
Recepción: 25 Abril 2018
Aprobación: 08 Julio 2018
DOI: https://doi.org/10.5232/ricyde2019.05504
Resumen: El objetivo del estudio es analizar los cambios en el desarrollo de la coordinación motriz en el periodo escolar, determinando las diferencias en función de los diferentes ámbitos motrices (locomoción y con- trol de objetos), la edad, el género y la utilización de la mano o el pie en las pruebas. Participaron 2649 niños y niñas de edades comprendidas entre los 6 y 11 años. La coordinación motriz se midió con el test 3JS. Los resultados muestran una mejora progresiva de la coordinación a lo largo de la etapa, destacando diferencias entre niños y niñas (Z = -6,49, p < 0,01), siendo mayores en la coordinación Control de objetos (Tamaño del efecto hasta 0,262) y menores en la Locomoción. También los niños rindieron mejor que las niñas especialmente en Control de objetos con el pie, principalmente en la edad de 10-11 años. Podemos concluir que la edad y el género condicionan la coordinación motriz en la edad escolar.
Palabras clave: Desarrollo motor, control de objetos, locomoción, mano, pie.
Abstract: This study aims to analyse the development of motor coordination at school, establishing the diversities according to the different motor skills (locomotion and objects control), age, gender and the use of hands or feet in the tests. A sample of 2,649 boys and girls aged 6 to 11 years was used. Motor coordination was assessed using the 3JS test. The results show a progressive improvement of the coordination throughout the stage, highlighting that differences between boys and girls (Z = -6,49, p < 0,01) are bigger in objects control coordination (effect size up to 0,262) and less marked in locomotion. Furthermore, the boys performed better than the girls, especially when controlling objects with their foot, mainly aged 10 to 11 years. We can conclude that age and gender may condition motor coordination on school-age children.
Keywords: Motor Development, Objects Control, Locomotion, Hand, Foot.
Introducción
El Desarrollo Motor es un proceso complejo en el que múltiples factores intervienen para que las personas sean capaces de realizar las acciones motrices características de los humanos (Gallahue y Ozmun, 2006; Ulrich, 2007), y por tanto puedan llegar a sentirse competentes para superar los retos que diferentes tareas motrices complejas les plantean (Ruiz, 2004). En la actualidad, se considera muy importante analizar la evolución motriz durante los primeros años de vida, dado que aquellos jóvenes que tienen un mayor grado de competencia motriz, muestran más facilidad para ser físicamente activos (Wrotniak, Epstein, Dorn, Jones, y Kondilis, 2006), lo cual se relaciona con diferentes componentes de la salud física y mental (Janssen y LeBlanc, 2010). Una adecuada secuenciación de las actividades motrices en edades tempranas conseguiría establecer un modelo para poder ser físicamente activos a lo largo de toda la vida (Hulteen, Morgan, Barnett, Stodden, y Lubans, 2018; Stodden y col., 2008).
Los cambios en las habilidades motrices infantiles se producen gracias a la interacción entre los factores biológicos individuales, relacionados con la maduración, y el entorno que rodea a cada persona. De este modo, los niños se incorporan a patrones de movimiento más complejos y cada vez más adaptados a dicho entorno (Clark, 2007). Está aceptado que las habilidades motrices se desarrollan de forma ordenada y predecible y por ello, los investigadores se han esforzado en describir las secuencias en que evolucionan los diferentes movimientos relacionados con caminar, saltar, lanzar o manipular objetos (Ulrich, Ulrich, y Branta, 1988). Pero al analizar de manera pormenorizada estas secuencias, vemos que este proceso no es uniforme a lo largo de todo un periodo (Kokštejn, Musálek, y Tufano, 2017) y que el paso de una etapa a otra puede ser diferente para cada ámbito motriz, diferenciando la locomoción y el control de objetos (Mukherjee, Ting Jamie, y Fong, 2017) e incluso para cada habilidad motriz (Barnett, van Beurden, Morgan, Brooks, y Beard, 2010; Gabbard, 2011).
Aunque podemos observar que hay una mejora general en las habilidades motrices a lo largo de la edad escolar (Spessato, Gabbard, Valentini, y Rudisill, 2013), el grado de maestría alcanzado fluctúa con los años, dándose un rápido crecimiento a los 5-6 años y estabilizándose después (Sgrò, Quinto, Messana, Pignato, y Lipoma, 2017; Valentini y col., 2016).
Diferentes trabajos han profundizado en el análisis de las diferencias motrices vinculadas al género. Aunque algunos estudios indican la ausencia de diferencias entre niños y niñas (Mukherjee y col., 2017; Vlahov, Baghurst, y Mwavita, 2014), la mayoría destacan que sí hay diferencias en el desarrollo de las habilidades motrices en relación al género. En la etapa infantil, Temple, Crane, Brown, Williams, y Bell, (2016) indican que podemos ver como los niños puntúan mejor que las niñas en los test motrices, y lo mismo ocurre en los primeros años de la edad escolar (Plimpton y Regimbal, 1992), al acercarse a la pubertad (Sgrò y col., 2017) y durante la adolescencia y la etapa de jóvenes adultos (Jiménez-Díaz, Salazar-Rojas, y Morera, 2015).
Cuando analizamos cómo se producen esas diferencias de género, observamos que no son homogéneas. Algunos estudios indican que los niños tienen un mayor rendimiento tanto en las habilidades de locomoción como en las de control de objetos (Jiménez-Díaz y col., 2015; Spessato y col., 2013; Valentini y col., 2016), aunque Sgrò y col. (2017) localizan las diferencias sólo en algunos años (7, 8 y 10 años); Otros estudios indican una superioridad femenina, pues las niñas obtienen un mejor cociente motor gracias a que puntúan mejor en locomoción, aunque en control de objetos no hay diferencias (Cliff, Okely, Smith, y McKeen, 2009). Otras veces, no hay diferencias en la locomoción, pero los niños tienen mejores resultados en control de objetos (Barnett y col., 2010; Freitas y col., 2015) y en otros casos, las niñas tienen mejores puntuaciones en locomoción y peores en control de objetos (Hardy, King, Farrell, Macniven, y Howlett, 2010).
