Artículos Académicos
Recepción: 14 Marzo 2022
Aprobación: 15 Diciembre 2022
Resumen: Examinamos la relación entre los robos a transeúnte como variable dependiente y la pre- sencia de estructuras criminales, como independiente. El soporte teórico lo proporciona la teoría de la desorganización social. Las unidades de análisis son las demarcaciones de la Zona Metropolitana del Valle de México. La metodología es mixta; por una parte, calculamos el índice de Moran bivariado a nivel local para fundamentar la hipótesis, por otra, para profundizar, analizamos los relatos originales de actores clave como ladrones y policías, situados en el contexto de la alcaldía Cuauhtémoc y Benito Juárez en la Ciu- dad de México. Los resultados evidencian autocorrelación espacial entre las variables en algunas demarcaciones, mientras que, en los casos de estudio, se observa que las estructuras criminales deterioran el control social, favorecen el desarrollo de motiva- ciones delictivas e incentivan la comercialización de bienes robados. Así, a diferencia de estudios similares, discutimos fuentes contextuales de desorganización social como explicación del crimen urbano.
Palabras clave: robo a transeúnte, estructuras criminales, desorganización social, aná- lisis mixto, ZMVM.
Abstract: We examined the relationship between pedestrian robbery as a dependent variable and the presence of criminal structures as an independent variable. The theoretical support is provided by the theory of social disorganization. The units of analysis are the districts of the Metropolitan Zone of the Valley of Mexico. The methodology is mixed; we cal- culate the bivariate Moran index at the local level to test the hypothesis and to go deeper we analyze the original accounts of actors such as thieves and policemen, located in the context of Cuauhtémoc and Benito Juárez in Mexico City. The results show spatial au- tocorrelation between variables in some districts, while, in the cases study, it is observed that criminal structures deteriorate social control, favor the development of criminal motivations and encourage the commercialization of stolen goods. Thus, unlike similar studies, we problematize contextual sources of social disorganization as an explanation of urban crime.
Keywords: pedestrian robbery, criminal structures, social disorganization, mixed analy- sis, ZMVM.
Introducción
Por su magnitud, el robo a transeúnte (RT)1 es una de las principales amenazas para la población en el espacio público, en términos de delincuencia; de acuerdo con datos del Secretariado Ejecutivo del Sistema Nacional de Seguridad Pública (SESNSP), este delito representó 12.2% de los robos registrados a nivel nacional en 2018, únicamente detrás de los robos no especificados (27.7%), robo de vehí- culo automotor (26.4%) y robos a negocio (14.1%), a pesar de reportar una cifra negra de 94.7% (INEGI, 2019).2 Por dicho motivo, su reducción sostenida es fundamental para la construcción de seguridad ciudadana en el espacio público.3 Las ciencias sociales pueden contribuir a cumplir dicho propósito, produciendo evidencia empírica relevante para la formulación de políticas públicas.
Al respecto, los estudios previos para el caso mexicano explican la con- centración espacial del RT desde las teorías ecológicas del delito, frecuentemente en unidades de análisis microlocales (Vilalta, 2009; Vélez et al, 2014; Calvi- llo, 2014; Sánchez, 2014; Cortez, 2017; Fuentes y Sánchez, 2017; Flores, 2021; Bonilla y Arteaga, 2021; Fernández y Varela, 2021; Cortez y Grijalva, 2021; Fuentes, 2021; Vargas, 2021, 2022).4 Empero, dentro de los correlativos han sido ignorados factores sociopolíticos propios del contexto latinoamericano que mer- man las capacidades de autorregulación social e incrementan las oportunidades delictivas, favoreciendo la acumulación social de la violencia, como la impuni- dad, corrupción o la presencia de estructuras criminales.
Nuestro propósito es contribuir a reducir esta laguna desde una perspecti- va contemporánea de la teoría de la desorganización social, examinando la rela- ción entre las tasas de RT como variable dependiente y el número de estructuras criminales (EC), como variable independiente. Para probar la hipótesis, proce- demos con una metodología secuencial (Creswell, 2009); por una parte, calcula- mos el índice de Moran bivariado a nivel local (IM) tomando como unidades de análisis a las 76 demarcaciones territoriales de la Zona Metropolitana del Valle de México (ZMVM), región representativa del problema a nivel nacional que, además, dispone de unidades de análisis instrumentalmente relevantes (Gunder-
1 Es el apoderamiento de un bien jurídico material sin el consentimiento de su dueño legal o legítimo.
2 En cambio, los robos de vehículo registraron una cifra negra de 38.1 y robo en casa habitación de 89.1 (INEGI, 2019). Robo de vehículo cuenta con un bajo nivel de subreporte pues es necesa- rio realizar una denuncia para hacer válido un seguro automotriz.
