Resumen:
Introducción: La implementación de guías de práctica clínica (GPC) es una estrategia que tiene como fin el aumento del uso de la evidencia en el contexto de toma de decisiones y construcción de políticas en salud. Profesionales de enfermería de la Fundación Cardioinfantil-Institución de Cardiología (FCI-IC) establecieron un convenio colaborativo con la Asociación de Enfermeras de Ontario (RNAO), Canadá, con el fin de implementar y evaluar tres de sus GPC en adultos hospitalizados. Objetivo: Describir el diseño, proceso y evaluación preliminar del plan de implementación entre julio 2012 y diciembre 2014. Metodología: La selección de GPC se realizó previo diagnóstico de necesidades y factibilidad: dos preventivas y una de cuidado. Las GPC de prevención fueron: Una de caídas y otra de úlceras por presión (UPP). La GPC de cuidado fue valoración y manejo de úlceras de pie diabético. Los indicadores seleccionados para las GPC prevención fueron frecuencia de evaluación y confirmación del riesgo y tasa de eventos (caídas y UPP). En la GPG cuidado se evaluó el porcentaje de pacientes valorados (miembros inferiores y pies) en admisiones; porcentaje de educación; y porcentaje de pacientes con reducción (curación) de herida en pie (del 50%). Resultados: La evaluación del riesgo con re-valoración a las 24-72 horas (caídas/UPP) fue realizada en todos los pacientes admitidos. Se observó una reducción en el uso de barandas, y una baja reducción en caídas. No se observó una reducción en UPP, pero hubo una limitación del tipo de UPP solo a grado II. Aumentó la valoración en miembros inferiores, la educación y el cuidado de úlceras en pie en pacientes diabéticos. Conclusiones:La implementación de las GPC y el trabajo en red con la RNAO han orientado nuestra práctica del cuidado en enfermería basado en la evaluación del riesgo y eventos. Limitaciones en el nivel de evidencia de algunas recomendaciones han promovido el desarrollo de una nueva investigación. [Cortés OL, Serna- Restrepo A, Salazar-Beltrán LD, Rojas-Castañeda YA, Cabrera-González S, Arévalo-Sandoval I. Implementación de guías de práctica clínica de la Asociación de Enfermeras de Ontario-RNAO: Una experiencia de enfermería en un hospital colombiano. MedUNAB 2016; 19(2): 103-114].
Palabras clave:Práctica clínica basada en la evidenciaPráctica clínica basada en la evidencia,EnfermeríaEnfermería,Guía de práctica clínicaGuía de práctica clínica,Enfermería basada en la evidenciaEnfermería basada en la evidencia,Mejoramiento de la calidadMejoramiento de la calidad.
Abstract: Introduction: The implementation or Clinical Practice Guidelines (CPG) is a strategy that whose goal is to increase the use of evidence in the context of decision making and building health policies. Nurses of The “Cardioinfantil-IC” Foundation (FCI-IC) established a collaborative agreement with the Registered Nurses Association of Ontario, Canada (RNAO), in order to implement and evaluate three of its GPC in adult inpatients. Objective: This paper describes the design, process and preliminary evaluation of an implementation plan between July 2012 and December 2014. Methodology: The selection of the CPG was made after an initial needs diagnosis and a feasibility analysis. Two CPGs were based on prevention: one about fall and another one about pressure ulcers (PU); and one more based on direct care related to assessment and management of diabetic foot ulcers. The indicators selected for CPG about prevention were frequency of evaluation and confirmation of risk and event rate (falls and UP). In the CPG about care was evaluated the percentage of assessed patients (lower limbs and feet) in admissions, the percentage of patient/family education, and the percentage of patients with foot injury reduction (50%). Results: The evaluation of the risk for falls and pressure ulcers with a reassessment ranging from 24 to 72 hours was performed in all patients that were admitted. There was a reduction in the use of guardrails, and a low reduction in falls. There was no change in the rate of pressure ulcers but the incidence of ulcers was limited to grade II. The assessment in lower limbs, the education, and care about foot ulcers in diabetic patients increased. Conclusions: The implementation process of GPC, as a result of the networking with the RNAO, has guided nursing care practice based on the assessment of risk and events. Some limitations in the level of evidence of some recommendations have promoted the development of a new research. [Cortés OL, Serna- Restrepo A, Salazar-Beltrán LD, Rojas-Castañeda YA, Cabrera-González S, Arévalo-Sandoval I. Implementation of Clinical Practice Guidelines of the Registered Nurses Association of Ontario-RNAO: A Nursing Experience in a Colombian Hospital. MedUNAB 2016; 19(2): 103-114].
