilidad de nutrientes y, en consecuencia, se han utilizado como herramientas para evaluar la dinámica de micronutrientes y macronutrientes, como potasio (K) y fósforo (P), en sitios considerados deficientes [2], [3].
Las isotermas de Langmuir, Freundlich, Tempking y Van Huay son las más utilizadas, y son consideradas el método más preciso para evaluar las cantidades necesarias de nutriente a agregar para un crecimiento óptimo de cultivos [5]. El tipo de isoterma de ajuste, así como la magnitud de los parámetros que la componen, permiten conocer la dinámica de los nutrientes en sus diferentes formas edáficas y su relación con las propiedades del suelo, entre ellas mineralogía, tipo de arcillas, superficie específica y densidad de cargas de partículas, entre otras [4], [6]–[8]. Los principales procesos que pueden desprenderse del análisis de isotermas son la adsorción-desorción del nutriente, la precipitación y la generación de clústeres. Los procesos mencionados dependerán del nutriente que se estudie, de su concentración en suelo y de la interacción compleja que pueda surgir con otros nutrientes y los coloides, ocasionando que el ajuste con isotermas sea dificultoso [4], [9], [10]. Algunos autores mencionan que la isoterma de Freundlich posee la capacidad de explicar de una forma mejor el comportamiento de nutrientes en sitios experimentales por asumir ilimitados sitios de adsorción, quienes podrían deberse a la heterogeneidad de los coloides del suelo [10], [11].
El Ca en suelo se encuentra formando parte de minerales primarios (feldespatos, anfiboles), precipitado (carbonatos, fosfatos, sulfatos), en la materia orgánica y en la solución del suelo en forma de ión Ca2+ [12], [13]. La mayor parte del Ca soluble, a su vez, se encuentra adsorbido a las cargas negativas de los coloides formando parte de la solución interna o fracción intercambiable; mientras que parte soluble restante se encuentra en la solución externa, sin interacción con las cargas negativas de los coloides, y posible de ser absorbido por las plantas para suplir sus requerimientos [14]–[16]. La capacidad que tiene un suelo para reponer los iones absorbidos por las plantas hacia la solución externa se denomina poder amortiguador, y el proceso mediante se conoce como renovación. Esta característica se debe a que las concentraciones de los iones en la solución interna y externa se encuentran en un equilibrio dinámico. Este equilibrio se encuentra condicionado por características de los propios iones y de los coloides del suelo, permitiendo el desplazamiento de iones en ambos sentidos [17]–[19].
El equilibrio dinámico entre las concentraciones del Ca, y bases en general del suelo, es complejo y dependiente de las condiciones particulares de cada sitio [20]. Las características de los iones que intervienen en este proceso son, fundamentalmente, su concentración, su valencia y su radio hidratado [18], [21], mientras que las propiedades de los coloides que afectan el intercambio iónico son la cantidad de coloides, el tipo, la superficie específica y la densidad de cargas [21], [22]. Adicionalmente, existe un fenómeno denominado selectividad de adsorción que influye en el equilibrio, siendo originado por la interacción preferencial entre algunos tipos de coloides con ciertos iones debido a propiedades estéricas [23].
El estudio de isotermas de adsorción en Ca es muy escaso. Marcano-Martinez & McBride [24] han evaluado su adsorción en suelos oxisoles agrícolas en Brasil, que suelen ser deficientes en Ca por su condición de acidez y evidenciaron una relación ligeramente curvilínea que se ajustaba muy bien con la isoterma de Freundlich y ecuaciones cuadráticas, ensayando concentraciones hasta 3 mM Ca (6 meq l-1) en solución de equilibrio (R2>0,99), alcanzando saturaciones cálcicas máximas entre 66% y 95%. En la Región Pampeana no se han encontrado estudios realizados con estos modelos y puede deberse a que los suelos se han considerado tradicionalmente bien dotados de Ca. Sin embargo, se han encontrado zonas deficientes debido a que los sistemas agropecuarios extraen Ca del sistema sin realizar reposiciones [25]. Más aún, algunos autores han encontrado respuesta en el rendimiento de cultivos de cosecha ante el aporte de este elemento como fertilizante y hallaron una estrecha relación entre el rendimiento de cultivos extensivos y el contenido de Ca en la fracción intercambiable de suelos agrícolas de la Región Pampeana [26], [27]. Pese a esto, los ensayos realizados no se ajustaron a calibraciones previas ya que no existen modelos ajustados para el diagnóstico y fertilización con Ca. Agravando la situación, la determinación de bases en laboratorios de suelos en general es reducida [28] poniendo de manifiesto la escasa preocupación respecto a la pérdida y dinámica general del Ca en estos suelos y, por lo tanto, evidencia la falta de conocimiento para su manejo en prácticas de fertilización.
El estudio del comportamiento del Ca en suelos agrícolas de Buenos Aires mediante ecuaciones de adsorción y dosificación permitirá conocer su dinámica ante su incorporación por fertilizantes y comprender su comportamiento en aquellos casos donde pueda resultar deficiente para el crecimiento de los cultivos. El objetivo de este trabajo fue ajustar isotermas de adsorción y funciones de dosificación de Ca en suelos agroproductivos de la provincia de Buenos Aires.
Materiales y métodos
Se realizó un ensayo siguiendo el procedimiento de cantidad/intensidad basado en el método descrito por Beckett [29], modificado para Ca, en los suelos de Belgrano, Bellocq e Inchausti pertenecientes a la provincia de Buenos Aires, Argentina (Figura 1). Los datos de los suelos utilizados se presentan en el Cuadro 1.