3 Entendida como “el proceso de establecer, fortalecer y proteger el orden civil democrático, eliminando las amenazas de violencia en la población y permitiendo una coexistencia segura y pacífica” (PNUD, 2013, p.1).
4 En los últimos años ha incrementado el número de estudios sobre robo a transeúnte, pero son minoritarios dentro de la agenda de investigación sobre distribución diferencial del delito en comparación de aquellos abocados al análisis del homicidio doloso y robo de vehículo.
mann, 2013), y, por otra, para profundizar en los resultados, analizamos 34 rela- tos originales de actores clave como ladrones, policías, funcionarios y miembros de la comunidad, situados en el contexto de las alcaldías de Cuauhtémoc y Benito Juárez en la Ciudad de México.
Los resultados del análisis exploratorio de datos espaciales evidencian que existe asociación entre ambas variables, mientras que el análisis cualitativo contribuye a comprender la relación mostrando, sin que esto implique generali- zación, que las grandes EC favorecen la reproducción masiva del RT a partir del deterioro del control social formal e informal, el desarrollo de motivaciones de- lictivas y la disponibilidad de mercados ilegales en donde es posible comerciali- zar los objetos robados. Así, el estudio problematiza factores de desorganización social faltantes en la literatura para el caso mexicano.
Además de la introducción, el estudio se estructura en seis apartados; 1) soporte teórico, 2) comportamiento del RT en la ZMVM, 3) contexto de las EC en la misma región, 4) análisis exploratorio de datos espaciales, incorporando otros robos y correlativos usuales en la literatura para enriquecer la discusión, 5) análisis cualitativo, 6) conclusiones.
Soporte teórico: autorregulación social y criminalidad urbana.
Dentro de las teorías sociales del delito,5 la teoría de la desorganización social (DS) es el “marco teórico fundamental para comprender la relación entre las características de las comunidades y la delincuencia en las zonas urbanas” (Kubrin y Wo, 2016: 121). Lo anterior, por su consistencia empírica, aunque no está exenta de críticas (Cid y Larrauri, 2014; Díaz, 2018; De Oliveira y Rodri- gues, 2013). A grandes rasgos, la teoría propone que las tasas delictivas son más altas en aquellos territorios en donde las instituciones informales son incapaces de mantener el comportamiento de sus miembros dentro de valores convenciona- les (Kornhauser, 1978; Walker, 2009; Cid y Larrauri, 2014; Kubrin y Ho, 2016; Díaz, 2021); en otras palabras, “la delincuencia tiene su origen en la dinámica de la vida comunitaria” (Shaw y Mckay, 2010, p. 114), en otras palabras, “se habla de [desorganización social] cuando los residentes de una comunidad no pueden alcanzar un acuerdo para la solución de sus problemas en común” (Diaz, 2022: 219). Allende a la discusión normativa, el núcleo explicativo central de la DS se encuentra en la autorregulación social o en cómo las propias comunidades permi- ten o no la proliferación de conductas antisociales. Examinando las dinámicas de autorregulación es posible vislumbrar los mecanismos de inclusión y exclusión social (Luhmann, 2007) que llevan a la reproducción masiva del crimen.
5 Las teorías sociales tienen por objeto de la distribución diferencial del delito; las teorías indi- viduales centran el foco de atención en la carrera delictiva.
Durante el siglo XX, la idea de autorregulación en el marco de la DS transitó por tres etapas de desarrollo (conflicto normativo, entramado asociativo y eficacia colectiva), respondiendo a las mutaciones del fenómeno delictivo en las ciudades y las transformaciones socioculturales a las que respondieron las mismas, así como a las propias inconsistencias argumentales de la teoría.
En una primera etapa, a principios del siglo XX, se planteó que la auto- rregulación conforme a valores convencionales en las localidades se difuminó a causa de los conflictos normativos que suscitaron los intensos flujos migrato- rios en las grandes ciudades de Estados Unidos, las cuales experimentaban en ese momento un proceso acelerado de urbanización (Park, 1915; Burgess, 1925; Thrasher, 2021; Shaw y Mckay, 2010; Sánchez, 2014; Walker, 2009). En otras palabras, la mezcolanza cultural propició la pérdida de la identidad comunitaria, fracturando los vínculos sociales cercanos que hacían posible el control social (Cid y Larrauri, 2014). La ausencia de agentes reguladores efectivos (el control recayó sobre el marco legal) en combinación con la acumulación de desventajas socioeconómicas,6 abrió oportunidades para la reproducción de las incivilidades en las zonas industriales, en donde los delitos comenzaron a concentrarse (Díaz, 2021; De Oliveira y Rodrigues, 2013; Vilalta y Fondevila, 2014). Desde esta perspectiva, movilidad residencial o heterogeneidad étnica son correlativos cen- trales de la DS.
