
Received: 18 September 2016
Accepted: 06 March 2017
DOI: https://doi.org/10.5232/ricyde2017.04901
Abstract: Esta investigación supera varias de las limitaciones del estudio de Martínez y Caudill (2013) sobre el cambio de entrenador durante la temporada en la National Basketball Association (NBA), incluyendo nuevos casos y empleando una metodología diferente. La decisión de cambiar un entrenador es una importante cuestión para los gestores deportivos que no garantiza la mejora del rendimiento del equipo en el corto plazo. Sólo un 12% de los nuevos entrenadores mejoraron de manera significativa el rendimiento de sus predecesores. Con el fin de maximizar la probabilidad de éxito, entrenadores con gran experiencia y con una carrera previa y larga como jugadores profesionales deberían ser contratados. Además, el cambio debería hacerse antes de que avanzara demasiado la competición, aunque ello depende del porcentaje de victorias de los equipos.
Keywords: coaching change, NBA, sports management.
Resumen: This research overcomes some of the drawbacks of the study of Martínez & Caudill (2013) regarding midseason coaching change in the National Basketball Association (NBA), adding new cases and achieving a disparate methodology. Changing a coach is an important managerial decision which does not guarantee improvement in the short term. Only about 12% of new coaches outperformed in a significantly way their predecessors. In order to maximize the probability of success, highly experienced coaches, with a long career as former professional players should be signed. In addition, change should be made before season advances, although it depends of the winning percentage of teams.
Palabras clave: cambio de entrenador, NBA, gestión del deporte.
Introduction
In their recent research, Martinez & Caudill (2013) analysed all of the midseason changes in the NBA from the 1949-50 season to the 2009-2010 season. These researchers concluded that midseason coaching change leads to improved team performance in approximately sixtyone percent of the cases examined. These researchers found that making a successful midseason coaching change is significantly related to hiring a new coach with previous experience as an NBA player. These authors also found that the earlier in the season the changes are made, the more likely improvements in performance will result. Finally, they found weak evidence that previous NBA experience as a coach is positively related to an improvement in performance.
This meritorious work, however, has several drawbacks that are important for the management viewpoint: (1) The authors do not present any statistical analysis to support the claim that team performance improved in approximately 61% of the cases; (2) They do not implement any model to analyse the determinant of successful changes, only the determinant of the changes in team performance (raw difference between the winning percentage after and before the change). This raw difference does not distinguish random changes in performance from real changes; (3) They do not exclude several cases of interim coaches who lead for a few games before the signing of a new coach; and (4) In some instances, they compared the performance of a new head coach with the sum of the performances of the 2 replaced coaches (first head coach + interim coach).
Given that midseason change of coach is a very important management dilemma for the owners and general managers of sports teams, as Martínez & Caudill (2013) explain, and given that this topic has been widely treated in the specialized literature in different sports (e.g., Audas, Dobson & Goddard, 1997; Barros, Frick & Passos, 2009; Brown, 1982; Etzen & Yetman, 1972; González-Gómez, Picazo-Tadeo & García-Rubio, 2011; Koning; 2003;Yetman, 1972; Peñas, 2007; Pfeffer & Davis-Blake, 1986; Tena & Forrest, 2007; Wagner, 2010), acomplementary vision of the data analysed by Martínez & Caudill (2013) is needed in orderto obtain new evidence about the success of this decision for professional basketball teams.
Therefore, the aim of this research is to overcome several of the limitations of the study by Martínez & Caudill (2013) and expand their scope to the last six seasons, thereby providing a new approach to analysing the history of the NBA midseason change of coaches (from the 1949-50 season to the 2015-2016 season) and showing new evidence of the determinants of successful changes. After adding 19 new cases to the Martínez & Caudill (2013) database, and after dropping 30 cases that did not fulfil the inclusion criteria, results show that only a small number of changes 23 of 192can be considered successful (i.e., the winning percentage significantly increases). However, factors affecting the improving performance are in part congruent with the results obtained by Martínez & Caudill (2013), although with some relevant differences that deserve to be discussed.
Many of NBA coaches contracts are guaranteed. This means that coaches receive a compensation if they are fired. Therefore, firing a coach in the midseason is an important decision for managers becuase it increases the costs of the team by paying two coaches at time (the fired coach and the new coach). This is one of the reason this research is important for sports management, because it provides evidence about the determinants of success or failure of such decisions.
Methods
Data and measures
We collected data from Basketball-Reference employing the same raw data as Martínez y Caudill (2013), considering all mid-season coaching changes from the 1949-50 season to the 2009-10 season and expanding the scope to the 2015-2106 season. We also registered other measures: (1) experience and expertise of new coaches (winning percentage and games managed in the league at that moment), in addition to data for coaches who were former NBA players (number of seasons and minutes played); (2) number of games a team played at the moment of change, at the end of the season, and after new coaches were signed; (3) winning percentage of teams at the moment of change, at the end of the season, and obtained by new coaches.