El suelo de Belgrano es un suelo Argiudol abrúptico, familia fina, illítica, térmica [31] que se corresponde con la la serie Udaondo [32], [33]. Es un suelo muy oscuro y profundo, de aptitud agrícola, que se encuentra en un paisaje de lomas muy suavemente onduladas, en posición de loma de la Subregión Pampa Ondulada baja, moderadamente bien drenado, desarrollado a partir de sedimentos loéssicos, no alcalino, no salino con pendiente de 0,5-1 %
El suelo de Bellocq es un suelo Hapludol éntico, familia franca gruesa, mixta, térmica [31] que se corresponde con la serie Bolivar [32], [33]. Es un suelo pardo grisáceo oscuro, profundo, poco desarrollado, con aptitud agrícola, se encuentra en un paisaje de lomas medanosas, muy suave a suavemente ondulado de la Subregión Pampa Arenosa, en posición de loma, algo excesivamente drenado, habiendo evolucionado sobre un sedimento eólico franco arenoso con texturas superficiales franco arenosas, no alcalino, no salino, con pendientes de 0-1 %.
El suelo de Inchausti es un suelo Hapludol éntico, familia franca gruesa, mixta, térmica [31] que se corresponde con a la serie Norumbega [32], [33]. Es un suelo profundo, arenoso, con escaso desarrollo, de aptitud agrícola que se encuentra en un paisaje de cordones medanosos con relieve suavemente ondulado, en posición de crestas de lomas y medias lomas de la Subregión Pampa Arenosa, algo excesivamente drenado, habiendo evolucionado sobre sedimentos eólico-arenosos, no alcalino, no salino con pendiente predominante de 1 %.
Para el ensayo se pesaron 4 g de suelo seco por duplicado en tubos de plástico de 50 ml y se agregaron 40 ml de soluciones con diferentes concentraciones de Ca (Co) formuladas a partir de una solución madre de 20 meq l-1 de CaCl2 (cloruro de calcio) en una matriz de 10 meq l-1 de KCl (cloruro de potasio). Las dosis agregadas fueron de 0,25; 0,50; 0,75; 1,00; 1,25; 1,50; 1,75; 2,00; 3,00; 4,00; 5,00; 6,00; 7,00; 8,00 y 9,00 meq l-1. Las suspensiones generadas se agitaron con agitador vaivén horizontal durante media hora (180 rpm y 25 ± 1 °C) y se dejaron equilibrar durante 18 h. Luego de su estabilización, se filtraron utilizando un papel de filtro Whatman N°42 y se analizaron los extractos con el objetivo de cuantificar y la concentración de Ca soluble final en el extracto mediante complejometría con EDTA [34].
En una primera instancia, los resultados se ajustaron en isotermas de adsorción. Las isotermas de adsorción se realizaron relacionando la cantidad de Ca fijado en los coloides por unidad de masa de suelo (Qi, meq g-1), considerando la diferencia entre la concentración del Ca aportado (C0, meq l-1) y la concentración final de Ca en solución (Ci, meq l-1), la masa de suelo (g-1) y el volumen utilizado (l); respecto a la concentración final de Ca en solución (Ci, meq l-1).
Se ajustaron los datos en diferentes tipos de isotermas linealizadas.
Langmuir
[Ecuación 1.]Ecuación 1. Isoterma de Langmuir linealizada [35], [36]
Donde qi es la masa de Ca adsorbido por unidad de masa de suelo (meq g-1), ci es el equilibrio de las concentraciones de Ca en solución (meq l-1), K es una constante relacionada con energía de unión y qm es una constante relacionada con la adsorción máxima de la monocapa.
Freundlich
[Ecuación 2]Ecuación 2. Isoterma de Freundlich linealizada [36], [37]
Donde Qi es la masa de Ca adsorbido por unidad de masa de suelo (meq g-1), Ci es el equilibrio de las concentraciones de Ca en solución (meq l-1), Kf constante de equilibrio de adsorción relacionada con la energía de enlace en la superficie y n es una constante cuyo valor depende de los coloides.
Van Huay
[Ecuación 3]Ecuación 3. Isoterma de Van Huay [38], [39]
Donde Qi es la masa de Ca adsorbido por unidad de masa de suelo (meq g-1), Ci es el equilibrio de las concentraciones de Ca en solución (meq l-1), n es una constante relacionada con la afinidad del catión a los coloides y b la intersección o teóricamente la cantidad desorbida del Ca.
Tempkin
[Ecuación 4]Ecuación 4. Isoterma de Tempkin [36], [40]
Donde Qi es la masa de Ca adsorbido por unidad de masa de suelo (meq g-1), Ci es el equilibrio de las concentraciones de Ca en solución (meq l-1), AT es la constante de unión de equilibrio isotérmico de Tempkin y B está relacionado constantemente con el calor de sorción.
En una segunda instancia los resultados se ajustaron en funciones de dosificación. Las funciones de dosificación relacionan la concentración de Ca en equilibrio final (Ci) respecto a la concentración de Ca adsorbida (Qi). Se ajustaron los valores en ecuaciones lineales y polinómicas de diferentes grados donde se evaluó el ajuste en cada una.