Aunque los planteamientos anteriores encontraron fundamentación empíri- ca en The Juvenile Delincuency and Urban Areas de Shaw y Mckay (1942), la DS se desestimó durante la mitad del siglo XX por sus inconsistencias argumentales (De Oliveira y Rodrigues, 2013); en palabras de Diaz (2021): tautología, carácter normativo, supuesto de estabilidad de las tasas delictivas, asunción de estructuras ecológicas estables, uso de información oficial y falacia ecológica o inferir el com- portamiento individual a partir de datos agregados (Díaz, 2018; Cid y Larrauri, 2014; De Oliveira y Rodrigues, 2013; Paternoster y Bachman, 2013). No obstante, durante la década de 1980, la concentración del crimen en zonas específicas de las ciudades renovó el interés en el programa de investigación, junto con los esfuer- zos por resolver las inconsistencias a partir de métodos multivariados (Díaz, 2021, 2022). En esta segunda etapa, la autorregulación se problematizó a la luz del en- tramado asociativo o la densidad de las relaciones sociales. La propuesta es que la supervisión social depende de la continuidad de la comunidad o de la densidad de redes dentro de las comunidades (Bursik y Gramsmick, 1993; Vilalta y Fondevila, 2014); la incidencia de los factores estructurales sobre las tasas delictivas está me- diada por la fractura de las instituciones sociales (Diaz, 2021; Sampson y Groves,
6 La pobreza individual se convierte en un factor criminógeno cuando interactúa con débiles capacidades de guarda; en este marco, los individuos se plantea la posibilidad de satisfacer ne- cesidades asociadas con la escasez de recursos por medios no legales, como la satisfacción de necesidades básica, estatus social o reconocimiento (Vargas, 2022).
1989). De acuerdo con la literatura, factores que propician la interrupción comu- nitaria son la disrupción familiar (Sampson, 1986), densidad poblacional (Stark, 1987) y homogeneidad socioeconómica (Wilson, 1987), entre otros. El problema con esta especificación es que los altos niveles de cohesión social, concepto similar al capital social, no necesariamente conducen a bajas tasas delictivas; las asocia- ciones diferenciales (Sutherland,1947), en donde se desarrollan motivaciones para delinquir, son producto de fuertes lazos sociales (Peña y Varela, 2021). Esto deses- tima la utilidad del entramado asociativo como explicación del crimen.
El argumento se fortaleció en la última gran etapa de desarrollo en la década de 1990, con la idea de eficacia delictiva (Sampson, Raudenbush y Earls, 1997), “el grado de cohesión social entre los vecinos de una comunidad con vo- luntad para intervenir en favor del bien colectivo” (Vilalta y Fondevila, 2014, p. 34). A diferencia del entramado asociativo, la eficacia colectiva implica predis- posición para involucrarse en la solución de los problemas comunitarios, “situa- ción que debería impactar en un fortalecimiento del control social” (Díaz, 2018: 109), conduciendo, consecuentemente, hacia la reducción de las tasas delictivas.
Conforme a la literatura reciente, consideramos que una concepción con- temporánea de la DS debe plantear que la eficacia colectiva se encuentra mediada por la interacción entre condiciones estructurales contextuales, como la debilidad del Estado de Derecho en América Latina, e internas, distintivas de las localida- des, como las representaciones sociales (Moscovici, 1979) particulares sobre las funciones sociales de la violencia (Espinosa, 2019); en otras palabras, factores contextuales hacen posible la interacción entre las condiciones que conducen a la reproducción masiva del crimen.