Procedure to compare performance
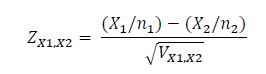
We compared the winning percentage obtained by teams trained by old coaches with the winning percentage obtained by teams trained by new coaches We used the test for comparing two proportions coming from hypergeometric distibutions provided by Krishnamoorthy (2006). We considered N games of each season (number of games of the full season), of which M of them are wins and N-M are loses. A sample of n games is drawn without replacement for each coach (the wins and loses of the new and the replaced coach). Let X the number of wins observed in the sample. This random variable X is referred to as the hypergeometric random variable with parameters N and M. We denote k the wins observed for each particular sample.
The interest is to know if 𝑝1 = 𝑝2, where 𝑝̂1 = 𝑘1/𝑛1 and 𝑝̂2 = 𝑘2/𝑛2. If they are equal the performance of the new coach will be the same as the performance of the replaced coach. The alternative hypotesis is that 𝑝1 ≠ 𝑝2, which means that the performance of the new coach was higher or lower than the performance of the replaced coach.
We employed the E test provided by Krishnamoorthy & Thomson (2002). The E test is computational demanding because is essentially equal to the one based on the parametric bootstrap approach, and has been computed using the StatCalc 3.0 program (Krishnamoorthy, 2014). The E test is partly based in the pivot statistic:

where 𝑉𝑋1,𝑋2 is the variance estimate of (𝑋1/𝑛1) − (𝑋2/𝑛2) under Ho: 𝑝1 = 𝑝2, and is given by:

The E test is preferable to the Z test which is only based on the pivotal 𝑍𝑋1,X2 statistic for practical use because it controls the Type I error rate much better than does the Z test. Both E and Z test rejects Ho when the p value is lees than or equal to α. For technical details see Krishnamoorthy & Thomson (2002).
This simplistic method has the advantage of considering uncertainty in the value of the winning percentage of teams. When a coach only leads a portion of all of the possible games of a season, it is highly desirable to depict the winning percentage obtained using an interval estimation because we are not sure if this punctual value at the moment of change reflects without error the strength of the team. This fact has not been addressed in past research on basketball, such as Fidel & D’itri (1999), Giambatista (2004) or McTeer, White & Persad (1995). This is also not considered in studies about other sports, such as soccer. For example, Wagner (2010) considered only the four prior and subsequent games after change in order to achieve the comparison. As we mentioned earlier, this was also not addressed by Martínez & Caudill (2013).
We consider this issue crucial for making comparisons among performance of different coaches when analysing midseason changes because we are comparing two samples of games from two hypothetical populations. Therefore, a statistical test is necessary to ascertain whether both populations are the same, i.e., if both winning percentages differ or are statistically the same. In addition, because the criteria to compare winning percentages is based on a probabilistic perspective, we believe that it outperforms the procedure presented by McTeer, White & Persad (1995), authors who subjectively considered 11 games played as a cut-off value for including cases in their study.
Statistical model
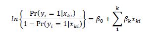
Once we determined which coaches improved team performance, we were interested in explaining successful changes. We created a new dichotomous variable yi for all the i cases, with 0 for “no success” (including the cases of no difference in performance and worse performance of new coaches), and 1 for “success” (better performance of new coaches). In addition, in order to explain such variation in performance, we identified variables that could influence the probability of success. Following the principles of General Linear Modelling, we built a logit model with the following specification:

where Xki was a set of predictors,
were the coefficients to be estimated.
We considered the following predictors: (1) the experience/expertise of new coaches reflected in games played in the NBA and the number of wins obtained; (2) the experience/expertise of new coaches as former NBA players; (3) the difference between the fraction of games played in a season before and after the coaching change; and (4) the winning percentage of teams at the moment of change. We explain the rationale for selecting those variables below:
Regarding the experience/expertise of new coaches, Salomo, Teichmann & Albrechts (2000) and Giambatista (2004) considered this variable as a good proxy for evaluating coaches’ abilities. In addition, Barros, Frick & Passos (2009) found that the probability of being dismissed was negatively affected by head coaches’ experience and their winning percentage. We consider a novel approach in this specific field to address this variable. We used a sigmoid function
(Schmueli, Patel & Bruce, 2007) in order to transform the distribution of the number of games played by a coach into a S-shaped curve. In this case A1refers to the number of NBA games played by a coach until the moment of signing with the new team, and is a parameter to adjust the curve to the desired rank of values. We hypothesised that this form of curve correctly reflects the effect of experience on performance, Therefore, increasing the number of games played yields a small effect of performance in the first steps of a coach’s career and when a coach has played a great number of games.
In order to create an easily interpretable index after the sigmoid transformation, we took the following steps: First, we considered the distribution of the number of games played by all of the coaches. This distribution was highly asymmetrical with a high number of zeros (new coaches without any previous experience in the NBA). Taking the form of this distribution, we computed its median (280 games) and then the deviation of each value from that median. These values ranged from -280 (rookie coaches) to 2170 (Hall of Famer Lenny Wilkens). Second, we calibrated the sigmoid function using the parameter in order to obtain a normalized [0,1] function. This calibration process yielded a λ=1/50. We strongly believed that this S-shaped curve was a better model for characterizing coaching experience, rather than other forms of learning gains, such as the natural logarithm transformation achieved by Giambatista (2004). Logarithm yields a curve with increased diminishing returns to the extent that experience grows. However, we think that in the first steps of an NBA coach’s career, gains in learning should be modelled using this type of exponential growth.