Keywords: Evidence-based practice, Nursing, Practice guideline, Evidence-based nursing, Quality improvement.
Resumo: Introdução: A implementação das diretrizes de prática clínica (CPG) é uma estratégia que visa aumentar o uso de provas no contexto da tomada de decisões e na construção de políticas no sistema de saúde. Os profissionais de enfermagem da Fundação Cardioinfantil-IC (FCI-IC) estabeleceram uma cordo de colaboraçãocom a Associação de Enfermeiras de Ontário (RNAO), Canadá, a fim de implementar e avaliartrês de seus GPC em adultos hospitalizados. Objetivo: Este artigo descreve o desenho, processo e avaliação preliminar do plano de implementação entre Julho de 2012 e Dezembro de 2014. Metodologia: A seleção de GPC foi realizada antes do diagnóstico das necessidades e da viabilidade: Duas preventivas e uma do cuidado. As GPC de prevenção foram: Uma das quedas e outra de úlceras por pressão (UPP). A GPC do cuidado foi a avaliação e gestão de úlceras do pé diabético. Os indicadores selecionados para as GPC de prevenção foram freqüentemente de avaliação e da confirmação do risco e a taxa de eventos (quedas e UPP). Na GPG, o cuidado foiavaliado a percentagem de pacientes avaliados (pernas e pés) nasadmissões; a percentagem de educação; e percentagem de pacientes comredução (cura) da ferida no pénum (50%). Resultados: A avaliação de risco comumare avaliação dentro de 24-72 horas (quedas/ UPP) foi realizada a todos os pacientes internados. Foi observada uma redução na utilização de trilhos, e uma baixoredução das quedas. Nenhuma redução foi observada em UPP, mas houveuma limitação do tipo de UPP sóao tipo II. Aumentou a avaliação nas pernas, a educação e o cuidado nas úlceras no péem pacientes diabéticos. Conclusões: A implementação da CPG e trabalhoem rede com o RNAO guiaramnoss aprática de cuidados de enfermagem com base na avaliação de risco e eventos. Limitaçõ esquantoao nível da evidência de algumas recomendações têm promovido o desenvolvimento de novas pesquisas. [Cortés OL, Serna-Restrepo A, Salazar- Beltrán LD, Rojas-Castañeda YA, Cabrera González S, Arévalo-Sandoval I. Implantação das diretrizes de prática clínica da Association de enfermeiras de Ontario-RNAO: Uma experiência de enfermagem um hospital colombiano. MedUNAB 2016; 19 (2): 103-114].
Palavras-chave: Prática clínica baseada em evidências, enfermagem, Guia de prática clínica, Enfermagem baseada em evidências, Melhoria de qualidade.
Artículo Original
Implementación de guías de práctica clínica de la Asociación de Enfermeras de Ontario-RNAO: Una experiencia de enfermería en un hospital colombiano
Implementation of Clinical Practice Guidelines of the Registered Nurses Association of Ontario-RNAO: A Nursing Experience in a Colombian Hospital
Implementação de diretrizes de prática clínica do Ontário Nurses Association-RNAO: Uma experiência de enfermagem um hospital colombiano

Recepción: 13 Mayo 2016
Aprobación: 25 Noviembre 2016
Las guías de práctica clínica (GPC) constituyen un tipo de síntesis del más alto nivel de la literatura, basadas en la mejor evidencia existente sobre recomendaciones del cuidado (1). Dada la información avanzada que contienen, son elementos que ayudan a la toma de decisiones de los profesionales de la salud sobre situaciones del cuidado específicas (1). Al igual que las revisiones sistemáticas, las GPC revisan, evalúan y combinan la evidencia (2). Sin embargo, las GPC van más allá de las revisiones sistemáticas por cuanto en ellas se combinan todos los aspectos y valores relevantes que determinan una decisión clínica (riesgo, pronóstico, edad, costos, valores del paciente, alcances de la institución entre otros) (2,3). Las GPC refinan preguntas clínicas y mantienen un equilibrio entre los beneficios y el riesgo de una recomendación. El proceso metodológico para la realización de GPC se basa en el consenso de un grupo de investigadores, expertos, clínicos de cuidado directo y pacientes, quienes examinan la evidencia cuidadosamente y deciden sobre la base de sus implicaciones (2). Las recomendaciones finales van dirigidas hacia un país, una región, un hospital o una clínica. Estas recomendaciones pueden diferir dependiendo del país o hacia el grupo o región al cual van dirigidas, como un área rural o urbana, un hospital universitario, y por estas diferencias algunos expertos prefieren no producir recomendaciones sino resúmenes de la evidencia (3-5).