Una de las condiciones ignoradas en la literatura para el caso mexicano es la presencia de EC, que podemos ubicar dentro de los factores estructurales considerando su génesis sociohistórica (Alvarado, 2016). Las EC minan la efi- cacia colectiva cuando establecen gobernanzas criminales con gobiernos e insti- tuciones informales para operar al amparo de la impunidad (Trejo y Ley, 2022; Escobar, 2012). Estas gobernanzas pueden establecerse por corrupción o violen- cia, lo que puede “llevar a una total ausencia del Estado” (Escobar, 2012: p. 30). Al imponer las reglas del juego con sus propios mecanismos de sanción, las EC merman la voluntad para intervenir ante el crimen, ese es el mecanismo causal; autoridades y residentes, aunque quieran, no intervienen sobre las incivilidades para no correr el riesgo de romper los acuerdos establecidos. Así, en aquellos territorios controlados por los grupos criminales, que podemos calificar como geografías de impunidad por la ausencia forzada de guardianes capaces, también proliferan oportunidades para la comisión de delitos no relacionados con la delin- cuencia organizada (Escobar, 2012; Fuentes, 2016). Expuesto lo anterior, nuestra hipótesis es que las EC se relacionan con las tasas de RT.
Robo a transeúnte en la Zona Metropolitana del Valle de México
En los últimos años, en México la criminalidad urbana ha mantenido una tenden- cia ascendente; de 2015 a 2021, los delitos comunes registrados por cada 100,000 habitantes aumentaron 16%; después de la pandemia, con la reactivación de las actividades cotidianas, la incidencia delictiva retomó su ritmo.

Gráfica I. Delitos comunes por cada 100,000 habitantes en México, 2015-2021. Elaboración pro- pia con datos del SESNSP y CONAPO
En este marco, durante el periodo 2015-2018,7 74.9% de los delitos patrimoniales registrados a nivel nacional fueron robos, de los cuales 11.6% correspondió a los RT. A pesar de contar con un subregistro superior al 94% en dicho lapso (INEGI, 2019), es uno de los robos más frecuentes según las cifras oficiales. Allende a su importancia estadística, los RT son relevantes como problema social porque vulneran a la población en espacios pensados originalmente para la integración social, convencional; a pesar de esto, la mayor parte de los gobiernos responden de forma genérica. En el ámbito académico, aunque en los últimos cinco años ha incrementado la literatura en la materia, continúa dominando el estudio de la violencia homicida, por lo que las lagunas en el campo de conocimiento sobre la delincuencia urbana todavía son amplías.
7 El recorte temporal se ubica en 2015-2018 para considerar los datos correspondientes a la nueva metodología para la sistematización de la incidencia delictivas hasta la conclusión de los gobiernos prepandemia.

Al respecto, el RT es un fenómeno fundamentalmente urbano; en el periodo 2015-2018, el SESNPS reportó un total de 337,664 carpetas de investigación por este delito; 91.1% (307,637) se registró en demarcaciones que forman parte de algunas de las 74 zonas metropolitanas de México.8 En otras palabras, los RT se concentraron únicamente en 16.9% (416) de los municipios del país. En este contexto, la ZMVM concentró 44.41% de los RT, superando ampliamente a la zona metropolitana de Guadalajara (13.9%).9 En términos de tasa, la ZMVM registró 159 carpetas por cada 100,000 habitantes, detrás de Villahermosa, Mexi- cali y Guadalajara.10 En resumen, considerando los datos absolutos y relativos, la ZMVM es una región representativa del fenómeno.
8 Zona metropolitana se define como “el conjunto de dos o más municipios donde se localiza una ciudad de 100 mil o más habitantes, cuya área urbana, funciones y actividades rebasan los límites del municipio, incorporando dentro de su área de influencia directa a municipios vecinos, predominantemente urbanos, con los que mantiene un alto grado de integración socioeconómica” (INEGI, 2018, p. 35).
9 Agrupamos los robos a transeúnte en vía publica y robos a transeúnte en el espacio público al considerar que conceptualmente se tratan del mismo fenómeno.
10 La tasa se calculó con el promedio de robo a transeúnte y población a mitad de año corres- pondiente al periodo 2015-2018.

En términos generales, la Encuesta Nacional de Victimización y Percepción sobre Seguridad Pública (ENVIPE) del INEGI permite saber que en la ZMVM los robos en la calle: 1) son delitos juveniles que requieren algún nivel de planificación, 2) que la probabilidad de victimización no depende del género o la edad, 3) que, a diferencia de la creencia común, ocurren con mayor frecuencia durante el día y
4) que las víctimas son despojadas principalmente de dinero y teléfonos celulares.
Por otro lado, las demarcaciones de la ZMVM son instrumentalmente relevantes (Gundermann, 2013); la tasa de RT varia notablemente en las mismas a pesar de su alto grado de integración económica y similitudes político-adminis- trativas, principalmente entre las alcaldías de la CDMX y municipios del Estado de México (EDOMEX).