Se seleccionaron las ecuaciones más adecuadas en cada situación a posteriori de considerar el cumplimiento de los supuestos básicos de una regresión (normalidad de residuos, homocedasticidad de varianzas). Se realizaron evaluaciones acerca de la significancia de las regresiones (p<0,05) mediante análisis de la varianza (ANOVA) y de los parámetros (t-Student). El grado de ajuste de cada uno se evaluó mediante el coeficiente de regresión (R2) y en algunos casos se utilizaron los valores de AIC y BIC, que en valores menores evidencian la simplicidad y pertinencia del modelo. Se realizaron pruebas estadísticas utilizando variables auxiliares con el objetivo de evaluar si los parámetros de las regresiones se diferencian estadísticamente (p<0,05) en aquellos casos donde se ajustaron isotermas similares. Se utilizó el InfoStat® como software estadístico [41].
Resultados
Isotermas de adsorciónIsotermas de adsorción
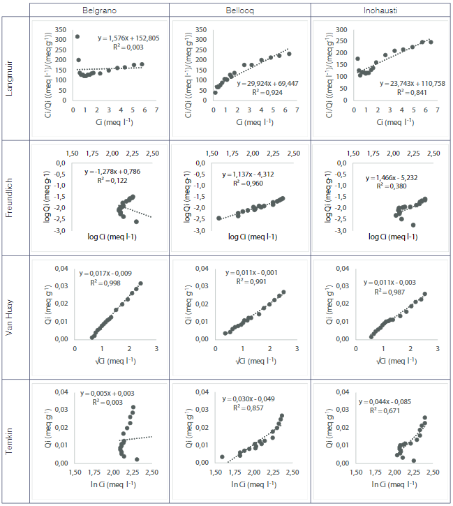
El suelo de Bellocq es el único de los tres sitios que presentó buenas correlaciones para los cuatro modelos de estimación por isotermas, siendo las isotermas de Freundlich (R2= 0,960) y Van Huay (R2=0,991) las mejores estimadoras considerando el grado de ajuste y la distribución de los residuos (Figura 2). La isoterma de Tempkin que presento los peores resultados en este suelo, incluso obtuvo un ajuste R2 de 0,857, pero sin cumplir con el supuesto de normalidad de residuos. El suelo de Inchausti presento ajustes adecuados solamente en la ecuación de Van Huay (R2= 0,987), y en menor medida para en el modelo de Langmuir (R2=0,841) pero con valores de pendientes y ordenadas al origen más elevados. El suelo de Belgrano se ajustó al modelo de Van Huay con valores elevados (R2= 0,998), mientras que para el resto de los modelos presento valores de ajuste muy bajos.

La isoterma propuesta por Van Huay logró ajustarse significativamente en todos los parámetros para los tres suelos estudiados, con elevados valores de ajuste (p<0,05; R2>0,98). La isoterma ajustada en el suelo de Belgrano arrojó una pendiente 63% superior y una ordenada al origen 350% menor respecto a los otros suelos. Realizando la comparación entre regresiones con variables auxiliares se observó que la pendiente de la regresión, es decir la tasa de adsorción de Ca ante su aporte, fue significativamente mayor en el suelo de Belgrano respecto a las pendientes de las regresiones de los suelos de Bellocq e Inchausti (p<0,01), que no se diferenciaron entre ellas. Asimismo, la ordenada al origen de la ecuación, relacionada con la cantidad de Ca desorbida, fue menor estadísticamente en el suelo de Belgrano con respecto a los suelos de Bellocq e Inchausti (p<0,01), siendo similar en estos últimos. La isoterma de Freundlich logró ajustarse con significancia en sus parámetros y elevados valores de ajuste solamente con el suelo de Bellocq (p<0,05), aunque la ecuación de Van Huay logró un mayor valor (0,96 vs 0,99). Las restantes combinaciones de las isotermas con los suelos no cumplieron con el supuesto de normalidad de residuos, evidenciando que el comportamiento de Ca ante su aporte no se puede predecir según las condiciones supuestas en cada caso, a pesar de encontrar elevados valores de ajustes en algunos casos.
La isoterma propuesta por Van Huay logró ajustarse significativamente en todos los parámetros para los tres suelos estudiados, con elevados valores de ajuste (p<0,05; R2>0,98). La isoterma ajustada en el suelo de Belgrano arrojó una pendiente 63% superior y una ordenada al origen 350% menor respecto a los otros suelos. Realizando la comparación entre regresiones con variables auxiliares se observó que la pendiente de la regresión, es decir la tasa de adsorción de Ca ante su aporte, fue significativamente mayor en el suelo de Belgrano respecto a las pendientes de las regresiones de los suelos de Bellocq e Inchausti (p<0,01), que no se diferenciaron entre ellas. Asimismo, la ordenada al origen de la ecuación, relacionada con la cantidad de Ca desorbida, fue menor estadísticamente en el suelo de Belgrano con respecto a los suelos de Bellocq e Inchausti (p<0,01), siendo similar en estos últimos. La isoterma de Freundlich logró ajustarse con significancia en sus parámetros y elevados valores de ajuste solamente con el suelo de Bellocq (p<0,05), aunque la ecuación de Van Huay logró un mayor valor (0,96 vs 0,99). Las restantes combinaciones de las isotermas con los suelos no cumplieron con el supuesto de normalidad de residuos, evidenciando que el comportamiento de Ca ante su aporte no se puede predecir según las condiciones supuestas en cada caso, a pesar de encontrar elevados valores de ajustes en algunos casos.