Las GPC de alta calidad son producidas por numerosas organizaciones interesadas en la calidad del cuidado con el fin de crear centros de alta excelencia como es el caso de la Asociación de Enfermeras de Ontario, RNAO (3). La construcción de GPC, para la RNAO, e s t á fundamentalmente orientada hacia el mejoramiento de los resultados de los pacientes promoviendo así la reducción de la variabilidad en el cuidado (6,7). La revisión y/o modificación de las recomendaciones dependerá de la aparición de nueva evidencia en enfermería que supere la anterior (ejemplo, desarrollo de nuevos ensayos clínicos, o meta-análisis). Aunque se conoce la importancia de las GPC en el impacto en la seguridad de los individuos y la calidad en el cuidado en salud, su utilización aún no se considera una práctica usual en nuestros hospitales (8-11). Dado que las guías presentan los cuidados que producen mejores resultados, su utilización racional conduce a una variación adecuada de la práctica (4,12). Las GPC proporcionan un enfoque para la educación continua, permiten el uso eficiente de los recursos, una mejor evaluación del costo beneficio del cuidado, y exponen las deficiencias de la literatura existente sugiriendo el paso hacia el desarrollo de investigaciones futuras (11,12)
Con el fin de alcanzar la excelencia en el cuidado, líderes del Departamento de Enfermería de la Fundación Cardioinfantil iniciaron un proyecto conjunto con la RNAO. El propósito del proyecto colaborativo, iniciado en el 2012, fue el de implementar, evaluar y validar, sobre la base de un estudio de factibilidad y adaptabilidad previo en un centro hospitalario, tres GPC de la RNAO (13). Las GPC fueron seleccionadas sobre la base de un diagnóstico de necesidades acorde con el plan de implementación institucional de guías de práctica de enfermería (14). Estas guías fueron las siguientes: prevención de caídas y lesiones en adultos mayores; valoración y manejo de úlceras de pie en pacientes con diagnóstico de diabetes; y valoración del riesgo y prevención de úlceras por presión (15-17).
Adicionalmente, esta colaboración incluyó el compromiso con el registro de los eventos de cada guía en la base de datos de la RNAO (NQuIRE), con el fin de alimentar la base mundial de resultados post implementación de cada GPC.
Esta información de eventos a nivel mundial permitirá evaluar el impacto de las GPC de la RNAO en varios países y centros del mundo al tiempo que establecerá el nivel de avance de cada país o centro con respecto al progreso general. Por último, esta colaboración pretendió promover la divulgación de los avances y progresos resultantes de la implementación de cada GPC, con el fin de exponer la importancia del uso de GPC y los avances en términos de calidad y seguridad del cuidado en una institución de cuarto nivel de atención en Colombia.
Aunque en Colombia se han desarrollado Guías de Práctica Clínica en Enfermería, poca evidencia existe sobre los procesos de implementación y sus resultados a corto, mediano y a largo plazo. Es así como el objetivo de este documento es el de describir la experiencia en el proceso de implementación de las tres GPC. Así mismo se pretende presentar algunos alcances en la implementación acorto plazo (2 años) en términos de resultados en la práctica clínica y las implicaciones para la práctica clínica de enfermería en la FCI-IC.