We followed exactly the same procedure with the number of wins by coaches because obviously playing many games and losing the majority of them is not the same as playing many games and winning a great percentage of them. Giambatista (2004) also used wins obtained by coaches, although with the natural logarithm transformation. We hypothesized that “winners” coaches should have a greater experience index (i.e., potential) than “losers”. Median of the distribution was 115.5, and deviation from median ranged from -115.5 (rookie coaches) to 1177 of Lenny Wilkens. In this case, the calibration process yielded a .Considering that the correlation between both measures of coaches experience (once transformed in a normalized form) was approximately 0.98, and in order to avoid multicollinearity problems, we aggregated both measures to finally obtain an index of coach experience ranged in a [0,2] interval1. Note the different parametrization with respect to the variables used by Martínez & Caudill (2013): number of previous games coached and the number of previous games won as a coach.
Recall that we speak about experience, expertise or ability of coaches in a similar way. We understand that they may be considered different concepts for some authors (e.g., Giambatista, 2004), but we only want to reflect the curriculum vitae of coaches defined by games managed and wins obtained, i.e., the a priori potential or quality of hired coaches.
Regarding experience as former NBA players, Goodall, Kahn & Oswald (2010) found that former star players make the best coaches. In addition, this expert knowledge effect was large. Therefore, we hypothesized that the experience of coaches as former players increased the probability of success. Goodall, Kahn & Oswald (2010) used several measures of experience. Following these authors, we also used measures such as the number of seasons played and the number of minutes played because we thought that this variable could measure the quality of experience of players in a more reliable way. Note that players could play many NBA seasons but with a marginal presence in the roster rotation, so minutes played could overcome this limitation. Martínez & Caudill (2013) also employed minutes played.
Thus, we created a first variable, the number of seasons played as NBA players, and a second variable, the minutes played/1000, similar to Martínez & Caudill (2013). As we thought Sshaped curve was the best way to characterize ability and performance variables, then we transformed both variables using the procedure previously depicted for the coach experience. However, we also tested the alternative specification of considering the first two variables in the original scales, as Goodall, Kahn & Oswald (2010) did. Therefore, we ran several models using these variables.
Regarding the difference between the fractions of games played in a season before and after the coaching change, we wondered if the probability of success increases with the parity of games played by replaced and new coaches. In addition, this variable could provide information regarding a “time effect”, i.e., if managing more games improves performance, as Martínez & Caudill (2013) explain.
Finally, we hypothesized that the winning percentage of a team at the time of change would be negatively associated with coach performance improvement. The rationale for this reasoning is straightforward: it will be easier to outperform a very bad winning percentage than a good winning percentage. Obviously, this association would be moderated for the intrinsic quality of each team considered because it would be easier for coaches of good teams to outperform a very bad winning percentage than for coaches of bad teams. However, as the proxy variable for evaluating team quality is the winning percentage at the end of the season, we did not consider using it as a predictor because the dependent variable was precisely measuring change in quality of teams due to the new coach effect.
Exclusion criteria
Not all of the changes should be considered. There are a considerable number of cases where a coach is fired and an assistant coach pilots a team during a few games. Often assistant coaches of the staff are chosen as temporary coaches for that purpose, i.e., they are interim coaches. After that, a new head coach is signed by that team. Consequently, we established as exclusion criteria to be an interim coach fulfilling some conditions because not all the interim coaches have to be excluded. Some of them manage teams until the end of the season, and others manage an important portion of games before a new head coach arrives. For example, in the 1994-95 season, Dan Issel resigned as the head coach of the Denver Nuggets with a win-loss record of (18-16). Gene Littles was the interim coach who led the team during 16 games before Bernie Bickerstaff signed as the new head coach. In such a case, we considered the performance of Gene Littles (3-13) in our analysis. Therefore, the record of Gene Littles (3-13) was compared with the performance of the replaced coach, Dan Issel (18-16), and the performance of the new head coach, Bernie Bickerstaff (20-12) was then compared with the replaced interim coach, Gene Littles (3-13).
Another important consideration stems from the number of games managed by a new coach. As we have explained, interim coaches occasionally coach several games during the transition between the time a coach resigns or is fired and the arrival of a new coach. However, there are occasions where the interim coach leads very few games at the end of the season. For example, in the 1980-81 season, Mike Fratello led only the 3 last games for the Atlanta Hawks as interim coach.
Another possibility is that teams fire a coach in the last games of a season and sign a new coach thinking primarily of the next season. This was the case with Donnie Butcher, who signed as a head coach of the Detroit Pistons in the 1966/67 season. Bucher only managed the last 8 games of that season, but he was the head coach for the following two seasons. Consequently, we established a minimum of 10 games as a threshold to include the performance of new coaches in our analysis.