Funciones de dosificación
Las funciones de dosificación mostraron que no puede ajustarse la totalidad de las concentraciones estudiadas a una ecuación debido a que los resultados no cumplen los supuestos de normalización de residuos. Se observó que subestiman los valores en las concentraciones más bajas, se sobrestiman los valores en las partes medias y se vuelven a subestimar en las partes altas (Figura 3). Ante este comportamiento se observó que se puede dividir el patrón en dos segmentos con comportamiento diferencial en los tres suelos. El primer segmento se corresponde con los tratamientos de 0,25 a 3 meq l-1 que puede ajustarse con ecuaciones polinómicas de segundo grado, mientras que el segundo segmento corresponde a los tratamientos de 3 a 9 meq l-1 que puede ajustarse con ecuaciones lineales.

Primer Segmento
En los tres suelos, la regresión que mejor se ajustó a los datos obtenidos para este segmento analizado fue un polinomio de grado dos, que al ser de bajo grado cumpliría con el supuesto de simplicidad buscado en el ensayo (Figura 3). Los residuos estuvieron distribuidos de manera azarosa favoreciendo la selección del modelo.
Los valores de significancia y ajuste arrojados por el modelo para el suelo de Belgrano son muy elevados (p-valor <0,0001 y R2=1, respectivamente), y los valores de AIC y BIC son considerados bajos (-73,31 y -71,37), indicando una correcta elección del modelo. Los parámetros de la función arrojaron valores de 0,066 para el término cuadrático (p-valor<0,0001), 0,311 para el término lineal (p-valor<0,0001) y de 0,215 para el término independiente (p-valor<0,0001). La ordenada al origen también presenta un valor positivo de 0,215 indicando un proceso de recuperación de calcio ante el nulo agregado de calcio, evidenciando la desorción de calcio. En cuanto a la tasa de cambio, demuestra valores promedios y por consiguiente un comportamiento de la función intermedio entre los expuestos en los dos suelos anteriores para este segmento, como son 0,3109 de pendiente y 0,0664 como valor multiplicador de la variable cuadrática.
Los valores de significancia del modelo para el suelo de Bellocq (p-valor= 0,005) y los valores de ajuste (R2= 0,998) son muy elevados, y a su vez, la “solución de compromiso”, denominado trade-off, entre la bondad de ajuste del modelo y su complejidad arroja valores negativos, que indican una aceptable calidad del modelo (AIC: -44,55 y BIC: -42,51). Los parámetros de la función arrojaron valores de 0,060 para el término cuadrático (p-valor=0,0051), 0,421 para el término lineal (p-valor<0,0001) y de -0,071 para el término independiente (p-valor=0,0268). La ordenada al origen de este suelo tiene un valor negativo de -0,0855, indicando que ante el agregado de bajas o nulas cantidades de Ca se encontrarían concentraciones de Ca negativas y por ende es una necesidad matemática ya que es irreal. En este caso podría realizarse un análisis de la concentración de equilibrio donde coincida la concentración de calcio agregada con la finalmente medida luego del equilibrio. Matemáticamente habría dos valores, de los cuales, en este caso, el primer valor es negativo, no siendo posible en la realidad. En este caso, se puede mencionar que dicho valor sería 11,04 meq/l. Es evidente que el valor es irreal y solo podría utilizarse con fines comparativos debido su elevada magnitud con respecto al encontrado en suelo. La tasa de cambio de este suelo combina el valor más elevado de la pendiente (0,421) con el valor más bajo que afecta a la variable cuadrática (0,060) por lo tanto la gráfica demuestra un crecimiento cercano al lineal, debido posiblemente a la menor concentración de coloides que interfieren en relaciones de baja complejidad con los cationes.
En el suelo de Inchausti los valores de significancia (p-valor <0,0001) y ajuste (R2=0,998) también fueron elevados. El análisis de sus datos de AIC y BIC, justifican aún más esta elección, por arrojar valores bajos que indican buena calidad relativa del modelo (-50,43 y -48,49 respectivamente). Los parámetros de la función arrojaron valores de 0,088 para el término cuadrático (p-valor<0,0001), 0,293 para el término lineal (p-valor<0,0001) y de 0,151 para el término independiente (p-valor=0,0002). Este suelo presenta un término independiente positivo (0,151), es decir que a bajas concentraciones agregadas de Ca en el equilibrio se produce una leve desorción de cationes de la solución interna favorecido el aumento de su concentración en la solución externa. En este caso, la raíz en el eje de las abscisas, asociada al equilibrio, se encontraría en 7,81 meq/l, menor concentración que en el primer caso, pero, como se mencionó anteriormente, no son valores tan directo debido a los errores y las interacciones entre iones generadas por la relación suelo/agua elevada. Por otro lado, la tasa de cambio indicó un comportamiento diferente a Bellocq, por presentar el menor valor de pendiente (0,293 vs 0,421) y el mayor valor que multiplica al término cuadrático (0,088 vs 0,060) comportándose entonces de manera más abrupta en los cambios en el gráfico según los tratamientos realizados. Lo anterior puede ser explicado por el mayor porcentaje de coloides en el suelo que incrementan la complejidad del sistema y por lo tanto las interacciones ocurridas en el mismo.
Segundo segmento
La función que mejor se ajuste a los valores correspondientes a este segmento es una regresión lineal para los tres suelos, representada por una recta de pendiente positiva que cumpliría con el supuesto de simplicidad perseguido (Figura 3). Los residuos se encontraron distribuidos de manera azarosa en los tres sitios analizados.