Base histórica para esta implementación en la Fundación Cardioinfantil - Instituto de Cardiología
El mejoramiento continuo de la calidad en el cuidado no es solamente un propósito institucional sino uno de los lineamientos del Ministerio de Protección Social en Colombia (18). Por eso, las mejores instituciones en términos de resultados son evaluadas como centros de excelencia en el cuidado (18,19). Siendo consistentes con el propósito institucional de mejorar los resultados en los pacientes, un grupo de profesionales de Enfermería de FCI- IC se dio a la tarea de impulsar este convenio colaborativo y de aprendizaje con la RNAO. Las líderes de este proyecto al igual que las directivas institucionales tuvieron como lineamiento institucional el uso de la evidencia existente (universal), la transferencia del mejor conocimiento y el desarrollo de más investigación, con el fin de alcanzar la más alta calidad en la atención en salud.
Como institución en desarrollo constante y líder en el cuidado cardiovascular, la FCI- IC y sus líderes en enfermería han trabajado en la búsqueda, actualización e implementación de estrategias de cuidado basados en la mejor evidencia (20). La elaboración de protocolos, flujogramas de cuidado y de algunas denominadas “guías” de manejo y cuidado del paciente y su familia han sido producto de proyectos de investigación y actualización de la literatura de profesionales en enfermería (20, 21). Sin embargo, el desarrollo científico en enfermería progresó hacia el conocimiento de la Enfermería Basada en la Evidencia y en los nuevos conceptos de eficacia y eficiencia de estrategias con el fin de promover los resultados en los pacientes y familias (21). Así mismo, la idea de mejoramiento del cuidado y calidad avanzó hacia el reconocimiento de la importancia de las Guías de Práctica Clínica (GPC). Estas son compendios de recomendaciones evaluadas acorde con sus niveles de evidencia, generadas de forma sistemática, y obtenidas de los hallazgos de investigaciones de calidad (revisiones sistemáticas, meta análisis, ensayos clínicos, estudios de cohorte), por expertos probados en cada área (23).
Teniendo en cuenta que la producción de alta calidad de GPC en el mundo ha avanzado, la identificación y evaluación crítica de las mejores guías a nivel mundial y la implementación de estas se convierte en una intervención más avanzada que construir nuevas guías de nivel institucional. De esta forma se visualiza la importancia del convenio con la RNAO, una institución con experiencia en el desarrollo científico de GPC desde el año 1925, al servicio del Ministerio de Salud Canadiense con el fin de promover centros de alta calidad en el cuidado (24).
El convenio colaborativo entre la FCI-IC y la RNAO, el cual fue estructurado en el 2011 ha constituido un avance de aprendizaje y progreso en enfermería. El fortalecimiento del conocimiento científico de enfermería en la FCI-IC al lado de una institución con experiencia en la construcción de GPC ha permitido prosperaren el liderazgo científico en la profesión hacia la construcción y mantenimiento de la Fundación Cardioinfantil- Instituto de Cardiología (FCI- IC) como centro de alta excelencia.
Selección de Guías de Práctica Clínica
La Fundación Cardioinfantil- IC cuenta con un total de 9 servicios de hospitalización para adultos y un total de 3 servicios de hospitalización para niños, 90 camas de cuidado intensivo, de las cuales 19 son de neonatos, 20 son de pediatría y 51 son de adultos y cuenta con una capacidad total de 340 camas. Evaluaciones a lo largo de 10 años en la institución, permitieron realizar un claro diagnóstico de los problemas relacionados con la aparición de eventos como caídas, úlceras en piel y úlceras en pie en pacientes diabéticos. La evaluación interna de tipo diagnóstico observó la existencia de dificultades en el uso de instrumentos de diagnóstico para evaluación del riesgo tanto para caídas como para úlceras por presión (UPP); una dificultad en el registro en la historia clínica de los eventos (posiblemente un sub-registro), prevalencia de caídas con lesiones con uso del 100% de las barandas en cama en todos los pacientes con riesgo (desde moderado–alto), y presencia importante de prevalencia de úlceras de tercer y cuarto grado. Basados en esta evaluación se seleccionaron tres GPC acorde con las necesidades y retos de cuidado identificados. Dos guías fundamentadas en cuidado preventivo (15,17), como la de prevención de las caídas y lesiones derivadas de las caídas en personas mayores y la valoración del riesgo y prevención de úlceras por presión; y una guía fundamentada en cuidado curativo, valoración y manejo de úlceras de pie en pacientes diabéticos (16).