Esta alta variabilidad ha impulsado a los investigadores a considerar la coordinación motriz como un factor más estable en el estudio de la evolución motriz (Magill, 2007). La coordinación motriz es un constructo general que subyace al desarrollo de las habilidades motrices básicas y las especializadas (Vandorpe y col., 2012) y cuyo análisis permite poder detectar las necesidades individuales y que profesores de educación física o entrenadores puedan establecer objetivos alcanzables, lo cual evitaría que los niños se enfrentaran a situaciones de fracaso reiterado al no alcanzar los objetivos de las tareas previstas (Ruiz, 2004). Además, existe bastante consenso sobre las consecuencias derivadas de no poseer un desarrollo adecuado del nivel de coordinación en la etapa escolar, entre las que podemos encontrar la dificultad de enrolarse en una actividad física habitual, de relacionarse con compañeros o de desarrollar un nivel de autoestima adecuado (Ruiz, Mata, y Moreno, 2007).
La coordinación motriz está considerada como un factor más estable que el análisis de cada habilidad motriz de forma individualizada (Vandendriessche y col., 2011), pues en un estudio solo con niños, la coordinación mejoró progresivamente y de forma mantenida año a año durante el periodo escolar, con un ajuste de la curva en los percentiles 25, 50 y 75 de 0,99, 1 y 0,98 respectivamente (Cenizo-Benjumea, Ravelo-Afonso, Ramírez-Hurtado, y Fernández- Truan, 2015), y confirmado en niños y niñas en un estudio longitudinal (Lopes, Rodrigues, Maia, y Malina, 2011; Luz y col., 2016). Sin embargo, podemos apreciar que al analizar las diferencias de género en la coordinación motriz, observamos que las niñas tienen un menor rendimiento que los niños aunque no en todas las pruebas que conforman los test (D’Hondt y col., 2011; Luz y col., 2018), lo cual también revela cierta variabilidad. Ruiz y Graupera (2003) no encuentran diferencias de género en edades tempranas en la coordinación motriz, pero a partir de los 7 años, aunque no hay diferencias tomando las puntuaciones totales del test, cuando analizan algunas de las pruebas independientemente, los niños obtienen mejores resultados en las acciones de lanzamiento y atrape de pelota.
Estas variaciones relacionadas con la edad y con el género también están vinculadas a la maduración. Luz y col. (2016) indican que las diferencias entre niños y niñas están relacionadas con la maduración biológica durante la pubertad, pero en la infancia están más relacionadas con diferencias en la socialización o con la oportunidad de realizar unas actividades u otras. Por lo tanto, el contexto social (Blatchford, Baines, y Pellegrini, 2003) puede tener relevancia a la hora de practicar diferentes habilidades y, consecuentemente alcanzar un grado de rendimiento mayor en unas u otras. Butterfield, Angell, y Mason (2012) en Estados Unidos no encuentran diferencias entre niños y niñas en la recepción y la patada, aunque si en el lanzamiento y el bateo, mientras que en Inglaterra indican que las niñas tienen mejores resultados en pruebas de equilibrio y peores en patada y recepciones (Bryant y col., 2014), y en Australia, las niñas puntúan peor en patadas y lanzamientos (Barnett y col., 2010).
Estas diferencias pueden estar mostrando además una posible diferenciación en las dimensiones de la coordinación de los movimientos con distintos propósitos, locomoción y control de objetos, e incluso dentro de este último, un probable desajuste entre las acciones realizadas con manos o pies, debido a factores sociales (Blatchford, Baines, y Pellegrini, 2003) o a factores cualitativos de ejecución de alguna de ellas (Gromeier, Koester, y Schack, 2017). No hay ningún estudio que tome esto en consideración, asumiendo un componente de coordinación diferenciando el control mano-pie, pues sólo se han hecho comparaciones de habilidades realizadas con la mano o con el pie, como un lanzamiento o una patada.
Por ello, el objetivo del estudio es analizar los cambios en el desarrollo de la coordinación motriz a lo largo del periodo escolar, determinando las diferencias en función de los distintos ámbitos motrices (locomoción y control de objetos), de la edad, el género y la utilización de la mano o el pie en las pruebas.
Método
Participantes
Participaron en esta investigación 2.649 alumnos de centros públicos de Primaria de Andalucía, con edades comprendidas entre los 6 y los 11 años. Los participantes fueron seleccionados mediante muestreo por conveniencia. El porcentaje de cada edad osciló entre un 14% de personas con 9 años y un 19% de 7 años, con lo que existe una homogeneidad en la representatividad de cada grupo de edad. El 51% de los participantes fueron niños y el 49% niñas.
A los padres de los participantes, en cumplimiento de las normas éticas exigidas en la investigación con personas, se procedió a informarles detalladamente por escrito de las características y procedimientos de realización de la prueba que realizarían sus hijos y firmaron el consentimiento informado previo.
Instrumento y procedimiento
El nivel de Coordinación motriz fue establecido a través del test 3JS. Se trata de un test de tipo cualitativo orientado al proceso de ejecución, por lo que la valoración del mismo se realiza mediante la observación y evaluación objetiva de la ejecución de las tareas y habilidades ejecutadas. El test ha sido validado para la población escolar de 6-12 años, y cuenta con una alta consistencia interna (Alfa de Cronbach = 0,82), muy alta estabilidad temporal (coeficiente de correlación = 0,99) y concordancia inter-observadores (coeficiente correlación = 0,95). La validez se comprobó mediante la opinión intuitiva de expertos (Cenizo-Benjumea, Ravelo-Afonso, Morilla-Pineda, Ramirez-Hurtado, y Fernández-Truan, 2016).