Estructuras criminales en la Zona Metropolitana del Valle de México
Por EC nos referimos a “un grupo de tres o más individuos que se coordinan durante un periodo prologando para llevar una o más actividades criminales, en una o más zonas geográficas” (Sánchez y Jasso, 2020: 89).11 En la actualidad, sabemos que las mismas se han extendido a lo largo del territorio nacional por las disputas de plazas de narcomenudeo y trasiego de drogas, así como de pro- ductos de contrabando, y que se relacionan, de algún modo, con la explosión de la criminalidad, particularmente la violencia letal (Sánchez y Núñez, 2001; Llorente et al., 2002; Diaz, 2022; Zepeda, 2017; Escalante, 2011; Trejo y Ley, 2022; Vargas, 2021b; Díaz, 2022; Hernández-Gutiérrez, 2021); en el caso de la CDMX, incluso, han protagonizado atentados en contra de funcionarios locales de alto perfil. Sin embargo, un campo inexplorado es la incidencia de las EC so- bre la delincuencia no vinculada con sus actividades; es plausible pensar que las gobernanzas criminales (Trejo y Ley, 2022) son aprovechadas por otros actores para operar con impunidad, particularmente en regiones con alta criminalidad urbana como la ZMVM.
Ante la inexistencia de información oficial sobre la distribución geográ- ficas de las EC a nivel municipal en la ZMVM,12 recurrimos a las siguientes fuentes de información para obtener datos que permitan probar la hipótesis: a) los datos producidos por Sánchez (2017), quien realizó una revisión sistemática en medios electrónicos para identificar a las EC que operan en demarcaciones del EDOMEX y CDMX, actualizados hasta junio de 2017 y b) revisión propia de medios electrónicos, hasta el cierre de 2018. Al respecto, replicamos la metodo- logía de Sánchez y Jasso (2020): procedimos con el registro cuando el nombre de una EC apareció en dos notas distintas.13
Al proceder de esta manera, contabilizamos 21 EC en las demarcacio- nes de la ZMVM: Cartel Jalisco Nueva Generación (CJNG), Anti-Unión Tepito, Beltrán, Cártel del Sur, Empresa, Familia, Golfo, Guerreros, Imperio, Mazos, Nueva Familia, Rodolfos, Rojos, Sapos, Sinaloa, Subakia, Templarios, Tláhuac, Tlalpan, Unión Tepito y Zetas, ubicadas en el centro y oriente de la ZMVM.
11 De manera similar, la Ley Federal contra la delincuencia organizada establece que las perso- nas que se organicen para realizar de forma permanente o reiterada conductas que tienen como fin o resultado cometer algún delito serán sancionadas como miembros de la delincuencia orga- nizado. De lo anterior se deduce que las estructuras criminales son aquellas que se forma a partir de la asociación delictuosa.
12 Mediante solicitudes de información pública, la Fiscalía General de la República negó la
existencia de los datos (folios 0001700409920 y 0001700755320).
13 Probablemente ofrecemos una aproximación bastante limitada sobre la cantidad de EC en las unidades de análisis debido a la propia naturaleza difusa de las misma o errores en la ejecución de la metodología.

Autocorrelación espacial entre robo a transeúnte y estructuras criminales en la ZMVM
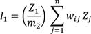
Para probar la hipótesis examinamos la autocorrelación espacial entre las va- riables o, en otras palabras, la asociación que desarrollan a través del espacio geográfico (Siabato y Guzmán, 2019, p. 2), misma que “refleja el grado en que objetos o actividades en una unidad geográfica son similares a los objetos o acti- vidades en unidades geográficas próximas” (Lucero y Celemín, p. 97). Para esto, calculamos el índice de Moran bivariado a nivel local, que permite, por un lado, conocer la dirección (positiva, negativa, sin relación) y fuerza de la asociación espacial entre variables distintas y, por otro, obtener “observaciones agrupadas en zonas y generar categorías sobre el tipo de asociación a la que pertenecen” (México Evalúa, 2018: 47). Al respecto, el diagrama de Moran clasifica las enti- dades espaciales en cuatro cuadrantes:
• Inferior izquierdo: unidades espaciales con valores bajos rodeadas de
otras con valores bajos (bajo-bajo)
• Superior izquierdo: unidades espaciales con valores bajos rodeadas de
otras con valores altos (bajo-alto)
• Inferior derecho: unidades espaciales con valores altos rodeadas de otras con valores bajos (alto-bajo)
• Superior derecho: unidades espaciales con valores altos rodeadas de otras con valores altos (alto-alto)14
14 Los valores altos se ubican por arriba de la media y los bajos son inferiores a dicho parámetro
(Anselin, 1996; Celemín, 2009).