Servicios de implementación y población
Para este primer periodo de implementación (1 julio a 31 diciembre 2012), se seleccionaron servicios con alta prevalencia de eventos en población adulta (≥ 18 años). Para la implementación de las guías de prevención de caídas se seleccionaron servicios de medicina interna-cirugía general y servicios de cardiología y cirugía cardiaca. Para la implementación de la guía de prevención de UPP seleccionamos dos unidades de cuidados intensivos (unidad médica y quirúrgica). Para la implementación de la guía de valoración y manejo de úlcera en pies en pacientes con diagnóstico de diabetes se optó por incluir todos los servicios de hospitalización adultos (ocho servicios en total).
Indicadores/Resultados
Los indicadores de evaluación de la implementación para la guía de valoración del riesgo y prevención de úlceras por presión incluyeron el porcentaje de pacientes admitidos que fueron valorados de forma diagnóstica con la escala de riesgo, porcentaje de revaloración a las 24 horas, pacientes en riesgo de presentar UPP (%), y la incidencia de UPP grado II a grado IV (número pacientes con UPP/ clientes con riesgo de UPP) en periodo de tiempo determinado (Tabla 1).
Los indicadores de evaluación de la implementación de la guía de valoración y manejo de úlceras en pie de pacientes diabéticos incluyeron el porcentaje de valoración de pacientes diabéticos con úlcera en pie en las piernas y porcentaje de valoraciones en los pies en el momento de admisión; porcentaje de educación al paciente y su familia y reducción del tamaño de la herida (úlcera), al menos del 50% en pie. (Tabla 1).
Finalmente, los indicadores de la guía de prevención de caídas y lesiones post caídas en adultos/adultos mayores incluyeron el porcentaje de pacientes valorados de forma diagnóstica con la escala de riesgo para caídas en el momento de la admisión, evaluación diagnóstica del riesgo posterior a una caída, total de individuos que ingresaron al programa de prevención de caídas, porcentaje de uso de barandas, tasa de caídas (Número caídas/ días- paciente), y lesiones post caída (Tabla 2).
Proceso de implementación y monitoría
El proceso de planeación de la implementación se inicia una vez firmado el convenio colaborativo entre las dos instituciones a mediados del año 2012. La firma de este convenio y el entrenamiento de un grupo de líderes-base permitieron el comienzo del proceso de apropiación de las GPC de la RNAO y el inicio de los procesos relacionados con la implementación.
Este convenio le dio un carácter prioritario y formal a una relación de colaboración entre profesionales de Enfermería. Los compromisos entre las dos instituciones estuvieron dados sobre la base de la investigación del impacto de las GPC.
Tabla 1. Indicadores seleccionados de las guías de prevención y cuidado de la piel de la RNAO

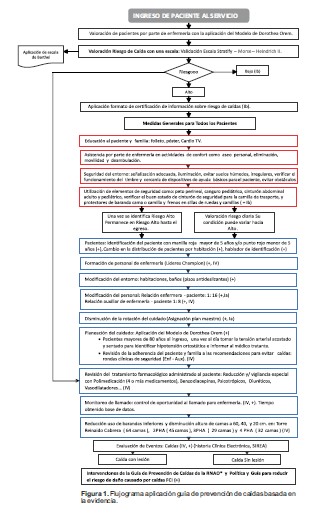
El proceso de implementación se llevó a cabo en varias fases. La primera fase incluyó el estudio riguroso de las GPC seleccionadas. El estudio comprendió el análisis de la literatura sustentando las intervenciones y la respectiva evaluación de los niveles de evidencia (Grado I a IV). Se revisaron las recomendaciones incluidas en cada una de las GPC y se seleccionaron aquellas calificadas con mejor nivel de evidencia, más necesarias para los servicios, y que pudieran ser implementadas acorde con los recursos (materiales, personales y administrativos) de la institución (Tabla 3; Tabla 4). Se evaluaron los patrones de práctica actuales, y uso de las escalas de riesgo. Se seleccionaron los instrumentos de evaluación del riesgo de cada guía (escala Stratify para caídas; Braden para UPP; Texas para úlcera en pie en paciente diabético), y los instrumentos para seguimiento y documentación necesarios (14). Se integraron las intervenciones recomendadas con sus niveles de evidencia por la RNAO con intervenciones existentes en la institución creando diagramas de flujo de atención en pacientes de riesgo conteniendo procesos de cuidado integrales como el creado por las líderes de la guía de prevención de caídas (Figura 1).