El 3JS se compone de siete pruebas (carrera, salto, giro, lanzamiento, bote, conducción y golpeo con el pie), y cada una se califica de 1 a 4, indicando el 1 el desarrollo más inmaduro en dicha habilidad y el 4 el desarrollo óptimo o maduro de la ejecución. Una descripción pormenorizada del test, las habilidades que lo componen y el método de puntuación puede consultarse en (Cenizo-Benjumea, Ravelo-Afonso, Morilla-Pineda, y Fernández-Truan, 2017). Las variables utilizadas en este estudio derivadas de la valoración de las diferentes tareas que componen este instrumento son:
Coordinación motriz (CM) es la suma de las siete tareas del test (toma valores entre 7 y 28 puntos); Locomoción (LOC) es la suma de las variables salto, giro y carrera (valores entre 3 y 12); Control de objetos (CO) es el sumatorio de las variables golpeo con el pie, lanzamiento con la mano, bote y conducción (valores entre 4 y 16); Control objetos con la mano (COM) entendido como suma de las variables lanzamiento y bote (valores entre 2 y 8); Control objetos con el pie (COP) que es la suma de las variables golpeo con el pie y conducción (valores entre 2 y 8).
La comparación directa de las distintas variables dependientes no es posible en términos absolutos debido a que su rango es diferente. Para poder profundizar en el análisis comparativo, y de acuerdo con la propuesta de Cenizo-Benjumea y col. (2015) analizamos como variable el Ratio. Este se obtiene de dividir el valor conseguido en cada capacidad y la puntuación máxima que puede conseguir en cada una (12, 16, 8, 8 respectivamente) multiplicado por 100. La variable “Diferencia Ratio” se obtiene de restar el ratio relativo a un ámbito de la coordinación y el otro.
Análisis estadístico
El estudio de las variables de interés derivadas de las puntuaciones del test 3JS, analizando las frecuencias y estadísticos descriptivos, media (M), mediana (Mdn) y desviación típica (DT), por grupos de edad y sexo se realizó utilizando el programa SPSS Statistics 24. Se comprueba el supuesto de normalidad de la variable coordinación y de cada una de las variables que resultan de las pruebas del test. Las puntuaciones del test 3JS de CM no se distribuyen de forma normal tal como indican los valores en el test de Kolmogorov-Smirnov, (ZKS = 0,081, p = 0,000). Se aplican por tanto pruebas no paramétricas para contrastar diferencias en la coordinación motriz medida con el test 3JS, en función del sexo y de la edad.
Para el estudio comparativo entre sexo y los distintos grupos de edad se aplicaron pruebas no paramétricas (U. de Mann Whitney y Kruskal-Wallis respectivamente) con un nivel de significación de 0,05, así como la cuantificación de la magnitud de las diferencias entre los grupos, mediante el tamaño del efecto a través de r de Rosenthal con los umbrales trivial (0,0-0,19), pequeño (0,2-0,59), moderado (0,6-1,1), largo (1,2-1,9).
Resultados
Estadísticos descriptivos de las puntuaciones del test 3JS
El rango de puntuación del test 3JS es de 7 a 28 y el rango observado en la muestra fue de 8 a 28 con lo que se registra una dispersión acorde al tamaño de la muestra y con una distribución de las puntuaciones de forma simétrica. Las medidas de tendencia central fueron M = 19,6 (DT = 3,82) y Mdn= 19,0 valores de ambos estadísticos por encima del punto medio del test. En el grupo de niños los estadísticos descriptivos para la CM son M= 21,1 y DT= 3,88 y en las niñas M= 18,1 y DT= 3,07.
Considerando las variables definidas para este estudio, se obtiene una puntuación media en la LOC de 9,23 (rango de 4 a 12) y en CO la puntuación de 10,42 (rango de 4 a 16). Dentro de esta última, se alcanza una media más alta en COM (M=5,52) con respecto al COP (M=4,89) (rango de 2 a 8 en ambos casos).

DT. Desviación Típica; CM. Coordinación; LOC. Coordinación Locomoción; CO Coordinación Control de objetos; COP Coordinación Control Objetos con el Pie; COM Coordinación Control Objetos con la Mano.
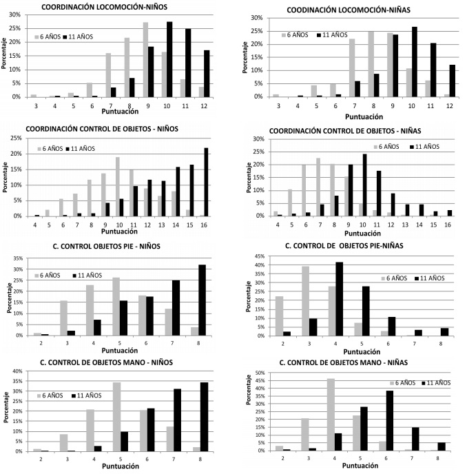
En el análisis de las frecuencias del registro de las distintas puntuaciones de las manifestaciones de la Coordinación (Figura 1), se observa que sólo un 0,2% de la muestra obtiene la puntuación mínima; 3 puntos en LOC y 4 en el CO. El 7% de la muestra consiguen la madurez (puntuación máxima) en la LOC y un 4,2% en el CO. La frecuencia absoluta más alta corresponde al valor nueve puntos en ambas manifestaciones de la coordinación (25,5% para LOC y 16,2% en CO).
Los porcentajes de puntuación más frecuentes obtenidos en la LOC se encuentran entre 8 y 11 puntos, 79,09% en niños y 80,78% en niñas. En el CO encontramos diferencias en cuanto al sexo en el rango donde se puntúa más, el 70,73% de los niños entre 10 y 15 puntos y el 71,91% de las niñas entre 7 y 10.