In sum, we excluded temporary (interim) coaches who managed fewer than 10 games in the middle of the season or at the end of the season because the context of that change is not the same as signing a new coach to improve the team’s performance. When a new coach manages fewer than 10 games, this is probably due to an extraordinary situation such as a transitional period between the fired/resigned coach and the arrival of the new head coach. Sometimes that arrival occurs in the same season, but other times it takes place in the following season. When an interim coach directs more than 10 games, that likely reflects the general manager’s confidence in the interim’s ability to lead the team, and in such cases, the interim’s performance is compared with the replaced coach. This is an important contribution by our research compared to the study by Martínez & Caudill (2013).
Omitted variables
With regard to model specification, two important issues were not addressed: the home/away calendar and the strength of schedule. Both elements have been considered important to study the effect of firing a coach on team performance (Koning, 2003) because of the effect of home advantage (see Winston, 2009) and the effect of disparate winning percentages on the probability of win (see Huang, Weng & Lin, 2006).
However, there are important difficulties associated with considering these factors in our study. The main limitation arises from the practical impossibility of collecting data about the winning percentage of each team playing against all of the cases we have considered during more than 60 years of competition. Note that it would be necessary to “manually” register the winning percentage of rivals and if the game was played at home or away for the approximately 7500 games played by teams before changing a coach, and the approximately 8717 games played by the same teams after signing a new coach, i.e., a total of 16216 games. We say approximately because some games were played in a neutral venue. From 1950 to 1974, about 1461 games (13.77%) were played on a neutral court (Justin Kubatko from Basketball-Reference, personal communication).
In addition, there is interaction between the home/away variable and the winning percentage variable, so it was not been feasible to aggregate the winning percentage of teams played against the specified team that changed its coach in a season (this fact would have facilitated the task) because the home/away advantage acts in a different form for teams having better performance. As Koning (2003) claimed, the effect of the home advantage variable varies between teams. We made a small analysis in order to ascertain this in basketball. We obtained data from three seasons (from 2006/07 to 2008/09) and computed the number of total wins for each team and the percentage of home wins. The mean percentage of home wins was 0.61, indicating the influence of this factor for winning a game (11 points above the neutral value of 0.5). However, the distribution of values ranged from 0.46 to 0.73 in the 90 cases considered. Therefore, we correlated team wins with the percentage of home wins and we found a negative correlation of -0.33. This clearly indicated that, in the NBA, worse teams are relatively stronger in home than better teams.
Acknowledging the limitations of not accounting for the home/away variable and the strength of schedule, we made two simulations in order to study the possible bias in our results derived from omitting these variables. First, we analysed the effect of the disparity of calendar on the duality of home/away wins. Recall that all teams in the NBA play the same number of games at home vs. away (currently, 41 games). We used a database of team results from the 2006/07, 2007/08 and 2008/09 seasons, downloaded from NBA Stuffer. This database is a user friendly Excel resource that allows users to program different procedures to analyse the home/field advantage and the strength of schedule. Unfortunately, data are only available from the 2006/07 season.
We registered the number of home and away games for each team, and we ordered data in function of each team schedule. To achieve simulations, we considered only data from game number 15 to game number 67, which encompasses from approximately 18 to 82% of season games because almost of 90% of changes of coaches in the history of NBA occurred within this interval of percentages. We compared the number of home games with the number of expected home games in each partition that would be necessary to maintain the parity of home vs. away games. Note that we considered the number of home games in 54 different partitions (from 15 to 67 games). Next, we computed the difference between the observed and the expected number of home games for the 30 teams, for the three seasons and for the 54 disparate partitions (30x3x54=4860 cases). Figure 1 shows the results of the simulation. The shaded area represents data between the percentiles 5 and 95. Thereby, 90% of data falls under approximately -3 and 3 home games of difference. It is true that there are cases within the 0-5 and 95-100 percentiles where this difference becomes approximately 6 games (see dashed line), but we may say, with considerable prudency, that the calendar disparity does not yield an ostensible difference in home vs. away parity, in particular when data move away from the middle of distribution.

Second, using the same database of three NBA regular season games, we analysed differences in strength of schedule in the same 54 partitions. For example, for the 15 games partition, we compared the mean of opponents’ winning percentages at the end of the season (from game 1 to game 15) with the mean of the opponents’ winning percentages at the end of the season for the 67 remaining games (from game 16 to game 82). In order to avoid scale problems and to count with dispersion of data, we also completed the same analysis using the coefficient of variation, i.e., the standard deviation divided by the mean. Figure 2 shows the results of the simulation. The shaded area represents data between the percentiles 5 and 95. Thereby, 90% of data falls under approximately (-0.05 and 0.05) units of difference. Considering the winning percentage is a [0,1] variable, this represents only between -5% and 5% of variation. It is true that this difference is a little higher for coefficient of variation (dashed line), which indicates that there is also a difference in the dispersion of distributions (some teams play with more homogeneous rivals than others, with respect to the quality of teams). Contrary to Figure 1, differences become larger in the tails of the graphic.