Tabla 2. Indicadores seleccionados de la guía de prevención de caídas y lesiones derivadas en personas mayores de la RNAO

En una segunda fase se analizaron los indicadores de cada una de las GPC y se estructuraron formatos de recolección de la información de los eventos por servicios. Se realizaron modificaciones estructurales en la historia clínica electrónica con el fin de facilitar el reporte de los eventos y planes de cuidado de enfermería que incluyeran las actividades recomendaciones de cada GPC. El registro del riesgo cobra importancia en la valoración y así mismo su reporte en la historia clínica electrónica. Además, se estructuraron sistemas de comunicación (visual o por notas) en la misma historia clínica electrónica con el fin de comunicar al personal médico y equipo interdisciplinario el riesgo de cada paciente (para caídas o para UPP) de forma transversal.
Tabla 3. Recomendaciones seleccionadas de la guía de prevención de úlceras por presión de la RNAO.

Tabla 4. Recomendaciones seleccionadas de la guía de valoración y cuidado de úlceras en pies de pacientes diabéticos.

Con el fin de asegurar el éxito de la implementación de las GPC se seleccionaron líderes espontáneos, o líderes con capacidad crítica destacados en los servicios. No se incluyeron líderes conocidos previamente en evaluación institucional como negativos. Los líderes por servicios y por turnos (mañana, tarde y noche) fueron motivados y entrenados en el contenido de las GPC, los indicadores de evaluación y las estrategias de educación con el fin de diseminar cada guía. Para este procedimiento se tuvo en cuenta la guía de liderazgo de la RNAO y el uso de otras estrategias educativas organizacionales generales y presentadas en algunas guías (23-26).
Se elaboró material educativo con el fin de realizar intervenciones de diseminación persona a persona, en grupos pequeños y en grupos grandes. Las actividades educativas de diseminación de las guías incluyeron reuniones de lectura y análisis crítico de casos, conferencias, lecturas y sesiones de monitoreo directo con el personal. La comunicación de las guías se realizó en cada oportunidad de reunión con el personal de enfermería (profesional, auxiliar y coordinación).
Con el fin de monitorear los eventos y la adherencia en cada uno de los servicios se construyeron formatos de recolección de información relacionada con el tamizaje de pacientes en los servicios seleccionados para identificar población total admitida, población total a riesgo (para caídas o para úlceras por presión), incluyendo información de los indicadores de cada guía. Las coordinadoras de enfermería de los turnos de la mañana, tarde y noche recolectaron inicialmente esta información con supervisión de las líderes base de la guía de prevención de caídas y prevención de úlceras por presión. Dicha información se validó y verificó en revisión de historias clínicas para ser registrada en la base de datos de la RNAO (NQuIRE) trimestralmente (19-20).
Figura 1.Flujograma aplicación guía de prevención de caídas basada en la evidencia.

Plan de análisis de resultados
El plan de análisis de los resultados de los indicadores incluyó una revisión trimestral por año de los reportes de los resultados de los indicadores por GPC, de tal forma que para este reporte se incluyeron 8 trimestres (4 para el año 2013 y 4 para el año 2014). Los indicadores se reportaron según lo indicado por la RNAO (NQuIRE) en proporciones y/o tasa de eventos.
Aspectos generales de la implementación
Las tres guías se implementaron en toda la institución en un periodo de 6 meses hasta diciembre de 2012. Sin embargo, solo se realizaron los reportes de resultados de los servicios acordado para tal reporte con la RNAO. Todo el personal estuvo involucrado en las sesiones tanto de presentación del proyecto colaborativo como en las sesiones educativas individuales relacionadas con cada GPC. En general se realizaron 8 sesiones de promoción institucional del proyecto colaborativo y10 sesiones tutoriales de la RNAO durante todo el proceso de implementación. Se efectuó el entrenamiento de 800 profesionales/auxiliares cuidadores en 6 sesiones en grupos grandes; y se planificaron6 sesiones dirigidas solo a líderes de los servicios seleccionados con una dedicación de 30 horas por líder. Se organizaron equipos de trabajo para la monitoria de la adherencia de las guías, incluyendo médicos y otros profesionales de la salud distintos a enfermería.