El número de sujetos que obtiene la puntuación mínima en la COM es menor. Por el contrario, es mayor el que consigue la máxima puntuación en COP. El 77,5% de la muestra obtiene 5 o más puntos en COM y el 50,4% en COP. El 70,6% de la muestra se encuentra entre los valores centrales de 4 y 6 en COM y el 58,6% en COP.

Los niños evolucionan de los 6 años hasta los 11 en el COP comenzando con mayores frecuencias en los valores 3, 4, 5 y 6 (83,1%), terminando en los valores 5, 6, 7 y 8 (90,3%). En las niñas existe una evolución similar, pero en este caso desde los valores 2, 3 y 4 a los 6 años (89,6%), hacia 4, 5 a los 11 años (80,4%). En la variable COM, en los niños existe una evolución muy parecida a la descrita para la variable COP, pero en las niñas hay una mayor evolución desde valores iniciales de 3, 4 y 5 (89,6%) hacia 5, 6 y 7 (81,3%).
La CM mejora en niños y niñas prácticamente en la misma medida (28,28% niñas y 26,34% niños) pero debemos tener en cuenta que los niños parten de un nivel inicial más alto y, por lo tanto, es menor el margen de mejora.
El porcentaje de mejora en LOC y en CO es similar en ambos sexos, 17,85% y 32,54% en niños y 19,17% y 38,68% en niñas. En ambos sexos la mejora del CO prácticamente duplica a la de LOC. En la evolución de las variables COM Y COP existen diferencias en cuanto a los porcentajes de mejora, 33,76% y 31,52% en niños y 37,62% y 40% en niñas.
Al analizar la diferencia entre el Ratio Locomotriz (RLOC) y el Ratio Control de objetos (RCO), los resultados (tabla 2) muestran un valor mayor en las niñas en todas las edades estudiadas. Las mayores diferencias se encuentran a los 6 años en ambos sexos y va disminuyendo a medida que aumenta la edad. La diferencia entre los 6 y los 11 años es mayor en los niños (7,8%) que en las niñas (4%).
Cuando se analiza la diferencia Ratio Control de objetos pie y mano, los resultados indican que en todas las edades y en ambos sexos, las puntuaciones que alcanzan en el Control de objetos con la mano, es superior a la lograda con el pie. Esta diferencia es mayor en los últimos años estudiados en ambos sexos. Las diferencias en las puntuaciones a favor del control de objetos con la mano, es superior en las niñas en todas las edades.

DT. Desviación Típica RLOC. Ratio Locomoción; RCO Ratio Control de objetos; RCOP Ratio Coordinación Control Objetos con el Pie; RCOM Ratio Coordinación Control Objetos con la Mano; DifR Diferencia de los Ratios
Coordinación motriz por sexo y edad
Respecto a las diferencias en los grupos por sexo, el desarrollo locomotriz en el grupo de niñas es menor que en el grupo de niños obteniéndose diferencias significativas entre ambos grupos (Z = -6,49, p < 0,01). En las otras tres variables analizadas de forma comparativa entre los dos grupos, las puntuaciones de los niños son superiores a las de las niñas y esas diferencias se muestran también como significativas: control de objetos (Z = -26,527, p < 0,01), control de objetos con la mano (Z = -19,16, p < 0,05) y control de objetos con el pie (Z = -28,55, p < 0,05).
Cuando se analizan diferencias entre los grupos de niñas y niños en las distintas pruebas que componen el test 3JS, se muestran diferencias significativas en las puntuaciones de todas ellas, siendo mayores siempre en el grupo de varones, excepto en las pruebas de salto en las que no hay diferencias significativas entre los dos grupos (Tabla 3).

La conducción y el golpeo son las pruebas en las que aparecen mayores diferencias entre los dos grupos, tal como indican sus respectivos tamaños del efecto, siendo los niños los que tienen mayores puntuaciones, tal como se vio anteriormente.
El análisis para contrastar si la variable edad aporta diferencias significativas en las puntuaciones obtenidas en cada una de las manifestaciones de la Coordinación, muestra significación para las diferencias observadas en locomoción (Χ2 (5) = 337,74, p < 0,001), control de objetos (Χ2 (5) = 382,65, p < 0,001), control de objetos con la mano ( Χ2 (5) = 502,58, p < 0,001 ) y control de objetos con el pie ( Χ2 (5) = 212,64, p < 0,001 ). Así mismo, si se analizan las diferencias en las siete pruebas que componen el test 3JS las diferencias entre los grupos de edad son significativas para todas ellas (p < 0,001). El tamaño del efecto (Tabla 4.) muestra que las diferencias en el control de objetos, respecto al sexo en todos los grupos de edad son mayores que las diferencias en locomoción. Dentro del control de objetos las mayores diferencias entre niños y niñas en todos los grupos de edad se muestran en el control de objetos con el pie.
Cuando se analizan las diferencias entre sexos por grupos de edad, los resultados recogidos en la Tabla 4, muestran que las diferencias entre niños y niñas son mayores en el COP y menores en la LOC. Si bien los tamaños del efecto son muy pequeños en todos los casos, es útil su interpretación de forma comparativa para valorar las diferencias de los distintos aspectos de la CM a diferentes edades entre los grupos de distinto sexo, así como los cambios que se observan en esta etapa escolar (Figura 2).

r Tamaño del efecto

Discusión
El objetivo de este estudio ha sido analizar los cambios que se producen en la coordinación motriz a lo largo del periodo escolar (6 a 11 años), estableciendo la relación con el género de los participantes, y profundizando en los diferentes ámbitos de la misma (locomoción y control de objetos), así como la implicación segmentaria en la ejecución de algunas de las habilidades (mano o pie). Los resultados indican que aunque la evolución de la coordinación motriz es similar en niños y niñas, se encuentra una diferencia de rendimiento a favor de los niños, más acentuada a partir de los 10 años y en las acciones realizadas con el pie.