In sum, acknowledging the shortcoming of omitting variables such as home field advantage and strength of schedule, these simulations show that the potential omitted information should not have an important effect on the probability of success. The lack of an available database to facilitate the registration of this great amount of data has been an impossible barrier to overcome. However, after viewing these simulations, we are convinced that our results are still robust and they are not importantly biased.
Interpretation and generalization of results
A final commentary regarding our methodology deserves to be highlighted. We have studied all the population of NBA midseason changes in the history of the league. There is no sample of changes, consequently, from a theoretical viewpoint, there is no inference from the sample to the hypothetical population. Therefore, we do not need statistical tests to analyse results2. However, this philosophy of analysis excludes any potential extension of results to other populations, such as other leagues, for example. In addition, this excludes any predictive inference about future changes in the NBA. Therefore, we also report statistical tests and confidence intervals in the analysis made with all the population of coaches. Extension to a hypothetical infinite population of coaches’ changes would require the following assumptions: (1) the changes of coaches analysed are a random sample of a population of changes in all the leagues of the world; (2) future conditions in the NBA will be the same (there will be no new systematic factors affecting change). The first assumption would be required to respond to the question: Does changing a coach within a season improve team performance in basketball (without restriction to the NBA)? And the second assumption would be necessary to make predictions. Taking into account the heterogeneity of basketball leagues in the world, placed in different countries with disparate sport cultures and systems of competition, the first assumption seems less plausible than the second. Therefore, we should be very cautious regarding the generalization of results. Nonetheless, these results are valuable by themselves because of the importance of the NBA league, and regardless any generalizations to other competitions.
Results
A total of 222 changes occurred during the period considered (from 1949-50 to 2015-2016). After applying the exclusion criteria, the total sample frame of coaches was 192 because 30 cases were dropped (Appendix 1).
We applied the E test to analyse whether the Win-Lose record (the winning percentage is computed as Wins/(Wins+Losses)) of new coaches was better, equal or worse than the WinLose record of the replaced coaches. The cut-off criteria for the p-value was 0.05. As Table 1 shows, 23 coaches outperformed the winning percentage of the replaced coaches. However, 10 new coaches performed significantly worse than the replaced ones (Table 2).


The remaining changes (159) were not significantly different, i.e., in 159 of the 192 cases the winning percentage of new coaches was statistically equal to the winning percentage of the replaced coaches. Consequently, only 23 of the 192 coach changes improved the performance of teams, i.e., only 11.98% of cases (Table 3).

Once we obtained the outperformed cases, we ran several logistic regression analyses employing Stata 13.0 using, as a dependent variable, the 23 successful cases as "ones" and the remaining unsuccessful cases (169) as "zeros". The independent variables were as follows: (1) coaching experience; (2) experience as former players; (3) split (the difference between the fraction of games played in a season before and after the coaching change); and (4) winning percentage of teams at the time of change. The different specifications of such variables were explained in the method section.
The best model presented an interaction between the split variable and the winning percentage of teams at the time of change. The parameter estimates are shown in Table 4 and compared with the results obtained by Martínez & Caudill (2013). The results of the disparate analyses supported the validity of the model as shown in Table 5.


Coaching experience and former experience as NBA players significantly increase the probability of a successful change. These results are similar to the results obtained by Martínez & Caudill (2013), but the evidence is stronger for coaching experience. Remember that we reparametrized both variables to be S-shaped. In addition, and similar again to Martínez & Caudill (2013), success is negatively related to the fraction of games coached by the replaced coach (Split). This implies that improvement in performance is more likely to take place as a larger number of games are played for the new coach.
However, and as a key divergence with respect to the study by Martínez & Caudill (2013), the winning percentage of teams at the time of change interacted with Split, which indicates a complex effect of both variables on the success of the change. For example, when Split diminishes, the probability of success increases, but only if the winning percentage at the time of change also decreases. If the winning percentage increases, it masks the negative effect of the reduction of Split. This indicates that Split has a more complex role in determining success than shown by Martínez & Caudill (2013) because its effects depend of the winning percentage of teams at the time of change.
Linktest is a type of misspecification test in which the square of the linear predictor (_hatsq) has to be non-significant. The Hosmer-Lemeshow test compares observed and predicted values in different deciles of the distribution and has to be non-significant. Running a test of the residuals sign is employed to analyse the independence assumption and has to be nonsignificant
Discussion and Managerial Implications
In this research, we made a complete review of the mid-season coaching changes that have occurred in the NBA history. We statistically compared the winning percentage of each team at the moment of change with the winning percentage under a new coach, in order to obtain a reliable test considering performance achieved in a sample of all of the games in a season. In addition, we tested a model in order to explain the success cases, i.e., when a new coach achieved statistically better results than the coach he replaced. We considered the study of Martínez & Caudill (2013) as a reference, but we complemented its results by overcoming some of its limitations, increasing the scope of the time and taking a different approach todata analysis.