Resultados de la implementación de las GPC
El periodo de implementación se considera entre el 1 de julio al 31 de diciembre de 2012. Se implementaron las tres guías acordadas con la RNAO con el fin de iniciar la evaluación y validación de estas en la FCI-IC para el periodo comprendido entre 1 de enero 2013 y el 31 de diciembre 2014. Los resultados se obtuvieron de los datos reportados de nuestra institución en la base de datos de la NQuIRE (http://rnao.ca/bpg/initiatives/nquire).
Para la evaluación de la guía de prevención de caídas y lesiones por caídas en adultos mayores se incluyeron 2,208 pacientes reclutados en3 servicios de cardiología y cirugía cardiaca, y 4,154 pacientes en 3 servicios de medicina interna-cirugía. Entre los resultados más destacados de la implementación de esta guía está la adherencia del personal de enfermería representada en el uso de la escala de riesgo Stratify en el 100% de los pacientes nuevos admitidos; y en la evaluación del riesgo del 100% de pacientes posterior a una caída. La tasa de caídas se redujo de 15.0 a 12.0 por 1,000 días/paciente admitidos. Se observó además una reducción en el uso de las barandas alrededor del 80% en pacientes a riesgo por el personal de enfermería (Figura 2 y Figura 3).
Para la evaluación de la guía de valoración y prevención de úlceras por presión se incluyeron dos unidades de cuidado intensivo (Una unidad de cuidado médico y otra unidad de cuidado quirúrgico) con un total de 5,952 pacientes admitidos. Los resultados reportaron una evaluación del 100% de los pacientes en el momento de la admisión con escala de Braden, con re-evaluación a las 24 horas (adherencia). El 100% de los pacientes tuvo oportunidad de protección con colchón anti-escaras, como política institucional. La tasa de úlceras por presión osciló entre 2.0- 4.0 por 1,000 clientes admitidos, con una incidencia de úlceras clasificadas de grado II (Figura 4). No se presentaron úlceras grado III y IV.
Finalmente, la guía de valoración y manejo de úlceras en pie diabético, aunque incluyó el reclutamiento de pacientes en todos los servicios de adultos (8 en total), contó para esta evaluación (denominador) con 87 pacientes con diagnóstico de diabetes y úlcera en uno o en ambos pies. Los resultados evidenciaron un incremento del 100% en actividades de cuidado a pacientes diabéticos como las valoraciones en miembros inferiores (Figura 5), valoración de pies y úlceras (Escala de Texas) (Figura 6) y aumento en la educación impartida al paciente y su familia con reporte en historia clínica completa (Figura 7). La evaluación de la reducción del tamaño en la úlcera en pie fue del 30% (Figura 8).
El proceso de implementación, aunque requirió de varias fuentes para su desarrollo, se puede resumir en varias fases. En primera instancia se basó en la identificación de problemas o necesidades de cambio que vendrían a ser superadas por la implementación de estas tres GPC de la RNAO. Pero, es importante tener en cuenta que las GPC no se pueden implementar sin antes realizar un proceso de análisis, discusión y estudio de factibilidad, que permitan su utilización total o parcial, adaptada a la realidad de una institución. Este proceso además incluyó un estudio de las posibles barreras al tiempo que incluyó el análisis de las recomendaciones de la GPC, la posibilidad de adaptación de las recomendaciones y la implementación del cambio en la institución.
Figura 2. Tasa de utilización de barandas en la cama en servicio de medicina interna y cirugía.

Figura 3. Tasa de utilización de barandas en la cama en servicio de cardiología.

Figura 4. Tasa de incidencia de úlceras por presión Grado II.

Figura 5. Aumento en la valoración de extremidades inferiores y registro en historia clínica.

Figura 6.Aumento en la evaluación de pies con úlceras y registro en historia clínica.

Figura 7. Incremento en la educación a pacientes diabéticos con úlcera en pie.

Figura 8. Porcentaje de reducción (cierre herida) en el tamaño de la úlcera en pie de paciente diabético.