El desarrollo de la coordinación motriz durante la edad escolar ha sido centro de investigaciones con el objeto de analizar los cambios que se producen a lo largo de la etapa. Los resultados del presente estudio indican que la coordinación motriz aumenta progresivamente con la edad y en todas las manifestaciones de la misma, lo cual refuerza lo indicado por Magill (2007) respecto de la importancia del estudio de la coordinación motriz, dada la estabilidad que muestra la coordinación respecto al análisis individualizado de las habilidades. Es lógico que ocurra de esta manera porque el valor total de coordinación es una suma de diferentes habilidades, y dicha suma equilibra los posibles desajustes que se puedan dar entre cada una de las pruebas. Así, en base a los resultados de este estudio, la coordinación motriz es un valor relacionado con la edad, lo cual concuerda con los resultados de Vandendriessche y col. (2011).
Cuando se toman todos los valores del test, la edad tiene un efecto definitivo en evolución motriz (Spessato y col., 2013), pero al mostrarlos separados por ámbitos, vemos que los componentes de locomoción y control de objetos son diferentes, no habiendo una mejora con la edad en las niñas en el tramo de 5-8 años en el componente LOC. Wong y Yin Cheung (2010) destacan la importancia de que los test de coordinación reflejen estas dos dimensiones. Esto refuerza la idoneidad del test 3JS. Sin embargo, Sgrò y col. (2017) encuentran diferencias en la motricidad gruesa al avanzar en el periodo escolar. En su caso emplean el test TGMD en su primera edición, en la cual, de las 12 pruebas, 7 reflejan el componente locomotor y 5 el de control de objetos, y por tanto, la aportación final de cada uno de ellos está desproporcionada, lo cual puede condicionar los resultados, dado que diferentes estudios indican que cada ámbito evoluciona de forma diferente (Valentini y col., 2016).
El test 3JS también diferencia el ámbito locomotor y el de control de objetos, puntuando este último con mayor valor (16 frente a 12) pero subsanado con el estudio de los ratios. De acuerdo con los resultados del estudio de esta variable, al igual que se indica en varios trabajos (Cepicka, 2010), cada ámbito evoluciona de forma diferente. También, y corroborando los resultados obtenidos en diferentes estudios (Barnett y col., 2010; Freitas y col., 2015), se observa un menor rendimiento de las niñas en el ámbito control de objetos.
La figura 1 representa gráficamente la frecuencia de registro de cada ámbito (LOC y CO) a los 6 y 11 años diferenciado por género. Si bien la LOC tiene una distribución muy parecida en los dos géneros, en CO se observa como a los 11 años, los niños puntúan en los valores más altos en mayor porcentaje. Esta diferente distribución de las frecuencias tiene su reflejo en las diferencias encontradas (Tabla 4 y figura 2), con tamaños del efecto mayores en CO con la mano (TE= 0,192) y sobre todo en CO con el pie (TE= 0,239) a los 11 años. Spessato y col. (2013) indican que si bien los niños puntúan mejor en los dos ámbitos y en todas las edades, es sobre todo en CO dónde las diferencias son más marcadas. Algo similar destacan Valentini y col. (2016), indicando que los niños tienen valores más altos en los LOC y CO, pero de las seis pruebas de LOC, sólo son mejores en carrera, salto y deslizamiento, mientras que, en CO, obtienen mejores valores en las seis pruebas, siendo el tamaño del efecto mayor en bateo, patada y lanzamiento.
Es difícil encontrar una explicación a estas diferencias de género, dado que existen algunos precedentes contradictorios. Vlahov y col. (2014) indican que no hay diferencias entre locomoción y control de objetos en los primeros años, al igual que Bonvin y col. (2012), que no obtienen diferencias de género en niños de 3,4 años de edad. Sin embargo, al crecer, Flatters, Hill, Williams, Barber, y Mon-Williams (2014) encuentran que tareas de precisión de lanzamiento, las niñas de menor edad (4-5 años) puntúan mejor que los niños, pero al llegar a los 10-11 años el resultado se invierte. Estas variaciones en la edad parecen indicar que al margen de la maduración, también existe un componente social relacionado la motricidad en cuanto a las posibilidades de poder practicar algunas de estas habilidades.
Esta superioridad masculina sustentada por la literatura también podría tratar de explicarse por el rendimiento de las capacidades implícitas en las habilidades analizadas. Así, sabemos que los niños puntúan mejor en la organización espacial y temporal (Bucco-dos Santos y Zubiaur-González, 2013), y sabemos igualmente que las mujeres adultas tienen peores resultados en tareas de precisión de lanzamiento, debido a un menor rendimiento en la capacidad de alineamiento espacial (Moreno-Briseño, Díaz, Campos-Romo, y Fernandez- Ruiz, 2010). Sin embargo, Butterfield y col. (2012) no encuentran diferencias entre niños y niñas en la recepción y la patada, aunque si en el lanzamiento y el bateo, lo cual refuerza lo dicho anteriormente sobre la dimensión social.
Según Blatchford y col. (2003) los niños son más propensos a engancharse en juegos y deportes de equipo, lo cual explicaría sus mejores resultados en CO, mientras que las niñas son más propensas a los juegos creativos y actividades gimnásticas, lo que explicaría sus mejores resultados en equilibrio y saltos. Es curioso el resultado del estudio asiático de Mukherjee y col. (2017), que no encuentran diferencias de género en CO. Indican que en el sistema escolar de Singapur, niños y niñas tienen aseguradas igualdad de oportunidades en la práctica de actividad física, lo cual limita que puedan darse diferencias.