En el suelo de Belgrano los valores de significancia y ajuste del modelo fueron muy altos (p-valor <0,0001 y R2=0,999), que son argumentos sólidos para optar por esta función. Sin embargo, los criterios utilizados para evaluar la calidad relativa del modelo fueron más altos (AIC: -18,21 y BIC: -18,37). Los parámetros de la función arrojaron valores de 0,685 para el término lineal (p-valor<0,0001) y de -0,390 para el término independiente (p-valor=0,0014). El valor negativo de la ordenada al origen es una necesidad matemática debido a que no es posible encontrar concentraciones negativas de Ca en suelo. En adición, las elevadas concentraciones donde se realizó no permitirían interpretar certeramente ese resultado. La tasa de cambio, expresada como la recuperación del Ca agregado, se ajustó con un comportamiento lineal asociado a la reducción de las interacciones con los coloides. Más aún, las pendientes encontradas fueron menores a la unidad, evidenciando que no se recupera la totalidad del Ca agregado.
El nivel de significancia alcanzado por el modelo en el suelo de Bellocq también fue muy elevada (p-valor <0,0001), al igual que su nivel de ajuste (R2=1,000). La calidad relativa del modelo es buena, justificada por sus valores de AIC y BIC, aunque los mismos no son tan bajos como en otras ecuaciones encontradas (-22,13 y -22,29, respectivamente). Los parámetros de la función arrojaron valores de 0,756 para el término lineal (p-valor<0,0001) y de -0,523 para el término independiente (p-valor=0,0001). En este suelo la variable independiente representa el valor más bajo de los tres suelos analizados para este segmento.
Los valores de significancia y de ajuste en el suelo de Inchausti resultaron ser muy elevados (p-valor <0,0001 y R2=0,9993 respectivamente) justificando la elección del modelo, y los de AIC y BIC negativos, pero comparativamente mayores a los encontrados en otras situaciones (-19,09 y -19,26). Los parámetros de la función arrojaron valores de 0,759 para el término lineal (p-valor<0,0001) y de -0,416 para el término independiente (p-valor=0,0004). La variable independiente es negativa y similar al suelo de Belgrano, con un valor de -0,416. Su tasa de recuperación es muy similar a la de Bellocq.
Discusion
Isotermas de adsorción
El elevado ajuste del comportamiento del Ca aportado con la isoterma de Van Huay se asocia con la heterogeneidad en los coloides presentes en los suelos debido al material parental que le dio origen (loess), en concordancia con lo mencionado por Hannan (2008), siendo que los suelos de Bellocq e Inchausti pertenecen a la familia mixta y el suelo de Belgrano a familia illítica (Cuadro 1). Según algunos autores [1], [4], este modelo correspondería al tipo “L” quien reflejaría una saturación progresiva de los sitios de adsorción y manifiesta una elevada afinidad del Ca con los coloides del suelo. Así también, y en semejanza con lo encontrado en otras investigaciones [24], la adsorción de Ca no estaría limitada por los sitios de adsorción ya que la selectividad de Ca no sería sustancialmente diferente en la presencia de K, explicado fundamentalmente por la valencia, radio hidratado y concentración de Ca respecto a K. Del mismo modo, no se esperaría encontrar reducciones en las cargas de los coloides por modificaciones del pH ni acomplejamientos entre la MO y el Fe y Al como puede suceder en suelos tropicales [4], [24], [42]. En estos suelos, la principal reducción de la concentración de Ca disponible está afectada por la adsorción a los coloides y precipitación con otros elementos [4].
La similitud en los parámetros de las ecuaciones de Inchausti y Bellocq podría deberse a la mayor semejanza en la cantidad y tipos de coloides existentes en ambos suelos, siendo ambos suelos pertenecientes a la familia mixta. Se observan contenidos similares de CO, arcilla y CIC (Cuadro 1) siendo parte de los principales parámetros edáficos que controlarían su comportamiento [6], [9], [10]. Asimismo, en el suelo de Belgrano la mayor tasa de adsorción (relacionada con la mayor afinidad del Ca a los coloides) y la menor ordenada al origen (relacionada con una mayor capacidad de desorción de Ca en concentraciones bajas) se podría deber al elevado contenido en CO y CIC y a la predominancia del tipo illitas de arcillas, ya que el contenido total de arcilla fue relativamente similar a los restantes suelos (Cuadro 1). En adición, estas características explicarían también el mayor contenido de Ca soluble en el extracto de pasta de saturación observado para este suelo. Estos resultados sugieren que el aumento de materia orgánica del suelo aumenta la capacidad para retener el Ca agregado, y en consiguiente la posibilidad de liberarlo en el mediano plazo, coincidiendo con lo expresado por Samadi (2006). Adicionalmente, el contenido de Pbk del suelo de Belgrano fue mayor respecto a los suelos de Bellocq e Inchausti (Cuadro 1), siendo posible considerar que la mayor tasa de adsorción también podría deberse a la interacción del Ca con este elemento, según los posibles destinos [4] y similar a lo encontrado en otros trabajos cuando se agregó elevadas concentraciones de Ca en presencia de sulfatos (SO4-2) [24].
Estos resultados no podrían asegurar completamente la funcionalidad de la isoterma de Freundlich [10], ya que solo logró ajustarse correctamente en el suelo de Bellocq. Sin embargo, es importante destacar que algunos autores [10][5], si bien encontraron para sus suelos mejores resultados en los modelos de Freundlich, hallaron valores de R2 muy prometedores en el modelo de Van Huay (R2>0,82 y R2>0,91). Estos estudios realizados, en consecuencia, permitirían suponer que el modelo de Van Huay podría ser utilizado en forma más generalizada en los diferentes suelos de la provincia de Buenos Aires.