La estructura del IM global es la siguiente:



En donde m2 es la varianza; las observaciones z son las desviaciones de la media. Para el análisis bivariado, la variable 𝑥 de la región 𝑖 se compara con la variable 𝑦 de la región 𝑗 (Quiroga, 2018). Dicho esto, la hipótesis nula (Ho) niega la autocorrelación espacial bivariada, mientras que la hipótesis alternativa (Ha) plantea la existencia de autocorrelación.15
Estadísticos descriptivos
La variable dependiente se operacionaliza como la tasa de robo a transeúnte (RT) por cada 100,000 habitantes para el periodo 2015-2018; para obtener una ob- servación global, la tasa se calculó a partir del promedio de incidencia y pobla- ción. Los datos provienen del SESNSP y CONAPO. La variable independiente se operacionalizó con número de EC. La información provino de la revisión he- merográfica, así como los datos de Sánchez (2017) como punto de partida. Para ampliar la discusión, incluimos variables independientes adicionales usuales en la literatura adscrita a la DS, así como otras dependientes; diferentes tipos de robos. La tabla I resume los estadísticos descriptivos.
15 Estableciendo un nivel de confianza de 95% (a=0.05) utilizamos el paquete de uso libre Geo- Da para calcular el IM a nivel local bivariado. La matriz de pesos se definió con una contigüidad reina de primer orden debido a que las unidades de análisis son polígonos que presentan contacto físico directo. Puesto que los datos no provienen de una muestra seleccionada aleatoriamente, la prueba de significancia se basa en una aleatorización de 999 permutaciones a fin de comparar los valores de autocorrelación con aquellos derivados de la distribución real (Lucero y Celemín, 2008; Celemín, 2009; Sánchez, 2004).

Nota: en color gris las variables dependientes. Elaboración propia con datos del SESNSP,
CONAPO, INEGI y revisión hemerográfica.
Resultados
Los resultados, estadísticamente significativos de acuerdo con P, muestran que las tasas de RT en algunas demarcaciones de la ZMVM se asocian espacialmente de manera positiva con alto número de EC, disrupción familiar y densidad pobla- cional; nuestra hipótesis se fundamenta empíricamente. En cambio, la relación es negativa con población joven masculina y pobreza, contradiciendo las proyec- ciones teóricas. Lo anterior sugiere que la magnitud del RT responde a la clase de control social, más que a la concentración de desventajas sociales.

Fuente: elaboración propia
Por otra parte, la relación de las EC es más fuerte con RT en comparación con otras variables dependientes; asimismo, la relación no es estadísticamente signi- ficativa con robo de vehículo y robo a casa habitación. Es plausible plantear que estos delitos forman parte del abanico de actividades de las EC.
Tabla II. Autocorrelación espacial de las estructuras criminales con distintas variables
dependientes en la ZMVM

Fuente: elaboración propia
Ahora bien, las demarcaciones correspondientes al cuadrante superior dere- cho del diagrama de Morena (alto-alto) se ubican en la franja nororiente de la CDMX: Azcapotzalco, Gustavo A. Madero, Iztacalco, Iztapalapa, Tláhuac, Be- nito Juárez, Venustiano Carranza, Atizapán de Zaragoza, Coacalco, Chicoloapan, Chimalhuacán, La Paz y Tlalnepantla de Baz.

Es importante decir que las EC no actúan simultáneamente como variable depen- diente e independiente; de acuerdo con miembros del crimen organizado, estas es- tructuras centran su foco de atención en actividades que representan un alto volumen de ganancias económicas, como extorsión, narcomenudeo o robos de alto impacto:
“Los cárteles controlan robo de auto, cuentahabiente, secuestro, extorsión y la venta de
drogas” (entrevista a ofensor 1, realizada el 27/02/2021).23
“Las estructuras criminales no se interesan en el robo a transeúnte porque económicamente les conviene más vender drogas” (entrevista a ofensor 4, realizada el 04/03/2021). 24
Lo anterior está en línea con la perspectiva de las autoridades, quienes señalan que “existe una relación cuando hablamos de delitos más graves como extorsión” (entrevista a dictaminador de carpetas de investigación, realizada el 13/04/2021), pero principalmente con la experiencia de los ladrones que no forman parte de ninguna estructura criminal, quienes refieren que, por ejemplo, con las ganancias que se obtienen con los RT, apenas se cubren necesidades elementales como un cuarto en una colonia marginada en donde pasar la noche o cubrir una dosis de una droga de bajo precio (el crack es la más frecuente);25 el RT es más importante como mecanismo de inclusión a grupos de pares26 en donde los individuos sien- ten reconocimiento (Bourgois, 2010).