Our study has the following four important differences from the research by Martínez & Caudill (2013): (1) We employ statistical analysis to analyse the success of the change; (2) We implement a model to analyse the determinant of successful changes in order to distinguish random changes in performance from real changes; (3) We exclude several cases of interim coaches who led for few matches before a new coach was signed, which would add noise to data; and (4) We compared the performance of a new head coach with the performance of the replaced coach and not with the sum of the performance of the replaced coach and interim coach.
Results show that changing a coach only improved performance in approximately 12% of cases, and instead decreased performance in approximately 5.20% of cases and had a neutral effect in the majority of cases (approximately 83%). This result indicates that NBA owners and general managers made bad decisions the vast majority of time given the financial costs associated with the change. These results are in some instance similar to the recent findings obtained by Ours & Tuijl (2016) regarding head coaches midseason changes in the Dutch professional football during 14 successive seasons; replacement of coaches does not improve team performance.
Given that coaches contracts are guaranteed (totally or partially), this result is noteworthy. For example, Mike Brown was fired from L.A. Lakers in the season 2012/2013, but he was still paid by the Lakers in the following season, where he was the head coach of the Cleveland Cavaliers. The Cavaliers also fired Brown at the end of the 2013/2014 season (Manfred, 2014).
Our results are restricted to the short-term, i.e., performance within a season. Recall that we did not consider play-off games, only regular season games. A new coach could achieve a great performance in the play-off series, but we excluded these types of games because we did not have a similar series of games managed by replaced coaches. Consequently, we acknowledge that these decisions might be successful in the long-term. Further research should explore this issue, along the same lines as Giambatista (2004). Nevertheless, it seems that owners followed a rational thinking with successful coaches because more than 75% of the coaches who obtained better results continued into the next season. In addition, because these coaching changes disrupt team stability, this result could partially support the findings of Montanari, Silvestre & Gallo (2008), who found that team stability and longevity of team relationships have a positive impact on performance.
The probability of success (i.e., the probability of new coaches improving performance) increased with the experience of new coaches (defined by the number of games managed and the number of wins achieved until the moment of change) as well as their experience as former NBA players (defined by the number of seasons played), but it was inversely related to the difference between games played by old and new coaches and moderated with the winning percentage of teams at the time of change.
It seems clear that if owners want to improve the probability of success when they fire a coach, then they have to hire a new coach with considerable experience as an NBA coach and as an NBA player. However, these types of coaches are typically the best paid, so owners and general managers have to make a difficult decision because of the trade-off between experience and salary.
Changing a coach in the earlier period of the season helps to improve performance. This indicates that when things go bad, it would be a wiser decision to fire a coach as soon as possible rather than to wait for more games to be played because there would not be enough time to redirect the situation. However, its effect depends of the winning percentage of the time at the moment of change. Among the teams that have a good Win-Lose record, the effect of the Split (time effect) vanishes. Therefore, changing a coach for the better teams of the NBA within a season is a very risky decision with a very low probability of success.
Limitations and Further Research
We recognize that all these conclusions are highly dependent of the procedure we used to compare the performance of coaches. We based our reasoning on the finite population approach for comparing proportions following a hypergeometric distribution. Note that this procedure requires the assumption that the number of games managed by coaches is a random sample of the hypothetical 82 games that they would play in the whole season. In addition, any sample realization (i.e., any result recorded) should be independent from the remaining games. Obviously, this is not exactly the reality. Games played by coaches could be considered a pseudo-random sample of games. In fact, they are not previously determined before a season starts. Although the schedule is known, it would be impossible to know how many games a fired coach and a hired coach would play, as well as the moment during the season when change would occur. Therefore, we believe the random sampling assumption is not severely problematic. Regarding independence, Arkes & Martínez (2011) found the existence of momentum in the NBA, i.e., the results of games partially depend on results from previous games, once several factors are considered. Although the marginal effect of momentum is small (approximately 3-4%), this nonetheless indicates that the independence assumption would be violated. We think that, considering the small impact of the momentum variable, our method is robust against this slight departure from independence of observations, but we acknowledge this fact as a limitation of our work.
Results also depend of the level of signification considered. We chose 0.05 (95% of confidence), as the vast majority of researchers do, but this is a subjective threshold, and results change if we increase alpha to 0.10 (90% of confidence). We have analysed results under this scenario, and the successful changes were 42 (21.87%) when alpha is 0.10 against 23 (11.97%) when alpha is 0.05. However, results of the determinants of the success after applying logistic regression are similar to the results obtained when alpha is 0.05, but with less explanatory power. Increasing the level of signification to 0.10 makes the results less reliable, so we think 0.05 is preferable.
Our research has another limitation derived from not considering resignation. Not all of the midseason changes are due to teams firing a coach because sometimes coaches resign. Future research should reanalyse data distinguishing both situations. Unfortunately, it is highly complicated in some cases to know if a coach resigned or was fired, so we decided not to consider this factor. Moreover, we collected reliable data approximately 75% of our cases, and only about 6% of cases were resignations.