En cuanto a las diferencias de género en las habilidades de mano-pie, la figura 2 muestra la evolución del tamaño de efecto para el ámbito LOC (no se aprecian cambios con la edad), y diferenciado el control de objetos mano-pie. Mientras, que con la mano, el tamaño del efecto no llega a 0,2 y por tanto puede ser considerado trivial, vemos que con el pie siempre hay diferencias por encima de 0,2 (diferencias pequeñas) y a partir de los 9-10 años, esas diferencias aumentan ligeramente. Estas diferencias pueden justificarse por la distinta distribución de las puntuaciones en cada ámbito. En los chicos, en CO con el pie se da una concentración de las puntuaciones entre 3 y 5 puntos (82,26%). En control de objetos con la mano, el 87,52% de los niños puntúa en el intervalo de 5 y 8 puntos, mientas que el 83,49% de las niñas lo hace entre 4 y 6.
Dos estudios anteriores han tenido resultados contradictorios. Butterfield y col. (2012) indican que las niñas tienen peores resultados en lanzamiento y bateo, pero no, en recepción y patada. Sin embargo, Barnett y col. (2010) afirman que las niñas lanzan y patean peor. Ninguno de los estudios ha analizado el valor de la coordinación tomando un conjunto de datos de varias habilidades, por lo que es difícil extraer conclusiones.
Los movimientos de precisión realizados con las manos forman parte del repertorio motriz casi desde el nacimiento, mientras que el uso normal de los pies se orienta más a la locomoción. Sin embargo, aquellos sujetos que se impliquen en actividades deportivas que exijan el CO con los pies, tendrán más posibilidades de avanzar en su desarrollo. Spessato y col. (2013) señalan que las niñas rinden menos sobre todo en CO, y las diferencias aumentan conforme se acercan a la pubertad. Indican que en muchas ciudades de Brasil, las clases de educación física escolares no están dirigidas por profesores especialistas, y que la mayor parte de tiempo que los jóvenes hacen deporte, lo hacen en su tiempo libre, de ahí que el fútbol sea absolutamente dominante para los niños y bastante excluyente para las niñas. En Andalucía, la encuesta de hábitos indica que el 49% de los escolares practica el fútbol (Junta de Andalucía, 2016). Todo ello puede explicar desde el punto de vista social los mejores resultados con el pie de los niños.
Analizando la acción de lanzamiento, Gromeier y col. (2017) indican que al pasar de la infancia a la pubertad, las diferencias entre niños y niñas pasan a ser mayores en los aspectos cualitativos del movimiento respecto a los cuantitativos. Sus resultados coinciden con los de Lorson y Goodway (2008) pues los dos destacan diferencias negativas en las niñas en la acción de pies durante el lanzamiento.
El test 3JS es un test orientado al proceso y no al resultado, que refleja la realización o no de unos aspectos cualitativos del movimiento. Podemos pensar que un efecto similar se puede estar produciendo en el CO con el pie.
Algunos autores han mostrado diferencias en los resultados entre niños y niñas que se hacen más importantes al acercarse a la pubertad (Ruiz y Graupera, 2003; Spessato y col., 2013). El rol de la maduración debe ser tenido en cuenta a la hora de establecer las diferencias de género. Luz y col. (2016) concluyen que las diferencias en la maduración, tiene una relación directa con la competencia motriz en la pubertad. durante la pubertad, dan lugar a peores resultados en las acciones que implican desplazamiento En el presente estudio, las mayores diferencias se han encontrado en las ratios control de objetos con el pie, sobre todo a los 10-11 años. Según indican Katzmarzyk, Malina, y Beunen (1997) la maduración del sistema neuromuscular puede mejorar los resultados motrices, pero los cambios acentuados en la masa corporal que se producen en las niñas durante la pubertad, dan lugar a peores resultados en las acciones que implican desplazamiento.
Las pruebas de CO con el pie del test 3JS implican la conducción de una pelota por un espacio, y la patada se realiza tras un breve desplazamiento de aproximación. Tal vez las características intrínsecas de estas pruebas, unidas a la cercanía de la pubertad, puedan explicar las diferencias con los niños.
Conclusiones
La evolución de la coordinación motriz se incrementa a lo largo del periodo escolar. Sin embargo, podemos apreciar diferencias relacionadas con la edad y el género para los diferentes ámbitos de la coordinación. En general, los niños obtienen un mejor rendimiento motriz, sobre todo en control de objetos, y dentro de éste, sobre todo en las acciones realizadas con el pie.
La limitación del trabajo es que se trata de un estudio transversal. La posible relación con la maduración deberá ser tenida en cuenta en estudios posteriores para poder corroborar las causas, así como el comportamiento que experimentan los diferentes ámbitos de la coordinación motriz tras una intervención en uno de ellos.
Referencias
Barnett, L. M.; van Beurden, E.; Morgan, P. J.; Brooks, L. O., & Beard, J. R. (2010). Gender differences in motor skill proficiency from childhood to adolescence. Research Quarterly for Exercise and Sport, 81(2), 162–170. https://doi.org/10.1080/02701367.2010.10599663
Blatchford, P.; Baines, E., & Pellegrini, A. (2003). The social context of school playground games: Sex and ethnic differences, and changes over time after entry to junior school. British Journal of Developmental Psychology, 21(4), 481–505. https://doi.org/10.1348/026151003322535183
Bonvin, A.; Barral, J.; Kakebeeke, T. H.; Kriemler, S.; Longchamp, A.; Marques-Vidal, P., & Puder, J. J. (2012). Weight status and gender-related differences in motor skills and in child care - based physical activity in young children. BMC Pediatrics, 12(1), 557. https://doi.org/10.1186/1471-2431-12-23
Bryant, E. S.; Duncan, M. J.; & Birch, S. L. (2014). Fundamental movement skills and weight status in British primary school children. European Journal of Sport Science, 14(7), 730–736. https://doi.org/10.1080/17461391.2013.870232
Bucco-dos Santos, L.; & Zubiaur-González, M. (2013). Desarrollo de las habilidades motoras fundamentales en función del sexo y del índice de masa corporal en escolares. Cuadernos de Psicología del Deporte. 13(2), 63-72
Butterfield, S. A.; Angell, R. M.; & Mason, C. A. (2012). Age and Sex Differences in Object Control Skills by Children Ages 5 to 14. Perceptual and Motor Skills, 114(1), 261–274. https://doi.org/10.2466/10.11.25.PMS.114.1.261-274
Cenizo-Benjumea, J. M.; Ravelo-Afonso, J.; Morilla-Pineda, S., & Fernández-Truan, J. C. (2017). Test de coordinación motriz 3JS: Cómo valorar y analizar su ejecución. Retos, 32, 189–193.