Precisado lo anterior, los relatos muestran que las EC favorecen la reproducción del RT a partir de tres mecanismos: 1) deterioro del control social, 2) formación de motivaciones delictivas, y 3) creación de mercados ilegales en donde se intro- ducen los bienes robados.
El papel de las estructuras criminales en la reproducción del robo a transeún- te: deterioro del control social, motivaciones delictivas y mercados ilegales
Para conocer, al menos de forma inicial, cómo las EC inciden en la reproducción masiva del RT, contrastamos los supuestos teóricos de la DS con relatos origina- les de actores clave para comprender la relación: ofensores, policías preventivos, funcionarios locales y miembros de la comunidad. Los relatos fueron recopilados a través de entrevistas semiestructuradas, diseñadas para extraer experiencias del ámbito individual, relacional, comunitario y social.
La selección de los entrevistados se realizó aplicando la técnica de la “bola de nieve”16, pues en su mayoría son actores difíciles de ubicar por sus acti- vidades ilegales; los ladrones suelen permanecer en el anonimato17 y, además, es poco probable que narren ante un desconocido su participación, directa o indirec- ta, en el ejercicio de la violencia para no poner en riesgo su libertad o integridad física (Scott y Wright, 2008; Goldstein, 2014; Williams et al., 1992). Por lo an- terior, fue necesario construir rapport sólido18 con informantes clave; individuos con el poder19 para permitir el acceso a los ambientes cotidianos de los ofensores e interactuar con los mismos en un proceso de investigación.
16 Consiste en pedirle a los entrevistados que presenten a otros sujetos con características similares.
17 De acuerdo con los propios entrevistados, el anonimato es una condición necesaria para desa- rrollar una carrera delictiva duradera debido a que evita conflictos con la familia, la comunidad y la policía.
18 Un rapport que permitiera acudir varias veces con dichos actores para solicitar y obtener su
apoyo.
19 Poder fincado en los roles que desempeñan como líderes con capacidad de sanción dentro del
mundo criminal o la administración pública local.
Los relatos de los ofensores y policías se sitúan principalmente en el contexto de la alcaldía Cuauhtémoc en la CDMX, pero también abarcan el caso de la alcaldía Benito Juárez, una de las demarcaciones ubicadas en el cuadrante superior dere- cho del diagrama de Moran; como casos de estudio son instrumentalmente rele- vantes (Stake, 1999; Gundermann, 2013) por dos motivos: a) registran altas tasas en la ZMVM y b) la presencia de un alto número de EC, tomando como referen- cia la media de la ZMVM.20 Con el análisis no pretendemos generalizaciones ni respuestas deterministas, sino entender, de manera preliminar, la relación entre las variables en contextos relevantes, paso esencial para comprender los meca- nismos causales subyacentes; los resultados son válidos para la alcaldía Cuauh- témoc y Benito Juárez y, recurriendo a la inferencia analítica, a demarcaciones similares (Giménez, 2012); centros de actividad política, financiera y comercial.
Cuadro 1. Resumen de entrevistas realizadas21

20 En Cuauhtémoc se encuentran 6 EC: Unión Tepito, Anti-Unión Tepito, Cartel Jalisco Nueva Generación, Sinaloa, Zetas y Guerreros Unidos; En Benito Juárez hay 3: Anti-Unión, Unión Tepito y Templarios. El promedio de la ZMVM es de 2.
21 La sistematización de la información se realizó con el apoyo del programa Atlas.ti.
22 Las entrevistas con ofensores en libertad cuentan con algunas ventajas a favor de la validez de los datos con respecto a las entrevistas a población reclusa: no se encuentran sujetas a la in- fluencia de la prisión o la libertad condicional y es más probable que reflejen los compromisos y actividades actuales de los ofensores (Scott y Wright, 2008).
Deterioro del control social, formal e informal
Las EC deterioran el control social al construir geografías de impunidad; espa- cios en donde las autoridades y las instituciones sociales no intervienen ante el crimen e incivilidades, convirtiéndose en “agentes con racionalidad variable y,
23 Hombre de 34 años. Reside en Benito Juárez, CDMX. No terminó la secundaria. Es adicto al crack. Está casado. Tiene tres hijas. Combina actividades informales como limpieza doméstica con la comisión de robos a transeúnte, robo de autopartes y robo de negocio sin violencia, en alcaldías como Cuauhtémoc y Benito Juárez y municipios como Chalco. Cuenta con experiencia en robo de vehículo, secuestro exprés y narcomenudeo.