We have also to acknowledge that in some occasions teams that changed a coach qualified for play-offs, and in some cases they did it well there. The most extreme case is the recent NBA champions, the Cleveland Cavaliers. David Blatt was fired after playing 41 games with a winning percentage of 0.73. Tyronn Lue was signed, and he led another 41 games with a winning percentage of 0.66. Therefore, this case is not a "successful" case because the winning percentage of the new coach was not significantly better than the winning percentage of the replaced coach, but obviously team owners were pleased with the final results of that change. However, it is impossible to know if the Cavs would have been won the championship if David Blatt had not been fired. In the 2005-06 season, another NBA Champion team, the Miami Heat, changed their coach. Stan Van Gundy resigned after a (11-10) record, and Pat Riley was signed (41-20). E test showed a non-significant increase in performance (p-value: 0.12), but Pat Riley won the championship. The same occurred in the 1981-82 season when again Pat Riley (50-21) was signed as coach of the Los Angeles Lakers. He did not outperform the winning percentage of Paul Westhead (7-4), but the Lakers won the championship. Similarly when Paul Westhead (50-18) replaced Jack McKinney (10-4) in the 1979-80 season, the Lakers won the NBA Championship. These were the only four cases when a team won the NBA Championship after a midseason change of coach.
An alternative form of interpreting the finite population approach would have been to compare the aggregated percentage of wins obtained by new coaches (0.41) against the aggregated percentage of wins earned by the coaches they replaced (0.38), i.e., to achieve a unique test of difference of proportions instead of the 192 tests achieved. Therefore, considering 15,309 games as the total population of games, with 8541 the number of games managed by new coaches and 6278 the number of games managed by old coaches, then 95% confidence interval around the two proportions would be (0.407; 0.421) and (0.367; 0.385). That is, in an aggregated form, new coaches significantly improved over the performance of their predecessors. This form of viewing the analysis would overcome the problem of the conservative individual tests but obviously does not allow for individual analysis of the success of change. However, we think it provides useful information regarding the trend of the change effect.
Nevertheless, a major limitation of our study arises from not controlling for midseason transactions. These types of transactions could improve (or decline) the quality of teams and could be a source of systematic noise in our analysis. Although data on transactions were available at Basketball-Reference, we think it would be highly complicated to analyse how these changes in rosters could influence results. Nevertheless, the most important changes in rosters are not usually achieved during midseason, but rather when a season ends. Therefore, the possible bias in our results would be of lesser importance that the potential bias of studies considering longitudinal approaches (e.g., Giambatista, 2004) or analysing the seasons before and after the coach were changed (McTeer, White & Persad, 1995). One of the possible solutions would be considering player talent as a proxy for the quality of the roster, as Fizel & D’itri (1999) did. However, how to measure the talent of players is a controversial issue in basketball (see Berri & Bradbury, 2010; Berri & Schmidt, 2010), and the way that Fizel & D’itri (1999) addressed this question is highly debatable. Consequently, it is a challenge for further research to try to account for this factor using the best measurement instrument.
Finally, the effect of a new coach on some variables related to performance could be reflected in the long term, not in the same season. Therefore, a positive or negative dynamic in several performance variables which have not a direct effect in the short term team performance are not considered in our study. Further research could achieve multifactorial studies to overcome this limitation.
Conclusion
In sum, and acknowledging the commented shortcommings, our research has advanced in the understanding of the effect of hiring new coaches on performance of NBA teams, when change is achieved in the middle of the season. Changing a coach is an important managerial decision which does not guarantee improvement in the short term, i.e. in the same season. Only about 12% of new coaches outperformed in a significantly way their predecessors. In order to maximize the probability of success, highly experienced coaches, with a long career as former NBA players should be signed. In addition, change should be made before season advances, although it depends of the winning percentage of teams at the moment of change. These results offer a complementary vision of Martínez & Caudill's (2013) study, overcoming some of its limitations, and after adding 19 new cases (coming from the 2010/11 to the 2015/16 seasons) to the analyisis.
Acknowledgments
El autor agradece la financiación recibida del proyecto ECO2015-65637-P (MINECO/FEDER). Asimismo, este trabajo es el resultado de la actividad desarrollada en el marco del Programa de Ayudas a Grupos de Excelencia de la Región de Murcia, de la Fundación Séneca, Agencia de Ciencia y Tecnología de la Región de Murcia proyecto 19884/GERM/15.
References
Arkes, J., & Martínez, J. A. (2011). Finally, evidence for a momentum effect in the NBA. Journal of Quantitative Analysis in Sports, 7(3), Article 13. https://doi.org/10.2202/1559-0410.1304
Audas, R.; Dobson, S., & Goddard, J. (1997).Team performance and managerial change in the english football league. Economics Affairs, 17(3), 30-36. https://doi.org/10.1111/1468-0270.00039
Barros, C. P.; Frick, B., & Passos, J. (2009). Coaching for survival: the hazards of head coachcareers in the German “Bundesliga”'. Applied Economics, 41(25), 3303-3311. https://doi.org/10.1080/00036840701721455
Berri, D. J., & Bradbury, J. C. (2010). Working in the land of metricians. Journal of Sports Economics, 11(1), 29-47. https://doi.org/10.1177/1527002509354891
Berri, D. J., & Schmidt, M. B. (2010). Stumbling on wins: Two economists expose the pitfalls on the road to victory in professional sports. New Jersey: FT Press.