En comparación con los resultados encontrados en suelos oxisoles de Brasil [24], utilizando concentraciones de qi expresadas en mmol kg-1 y Ci en mM en el modelo de Freundlich para el suelo de Bellocq con fines comparativos, se observa que el Kf se fue mayor en los suelos argentinos en una magnitud superior al 200% (2,29 vs 6,95), mientras que el parámetro n se incrementó solamente un 23% (1,39 vs 1,92). El mayor valor de Kf evidenciaría una mayor afinidad entre el Ca con los coloides y/o el Pbk de Bellocq, más que con los suelos de Brasil, según lo expresado por McBride [4].
En resumen, estos resultados sugieren la posibilidad de desarrollar un estudio acerca del comportamiento del Ca en la Región Pampeana similar al realizado en suelos oxisoles [24], como así también en otras bases del suelo [2], [3], [7], [29]. Este estudio preliminar, sin embargo, no permitió evaluar el impacto de los principales parámetros de suelo en extenso como se ha realizado en otros nutrientes [6]. Aun así, la posibilidad de predecir el comportamiento en la disponibilidad de Ca en suelos de la provincia de Buenos Aires permitirá ampliar la base cognitiva para realizar recomendaciones de fertilización cálcica utilizando esta metodología en sitios cada vez más deficientes en este elemento y en donde aún no se considera un nutriente importante para ser analizado [25], [28], a pesar que haya evidencias de respuesta ante su agregado [26], [27], y cuya situación podría agravarse en el futuro si no se modifica el planteo agroproductivo.
Funciones de dosificación
Al analizar los datos de la dosificación arrojados por el software estadístico, también se observó que los comportamientos de los suelos resultaron muy similares. Se decidió realizar este tipo de estudio, porque permite observar los tenores del catión presentes en la solución externa, lo cual es muy importante ya que cuando la regulación de la absorción no puede ejercida por la planta, el suelo tiene que poder ofertarlos en cantidades adecuadas para satisfacer la demanda nutricional como se ha evidenciado en suelos de la Región Pampeana [43], ya que se absorben mayoritariamente por flujo masal, sin tener la planta posibilidad de regularlos.
La determinación de Ca en la solución externa no se realiza en laboratorios con fines diagnóstico, ya que no existen curvas que ajusten dichos valores con el comportamiento de las especies vegetales, por lo cual, este trabajo intenta generar información relacionada a lo expuesto anteriormente, de manera de poder estudiar la disponibilidad de nutrientes in situ, debido a que sería de gran utilidad generar curvas de concentraciones de Ca en la fase líquida como datos iniciales sobre la fertilidad química de los mismos, que permitan iniciar estudios de suficiencia/deficiencia de nutrientes en relaciones directas entre la concentración del Ca y de donde es adsorbido por los cultivos.
Contrario a lo expuesto en algunos trabajos [18] donde se establece que el análisis y estudio de la fase sólida es muy complejo predecir la concentración de nutrientes en la solución externa debido a la complejidad de la interacción entre ellas y a la variabilidad de los métodos de análisis, se pudo encontrar modelos predictivos de concentración de Ca para los tres suelos analizados. Las coincidencias de los resultados encontrados se podrían explicar por la similitud entre los suelos analizados, tanto desde el punto de vista geográfico, de relieve y físico-químico, como también su exposición al mismo contexto productivo, es decir, con historiales productivos semejantes. A pesar de que se menciona que se podrían generar variaciones debido a diferencias en los componentes bióticos y abióticos [20], no se observaron grandes diferencias en los resultados encontrados. Lo antedicho se podría asociar a similitudes en la microflora de los suelos o bien a su baja incidencia en estos estudios. Esta información, en consecuencia, validaría la pertinencia de utilizar estos modelos a nivel regional en aquellos suelos que compartan propiedades similares, con previa corroboración.
Toda la información analizada hasta el momento, sumada a la expuesta en los resultados de este trabajo, podría ser pertinente en la toma de decisiones sobre las dosis de fertilizantes a utilizar para la práctica agrícola de fertilización con nutrientes básicos, favoreciendo la eficiencia en la utilización de los recursos [19], [44] y como demostraron algunos autores que trabajaron con fertilizantes básicos sólidos [26], [44]. Lo antedicho, fomentaría la respuesta y reposición de nutrientes básicos en zonas donde no se realiza rutinariamente en sistemas productivos extensivos de Argentina.
Este trabajo se suma a todos aquellos realizados con la finalidad de investigar para desarrollar diagnósticos calibrados de nutrientes básicos, entre ellos Ca, partiendo de la base de que la información es muy reducida para las condiciones de cultivos extensivos y suelos de Argentina, particularmente del área templada central de donde pertenecen los tres suelos analizados [28].
Contar con esta información sería muy útil para optimizar el uso de los recursos naturales escasos y promover un sistema de producción agropecuario con bases en la conservación del suelo, permitiendo manejar la problemática de acidificación y su tratamiento mediante la fertilización, con bases científicas, intentando evitar la implementación de las prescripciones generadas por las propias empresas comercializadores de dichos insumos, las cuales suelen carecer de bases teóricas. El estudio de la composición de la solución externa del suelo, como el llevado a cabo en este trabajo, resulta adecuado para no caer en el reduccionismo de los sistemas, y poder estudiar el resultado de los efectos directos de las interacciones del sistema edáfico como un todo [19][44].
Conclusiones
La isoterma de Van Huay es el modelo más adecuado en la predicción del comportamiento del Ca ante su agregado con fertilizantes en los suelos de Belgrano, Inchausti y Bellocq. La isoterma de Freundlich es pertinente para ser utilizada solamente en el suelo de Bellocq, aunque con menores coeficientes de ajustes. Finalmente, las isotermas de Langmuir y Tempkin no son recomendables para el estudio de Ca en los suelos estudiados.