Cenizo-Benjumea, J. M.; Ravelo-Afonso, J.; Morilla-Pineda, S.; Ramirez-Hurtado, J. M., & Fernández-Truan, J. C. (2016). Design and validation of a tool to assess motor coordination in primary. Revista Internacional de Medicina y Ciencias de la Actividad Física y el Deporte, 16(62), 203–219.
Cenizo-Benjumea, J. M.; Ravelo-Afonso, J.; Ramírez-Hurtado, J. M., & Fernández-Truan, J. C. (2015). Assessment of motor coordination in students aged 6 to 11 years. Journal of Physical Education and Sport, 15(4), 765–774. https://doi.org/http://dx.doi.org/10.7752/jpes.2015.04117
Cepicka, L. (2010). Normative data for the test of gross motor development-2 in 7- yr.- old children in the Czech Republic. Perceptual and Motor Skills, 110(3), 1048–1052. https://doi.org/10.2466/pms.110.C.1048-1052
Clark, J. E. (2007). On the problem of motor skill development. Journal of Physical Education, Recreation & Dance, 78(5), 39–44. https://doi.org/10.1080/07303084.2007.10598023
Cliff, D. P.; Okely, A. D.; Smith, L. M., & McKeen, K. (2009). Relationships between fundamental movement skills and objectively measured physical activity in preschool children. Pediatric Exercise Science, 21(4), 436–449. https://doi.org/10.1123/pes.21.4.436
D’Hondt, E.; Deforche, B.; Vaeyens, R.; Vandorpe, B.; Vandendriessche, J.; Pion, J.; … Lenoir, M. (2011). Gross motor coordination in relation to weight status and age in 5- to 12-year-old boys and girls: A cross-sectional study. International Journal of Pediatric Obesity, 6(2–2), e556–e564. https://doi.org/10.3109/17477166.2010.500388
Flatters, I.; Hill, L. J. B.; Williams, J. H. G.; Barber, S. E., & Mon-Williams, M. (2014). Manual control age and sex differences in 4 to 11 year old children. PLoS ONE, 9(2), e88692. https://doi.org/10.1371/journal.pone.0088692
Freitas, D. L.; Lausen, B.; Maia, J. A.; Lefevre, J.; Gouveia, É. R.; Thomis, M.; … Malina, R. M. (2015). Skeletal maturation, fundamental motor skills and motor coordination in children 7–10 years. Journal of Sports Sciences, 33(9), 924–934. https://doi.org/10.1080/02640414.2014.977935
Gabbard, C. P. (2011). Lifelong motor development (6th ed.). San Francisco: Pearson Higher Ed.
Gallahue, D. L., & Ozmun, J. C. (2006). Understanding motor development: Infants, children, adolescents, adults (6th ed.). Boston, MA: McGraw-Hill.
Gromeier, M.; Koester, D., & Schack, T. (2017). Gender differences in motor skills of the overarm throw. Frontiers in Psychology, 8, 212. https://doi.org/10.3389/fpsyg.2017.00212
Hardy, L. L.; King, L.; Farrell, L.; Macniven, R., & Howlett, S. (2010). Fundamental movement skills among Australian preschool children. Journal of Science and Medicine in Sport, 13(5), 503–508. https://doi.org/10.1016/j.jsams.2009.05.010
Hulteen, R. M.; Morgan, P. J.; Barnett, L. M.; Stodden, D. F., & Lubans, D. R. (2018). Development of foundational movement skills: A conceptual model for physical activity across the lifespan. Sports Medicine, 1–8. https://doi.org/10.1007/s40279-018-0892-6
Janssen, I., & LeBlanc, A. G. (2010). Systematic review of the health benefits of physical activity and fitness in school-aged children and youth. International Journal of Behavioral Nutrition and Physical Activity, 7(1), 40. https://doi.org/10.1186/1479-5868-7-40
Jiménez-Díaz, J.; Salazar-Rojas, W., & Morera, M. (2015). Age and gender differences in fundamental motor skills. PENSAR EN MOVIMIENTO: Revista de Ciencias Del Ejercicio Y La Salud, 13(2), 1–16.
Junta de Andalucía. (2016). Hábitos y actitudes de la población andaluza en edad escolar ante el deporte, 2016. Sevilla. Extraido el 16/02/2018 http://www.juntadeandalucia.es/turismoydeporte/publicaciones/estadisticas/deporte/hab_act_edad_escolar_2016.pdf
Katzmarzyk, P. T.; Malina, R. M., & Beunen, G. P. (1997). The contribution of biological maturation to the strength and motor fitness of children. Annals of Human Biology, 24(6), 493–505. https://doi.org/10.1080/03014469700005262
Kokštejn, J.; Musálek, M., & Tufano, J. J. (2017). Are sex differences in fundamental motor skills uniform throughout the entire preschool period? PLOS ONE, 12(4), e0176556. https://doi.org/10.1371/journal.pone.0176556
Lopes, V. P.; Rodrigues, L. P.; Maia, J. A. R., & Malina, R. M. (2011). Motor coordination as predictor of physical activity in childhood. Scandinavian Journal of Medicine & Science in Sports, 21(5), 663–669. https://doi.org/10.1111/j.1600-0838.2009.01027.x
Lorson, K. M., & Goodway, J. D. (2008). Gender differences in throwing form of children ages 6-8 years during a throwing game. Research Quarterly for Exercise and Sport, 79(2), 174–182.