Brown, M. C. (1982). Administrative succesion and organizational performance:The succession effect.Administrative Science Quarterly, 27,1-16. https://doi.org/10.2307/2392543
Eitzen, D.S. & Yetman, N.R.(1972).Managerial change , longevity and organizational effectiveness. Administrative Science Quarterly, 17, 10-116. https://doi.org/10.2307/2392099
Fizel, J. L. & D’itri, M. (1999). Firing and hiring of managers: does efficiency matter? Journal of Management, 25(4), 567-585. https://doi.org/10.1177/014920639902500405
Frick, B.; Pestana, C., & Prinz, J. (2010). Analysing head coach dismissals in the German ‘‘Bundesliga” with a mixed logit approach. European Journal of Operational Research, 200(1), 151-159. https://doi.org/10.1016/j.ejor.2008.11.048
Giambatista, R. C. (2004). Jumping through hoops: A longitudinal study leader life cycles in the NBA. The Leadership Quarterly, 15(5), 607-624. https://doi.org/10.1016/j.leaqua.2004.07.002
González-Gómez, F.; Picazo-Tadeo, A., & García-Rubio, M. A. (2011). The impact of a mid-season change of manager on sporting performance. Sport, Business and Management: An International Journal, 1(1), 28-42. https://doi.org/10.1108/20426781111107153
Goodall, A. H.; Kahn, L. M., & Oswald, A. J. (2010). Why do leaders matter? A study of expert knowledge in a superstar setting. Journal of Economic Behavior & Organization, 77(3), 265-284.
Huang, T. K.; Weng, R. C., & Lin, C. J. (2006). Generalized Bradley-Terry models and multi-class probability estimates. Journal of Machine Learning Research, 7(1), 85– 115
Koning, R. H. (2003). An econometric evaluation of the effect of firing a coach on team performance. Applied Economics, 35(5), 555-564. https://doi.org/10.1080/0003684022000015946
Krishnamoorthy, K. & Thomson, J. (2002). Hypothesis testing about proportions in two finite populations. The American Statistician, 56(3), 215–222. https://doi.org/10.1198/000313002164
Krishnamoorthy, K. (2006). Handbook of Statistical Distributions with Applications. Chapman & Hall/CRC. https://doi.org/10.1201/9781420011371
Manfred, T. (2014, May 12). Ex-NBA Coach Mike Brown Is Making A Ton Of Money For Getting Fired Twice In 2 Seasons. Retrieved March 3, 2017 from: http://www.businessinsider.com/mike-brown-salary-2014-5
Martínez, J. A. & Caudill, S. (2013). Does midseason change of coach improve team performance? Evidence from the NBA. Journal of Sport Management, 27(2), 108-113. https://doi.org/10.1123/jsm.27.2.108
McTeer, W.; White, P. G., & Persad, S. (1995). Manager/coach mid-season replacement and team performance in professional team sport. Journal of Sport Behaviour, 18(1), 58–68.
Montanari, F.; Silvestri, G., & Gallo, E. (2008). Team performance between change and stability: The case of Italian Serie A. Journal of Sport Management, 22(6), 701-716. https://doi.org/10.1123/jsm.22.6.701
Ours, J. van, & Tuijl, M. van (2016). In-season head-coach dismissals and the performance of professional football teams. Economic Inquiry, 54(1), 591-604. https://doi.org/10.1111/ecin.12280
Peñas, C. L. (2007). Aplicación de la regresión lineal en el estudio del impacto del cambio de entrenador sobre el rendimiento en el fútbol. European Journal of Human Movement, 19, 145-163.
Pfeffer, J., & Davis-Blake, A. (1986).Administration succession and organizational performance.How administrator experience mediates the succession effect. Academy of Management Journal, 29, 72-83. https://doi.org/10.2307/255860
Salomo, S., Teichmann, K., & Albrechts, C. (2000). The relationship of performance and managerial succession in the German Premier Football League. European Journal of Sport Management, 7, 99-117.
Schmueli, G., Patel, N. R., & Bruce, P. C. (2007). Data Mining for Business Intelligence: Concepts, Techniques, and Applications in Microsoft Office Excel with XLMiner. New Jersey: Wiley
Tena, J. D., & Forrest, D. (2007). Within-season dismissal of football coaches: Statistical analysis of causes and consequences. European Journal of Operational Research, 181(1), 362-373. https://doi.org/10.1016/j.ejor.2006.05.024
Wagner, S. (2010). Managerial succession and organizational performance—Evidence from the German Soccer League. Managerial and Decision Economics, 31(6), 415430. https://doi.org/10.1002/mde.1495
Appendix 1.
Dropped cases after applying exclusion criteria

Notes
Additional information
Correspondence/correspondencia: : José A. Martínez Universidad Politécnica de Cartagena. España Email: josean.martinez@upct.es