La función de dosificación de Ca en suelos de la provincia de Buenos Aires puede ajustarse utilizando ecuaciones polinómicas de segundo grado en concentraciones menores a 3 meq l-1 y regresiones lineales en concentraciones mayores a 3 meq l-1.
Referencias
[1] G. Limousin, J. P. Gaudet, L. Charlet, S. Szenknect, V. Barthès, and M. Krimissa, “Sorption isotherms: A review on physical bases, modeling and measurement,” Applied Geochemistry, vol. 22, no. 2, pp. 249–275, 2007, doi: 10.1016/j.apgeochem.2006.09.010.
[2] S. Bedrossian and B. Singh, “Potassium adsorption characteristics and potassium forms in some New South Wales soils in relation to early senescence in cotton,” Australian Journal of Soil Research, vol. 42, no. 7, pp. 747–753, 2004, doi: 10.1071/SR03143.
[3] A. A. Onana, A. D. Mvondo Ze, B. P. Yerima, and V. Agoume, “Comparison of different phosphorous adsorption models in acid forest soils of Bityili (Southern – Cameroon) and their relationship with soil properties,” Int J Biol Chem Sci, vol. 10, no. 2, p. 820, Sep. 2016, doi: 10.4314/ijbcs.v10i2.30.
[4] M. McBride, “Chemisorption and precipitation reactions,” in Handbook of Soil Sciencie, M. Sumner, Ed. London, UK: CRC Press, 2000.
[5] O. Kenyanya, “Studies on Potassium Requirements por Maize in Nyamira Country,” Degree of Master of Science Thesis, Kenyatta University, Kenya, 2015.
[6] A. Shaviv, S. v Mattigod, P. F. Pratt, and H. Joseph, “Potassium Exchange in Five Southern California Soils with High Potassium Fixation Capacity,” Soil Science Society of America Journal , vol. 49, no. 5, pp. 1128–1133, 1985.
[7] A. Samadi, “Potassium Exchange Isotherms as a Plant Availability Index in Selected Calcareous Soils of Western Azarbaijan Province, Iran,” Turk J Agric For, vol. 30, pp. 213–222, 2006.
[8] N. Farheen et al., “Modeling the potassium requirements of potato crop for yield and quality optimization,” Asian J Agri & Biol, vol. 6, no. 2, pp. 169–180, 2018, [Online]. Available: https://www.researchgate.net/publication/326413345
[9] R. Pannu, Y. Singh, and B. Singh, “Effect of long-term application of organic materials and inorganic N fertilizers on potassium fixation and release characteristics of soil under rice-wheat cropping system,” Journal of Potassium Resource , vol. 19, pp. 1–10, 2003.
[10] M. Kassa, W. Haile, and F. Kebede, “Evaluation of Adsorption Isotherm Models for Potassium Adsorption under Different Soil Types in Wolaita of Southern Ethiopia,” Commun Soil Sci Plant Anal, vol. 50, no. 4, pp. 388–401, Feb. 2019, doi: 10.1080/00103624.2018.1563097.
[11] A. Hannan, “Evaluation of sorption isotherm based soil solution potassium concentration levels for maximizing crop yields,” PhD Thesis, University of Agriculture, Faisalabad, Pakistan, 2008.
[12] P. White, “The pathways of calcium movement to xylem,” J Exp Bot, vol. 52, pp. 891–899, 2001.
[13] M. Vázquez and A. Pagani, “Calcio y magnesio. Manejo de fertilización y enmiendas,” in Fertilizad de suelos y fertilización de cultivos, E. H. Echeverría and F. García, Eds. Buenos Aires: INTA, 2015, pp. 317–350.
[14] E. Kirkby and D. Pilbeam, “Calcium as a plant nutrient,” Plant Cell Environ, vol. 7, no. 6, pp. 397–405, Aug. 1984, doi: 10.1111/j.1365-3040.1984.tb01429.x.
[15] A. Kumar, U. M. Singh, M. Manohar, and V. S. Gaur, “Calcium transport from source to sink: understanding the mechanism(s) of acquisition, translocation, and accumulation for crop biofortification,” Acta Physiol Plant, vol. 37, no. 1, p. 1722, Jan. 2015, doi: 10.1007/s11738-014-1722-6.
[16] V. N. Chaganti and S. W. Culman, “Historical Perspective of Soil Balancing Theory and Identifying Knowledge Gaps: A Review,” Crop, Forage & Turfgrass Management, vol. 3, no. 1, p. cftm2016.10.0072, Dec. 2017, doi: 10.2134/cftm2016.10.0072.
[17] R. Fuentes Flores, “Comportamiento de la capacidad de intercambio catiónico en algunos suelos ácidos de origen volcánico,” Tesis de Maestría , Instituto Interamericano de ciencias agrícolas de la OEA, Costa RIca, 1971.
[18] S. Navarro Blaya and G. Navarro García, Química Agrícola, Segunda Edición. 2003.
[19] G. H. Bolt, M. F. de Boodt, M. H. Hayes, M. B. McBride, and E. B. de Strooper, Interactions at the Soil Colloid: Soil Solution Interface, Primera Edicion. Netherlands, 2013.
[20] V. Snakin, A. Prisyazhnaya, and E. Kovács-Láng, Soil Liquid Phase Composition. Amsterdam: Elsevier, 2001.
[21] D. Jaramillo, “Parte 4. Las propiedades químicas del suelo,” in Introducción a la Ciencia del Suelo, D. Jaramillo, Ed. Medillín, Colombia, 2002, pp. 295–375.