El cambio en la institución es una constante y específicamente la implementación de GPC es de vital importancia en los resultados clínicos de la institución. A nivel general los resultados más importantes logrados hasta la fecha (corto plazo, 2 años post implementación) de reporte de este estudio se relacionaron con la importancia que el personal de enfermería y de salud proporcionó al uso de las escalas de riesgo (y actualmente los está realizando). El personal de enfermería utilizó al 100% las escalas de evaluación del riesgo de caídas (Stratify) y prevención de UPP (Braden) en el momento de admisión y posterior a las 24 horas. Aunque las escalas se utilizaron al 100%, y dado que esto no asegura la validez del puntaje y la varianza entre enfermeras, el grupo de prevención de UPP y de caídas realizaron de forma quincenal educación de soporte dirigida y/o en grupo, una vez se identificaron problemas de validez en los puntajes. En general se observó una leve reducción en la tasa de caídas, que ha sido superada en los reportes del 2016. En relación a la tasa de UPP en este periodo post implementación de las guías se mantuvo en un nivel similar al que tenían las unidades de cuidado crítico antes de iniciar la implementación. Es explicable dadas las características de los pacientes hospitalizados en nuestro centro con una alteración moderada y/o severa del gasto cardiaco, y con alteración en la perfusión tisular. Los resultados identificados con la Guía de Cuidado de la úlcera en pie en pacientes diabéticos muestran un aumento en la valoración de miembros inferiores y una valoración formal de la úlcera con reporte completo en la historia clínica. Este resultado es contundente dado que la evaluación de esta información en la historia clínica pre implementación tuvo resultados entre bajos y aceptables. Aunque ha cobrado gran importancia esta evaluación de pacientes diabéticos con úlcera en pie, algunos problemas relacionados con el sistema de salud como la imposibilidad de continuidad en el cuidado de úlceras y la amputación de partes del pie o de la extremidad han limitado los alcances del cuidado por el personal de Enfermería.
En general la implementación de las GPC y la conexión continua con la red de grupos y centros de la RNAO ha permitido vislumbrar la importancia de este proyecto colaborativo en términos de aprendizaje y cuidado dirigido teniendo en cuenta el riesgo de cada individuo. El análisis trimestral de las estadísticas (eventos) relacionadas en cada servicio ha mejorado el entendimiento del valor del reporte de eventos y el impacto en el cuidado en relación a los resultados. El entusiasmo general y la apropiación individual de este conocimiento han contribuido a la formación de equipos de implementación y la identificación y formación de líderes institucionales.
Este proceso de implementación institucional ha conducido hacia un mejoramiento en la documentación de los eventos, evaluación y análisis crítico de los indicadores en grupos y por servicios, mejorando el impacto en las evaluaciones nacionales e internacionales en términos de acreditación. El trabajo en red con otros centros a nivel mundial ha permitido comprender los avances y progresos como institución y los alcances comparados con otros centros de niveles nacional y mundial.
Las limitaciones de este proceso pueden haber afectado los resultados. Los análisis de la NQuIRE no tienen en cuenta aspectos como número de enfermeras por paciente, tipo de complicaciones del paciente, que en la FCI-IC están relacionados con problemas cardiovasculares y de bajo gasto cardiaco, edad del paciente, número de intervenciones y reintervenciones quirúrgicas, estado de conciencia y número de medicamentos que recibe un paciente, o el aumento en el reporte de eventos comparado con el periodo de pre implementación, entre otros.
En cuanto a la sostenibilidad de la implementación se ha planeado como parte de la transferencia del conocimiento. La Transferencia de cada GPC se viene planeando desde la inducción y entrenamiento que se realiza a los nuevos profesionales de enfermería y auxiliares; y mediante la continuidad de las intervenciones a partir de la valoración integral del paciente, la planeación, ejecución y evaluación del cuidado. Se espera entregar un informe al finalizar el año 2016.
La identificación de recomendaciones con limitaciones en sus niveles de evidencia ha promovido la planeación y desarrollo de varios estudios de investigación en enfermería y la promoción de la prescripción de intervenciones de enfermería en el grupo de piel. La creación de la cultura del cuidado en relación al riesgo es uno de los aspectos más valiosos de esta implementación.
https://revistas.unab.edu.co/index.php/medunab/article/view/2617/2278 (pdf)
Olga Lucía Cortés, Investigadora Asociada al Departamento de Investigaciones, Calle 163ª #13B-60. Torre H. Fundación Cardioinfantil –IC. Bogotá, D.C. Colombia. Correo electrónico: olgacortesf@gmail.com