Luz, L. G. O.; Cumming, S. P.; Duarte, J. P.; Valente-dos-Santos, J.; Almeida, M. J.; Machado-Rodrigues, A., … Coelho-E-Silva, M. J. (2016). Independent and combined effects of sex and biological maturation on motor coordination and performance in prepubertal children. Perceptual and Motor Skills, 122(2), 610–635. https://doi.org/10.1177/0031512516637733
Luz, L. G. O.; Valente-dos-Santos, J.; Luz, T. D. D.; Sousa-e-Silva, P.; Duarte, J. P.; Machado-Rodrigues, A.; … Coelho-e-Silva, M. J. (2018). Biocultural predictors of motor coordination among prepubertal boys and girls. Perceptual & Motor Skills, 125(1), 21–39.
Magill, R. A. (2007). Motor learning: concepts and applications (8 th). Boston, MA: McGraw-Hill.
Moreno-Briseño, P.; Díaz, R., Campos-Romo, A., & Fernandez-Ruiz, J. (2010). Sex- related differences in motor learning and performance. Behavioral and Brain Functions, 6(1), 74. https://doi.org/10.1186/1744-9081-6-74
Mukherjee, S.; Ting Jamie, L. C., & Fong, L. H. (2017). Fundamental motor skill proficiency of 6- to 9-year-old singaporean children. Perceptual and Motor Skills, 124(3), 584–600. https://doi.org/10.1177/0031512517703005
Plimpton, C. E., & Regimbal, C. (1992). Differences in motor proficiency according to gender and race. Perceptual and Motor Skills, 74(2), 399–402. https://doi.org/10.2466/pms.1992.74.2.399
Ruiz, L. M. (2004). Competencia motriz, problemas de coordinación y deporte. Revista de Educación, 335, 21–34.
Ruiz, L. M., & Graupera, J. L. (2003). Competencia motriz y género entre los escolares españoles. Revista Internacional de Medicina y Ciencias de La Actividad Física y del Deporte, 10, 101–111.
Ruiz, L. M.; Mata, E., & Moreno, J. A. (2007). Los problemas evolutivos de coordinación motriz y su tratamiento en la edad escolar: Estado de la cuestión. Motricidad. European Journal of Human Movement, 18, 1–17.
Sgrò, F.; Quinto, A.; Messana, L.; Pignato, S., & Lipoma, M. (2017). Assessment of gross motor developmental level in Italian primary school children. Journal of Physical Education and Sport, 17(3), 1954–1959. https://doi.org/10.7752/jpes.2017.03192
Spessato, B. C.; Gabbard, C.; Valentini, N., & Rudisill, M. (2013). Gender differences in Brazilian children’s fundamental movement skill performance. Early Child Development and Care, 183(7), 916–923. https://doi.org/10.1080/03004430.2012.689761
Stodden, D. F.; Goodway, J. D.; Langendorfer, S. J.; Roberton, M. A.; Rudisill, M. E.; Garcia, C., & Garcia, L. E. (2008). A developmental perspective on the role of motor skill competence in physical activity: An emergent relationship. Quest, 60, 290–306.
Temple, V. A.; Crane, J. R.; Brown, A.; Williams, B.-L., & Bell, R. I. (2016). Recreational activities and motor skills of children in kindergarten. Physical Education and Sport Pedagogy, 21(3), 268–280. https://doi.org/10.1080/17408989.2014.924494
Ulrich, B. (2007). Motor development: Core curricular concepts. Quest, 59(1), 77–91. https://doi.org/10.1080/00336297.2007.10483538
Ulrich, D. A.; Ulrich, B. D., & Branta, C. F. (1988). Developmental gross motor skill ratings: A generalizability analysis. Research Quarterly for Exercise and Sport, 59(3), 203–209. https://doi.org/10.1080/02701367.1988.10605505
Valentini, N. C.; Logan, S. W.; Spessato, B. C.; de Souza, M. S.; Pereira, K. G., & Rudisill, M. E. (2016). Fundamental motor skills across childhood: age, sex, and competence outcomes of brazilian children. Journal of Motor Learning and Development, 4(1), 16–36. https://doi.org/10.1123/jmld.2015-0021
Vandendriessche, J. B.; Vandorpe, B.; Coelho-e-Silva, M. J.; Vaeyens, R.; Lenoir, M.; Lefevre, J., & Philippaerts, R. M. (2011). Multivariate association among morphology, fitness, and motor coordination characteristics in boys age 7 to 11. Pediatric Exercise Science, 23(4), 504–20.
Vandorpe, B.; Vandendriessche, J.; Vaeyens, R.; Pion, J.; Matthys, S.; Lefevre, J.; … Lenoir, M. (2012). Relationship between sports participation and the level of motor coordination in childhood: a longitudinal approach. Journal of Science and Medicine in Sport, 15(3), 220–225. https://doi.org/10.1016/j.jsams.2011.09.006
Vlahov, E.; Baghurst, T. M., & Mwavita, M. (2014). Preschool motor development predicting high school health-related physical fitness: A prospective study. Perceptual and Motor Skills, 119(1), 279–291. https://doi.org/10.2466/10.25.PMS.119c16z8
Wong, K. Y. A., & Yin Cheung, S. (2010). Confirmatory factor analysis of the test of gross motor development-2. Measurement in Physical Education and Exercise Science, 14(3), 202–209. https://doi.org/10.1080/10913671003726968
Wrotniak, B. H.; Epstein, L. H.; Dorn, J. M.; Jones, K. E., & Kondilis, V. A. (2006). The relationship between motor proficiency and physical activity in children. Pediatrics, 118(6), e1758–e1765. https://doi.org/10.1542/peds.2006-0742
Notas de autor
jgalgon@upo.es