[22] X. Zhang and A. Zhao, “Surface charge,” in Chemistry of Variable Charge Soils, T. Yu, Ed. New York: Oxford University Press, 1997, pp. 17–63.
[23] H. Fassbender and E. Bornemisza, Química de suelos con énfasis en América Latina, Segunda Edición. San José, Costa Rica: Servicio Editorial IICA, 1987.
[24] E. Marcano-Martinez and M. B. McBride, “Calcium and Sulfate Retention by Two Oxisols of the Brazilian Cerrado,” Soil Science Society of America Journal, vol. 53, no. 1, pp. 63–69, Jan. 1989, doi: 10.2136/sssaj1989.03615995005300010012x.
[25] H. Sainz Rozas, M. Eyherabide, G. Larrea, N. Martínez Cuesta, and H. Angelini, “Relevamiento y determinación de propiedades químicas en suelos de aptitud agrícola de la región pampeana,” Actas Simposio Fertilidad. FERTILIZAR Asociación Civil, Rosario, pp. 141–158, 2019.
[26] H. Fontanetto et al., “Fertilización cálcica en soja en la zona central de Santa Fe. Información Técnica en Cultivos de Verano. Campaña 2011,” Publicación Miscelánea INTA N° 121. INTA, Rafaela, Santa Fe, pp. 94–99, 2011.
[27] P. A. Barbieri, H. E. Echeverría, H. R. Sainz Rozas, and J. P. Martínez, “Soybean and wheat response to lime in no-till Argentinean mollisols,” Soil Tillage Res, vol. 152, pp. 29–38, Sep. 2015, doi: 10.1016/j.still.2015.03.013.
[28] E. Ciarlo, D. Cosentino, M. García, and F. González, “Analisis de participacion de laboratorios de suelos en el programa PROINSA,” Acta de conferencias, mesas panel, trabajos completos, comunicaciones y resúmenes. XXVI Congreso Argentino de la Ciencia del Suelo. AACS, Tucumán, pp. 45–49, 2018.
[29] P. Beckett, “Studies on soil potassium II. The ‘immediate’ Q/I relations of labile potassium in the soil,” Journal of Soil Science, vol. 15, no. 1, pp. 9–23, 1964.
[30] Google, “Google Maps,” 2022. https://www.google.com.ar/maps/preview (accessed Oct. 20, 2022).
[31] Soil Survey Staff, Keys to Soil Taxonomy, 12th ed. Washington, DC, Estados Unidos: USDA - Natural Resources Conservation Service, 2014.
[32] INTA, “Visor GeoINTA. Recuperado el 29 de 8 de 2016.” 2016. [Online]. Available: de
[33] INTA, “Cartas de suelo de la República Argentina. Provincia de Buenos Aires,” Instituto de Suelos INTA, 2002. https://anterior.inta.gov.ar/suelos/cartas/ (accessed Jul. 28, 2022).
[34] SAMLA, Sistema de Apoyo Metodológico a los Laboratorios de Análisis de Suelos. Buenos Aires: SAGyP, 2004.
[35] I. Langmuir, “The constitution and fundamental properties of solids and liquids,” J. Am. Chem. Soc., vol. 38, no. 11, pp. 2221–2295, 1916.
[36] K. Y. Foo and B. H. Hameed, “Insights into the modeling of adsorption isotherm systems,” Chemical Engineering Journal, vol. 156, no. 1. pp. 2–10, Jan. 01, 2010. doi: 10.1016/j.cej.2009.09.013.
[37] H. Freundlich, “Over the adsorption in solution,” J. Phys. Chem, vol. 57, pp. 385–471, 1906.
[38] H. Pagel and H. van Huay, “Wichtige Parameter der Phosphatsorptionkurven einiger BOden der Tropen und Subtropen und ihre zeitliche Veranderung durch P-Dtingung,” Arch. Acker- u. Pflanzenbau u. Bodenkd , vol. 20, pp. 765–778, 1976.
[39] H. Abbas, S. Soltana, M. Mahmoud, and M. Nasef, “Sorption-desorption reactions for Zinc and Cupper by some newly reclaimed soils in Egypt,” Ann Agric Sci, vol. 34, no. 1, pp. 407–427, 1996, [Online]. Available: https://www.researchgate.net/publication/305278830
[40] M. Tempkin and V. Pyzhev, “Kinetics of ammonia synthesis on promoted iron catalyst,” Acta Phys. Chim. USSR , vol. 12, pp. 327–356, 1940.
[41] J. di Rienzo, F. Casanoves, M. Balzarini, L. Gonzalez, M. Tablada, and C. Robledo, “InfoStat,” Grupo InfoStat, FCA, Universidad Nacional de Córdoba, Argentina, 2016. http://www.infostat.com.ar (accessed Jun. 12, 2022).
[42] R. Zapata Hernandez, Química de la Acidez, 1ra ed. Medillín, Colombia: Caragraphis, 2004.
[43] N. Arrigo and M. Conti, “Importancia de los mecanismos de intercepción radical, flujo masal y difusión de Ca, Mg, K y Na en plantas de maíz en suelos pampeanos,” Revista de la Facultad de Agronomía, vol. 6, no. 3, pp. 183–188, 1985.
[44] W. A. Narváez Ortiz, “Desarrollo de Modelos Matemáticos para el Estudio de la Concentración de Elementos en la Solución del Suelo,” Tesis de Doctorado, Universidad Autónoma Agraria Antonio Narro, Saltillo, Coahuila, 2017.