24 Hombre de 33 años de edad, con residencia en Cuauhtémoc en la CDMX. Está casado, terminó la secundaria y tiene 3 hijos. Comenzó su carrera delictiva a los 14 años, robando a tran- seúntes en colonias de la alcaldía Cuauhtémoc como Condesa, Centro y Doctores. Actualmente es narcomenudista.
25 No hablamos de más de 500 pesos mexicanos.
26 Grupos de individuos que comparten características similares en donde se socializan valores no convencionales y técnicas delictivas; a diferencia de una estructura criminal, carecen de una organización definida y no se dedican, exclusivamente, a la comisión de delitos (Thrasher, 2021).
generalmente, participantes del conflicto” (Peña y Rivera, 2018: 26). Así, las EC facilitan, por un lado, el establecimiento de asociaciones diferenciales (Suther- land, 1947) y, por otro, la comisión de RT.
Por un lado, las EC neutralizan al aparato judicial del Estado a través de co- rrupción o, en su defecto, violencia. Con respecto a la dinámica de la corrupción,27in- tercambio de dinero por omisión, los policías entrevistados relataron lo siguiente:
“Existen acuerdos entre narcotráfico y policía; llegan (los criminales) y te dicen: ―en esta calle no quiero policías, ubícalos en otro lado―” (entrevista a policía 7, realizada el 20/03/2021).28
“He visto a mandos policiales coludidos con el narcotráfico. Los dejan trabajar a cambio de cuotas. Los policías estiran descaradamente la mano” (entrevista a policía 8, realizada el 20/03/2021).29
La violencia, agresiones físicas o amenazas, aparece cuando los oficiales se re- sisten a la corrupción: “cuando te niegas a colaborar entonces comienzan los ata- ques directos” (entrevista a policía 7, realizada el 20/03/2021). El asedio de las EC sobre la policía es más intenso en colonias con alta densidad de uso de suelo no residencial, pues son apropiadas para la extorsión y narcomenudeo; “En colo- nias en donde hay dinero y negocios como Condesa, Roma, Zona Rosa o la colo- nia del Valle el crimen organizado tiene mucho poder sobre la policía. Imagínate cuánto le cobran a un negocio” (entrevista a ofensor 1, realizada el 27/02/2021).
Los vacíos de poder instaurados por las EC dejan vulnerable a la pobla- ción ante toda clase de actividades ilícitas. Los ladrones, consientes de esta situa- ción, aprovechan para operar con impunidad:
“La policía no entra a las calles o colonias en donde venden drogas. En esos lugares es más fácil robar. El crimen organizado nos abre un poco el camino con la autoridad” (entrevista a ofensor 1, realizada el 27/02/2021)
“El crimen organizado paga por su seguridad. Nosotros que somos de menor dimensión, por decirlo así, nos beneficiamos de eso. Decimos: ― en esta calle no pasa la tira [po- licía] porque fulanito paga, entonces: cristalazo al carro, al que pase chinealo,30 al que salga del banco robalo―. Eso influye mucho la verdad” (entrevista a ofensor 9, realizada el 09/03/2021). 31
27 De acuerdo con el índice de Estado de Derecho del World Justice Project para 2018, la CDMX es la entidad con mayor corrupción, con una puntuación de 0.27. De acuerdo con INEGI, al cierre de dicho año, únicamente 5.6% de las demarcaciones de la CDMX contó con plan o programa anticorrupción.
28 Es policía desde el año de 2009. Cuenta con experiencia en la alcaldía Benito Juárez e Izta- palapa. En la actualidad, realiza labores de motopatrullaje en las colonias Doctores y Asturias en Cuauhtémoc, CDMX.
29 En la actualidad realiza labores de patrullaje en motocicleta en la alcaldía Cuauhtémoc.
30 Modalidad de robo a transeúnte que consiste en aplicar a la víctima una llave china hasta que pierda el conocimiento, con el fin de despojarlo fácilmente de sus pertenencias.
31 Hombre de 42 años de edad. Reside en la alcaldía Cuauhtémoc, CDMX. Terminó la prepara-
Por otra parte, las EC producen miedo entre las localidades inhibiendo la eficacia colectiva, pues cualquier intento de intervención ante las incivilidades32 podría “significar una violación de contrato y una posible respuesta violenta por parte de los delincuentes” (Escobar, 2012, p. 40). Entre los residentes de las co- lonias dominadas por las EC, encontramos relatos como el siguiente: “En mi cuadra hay un vendedor de droga. Todos lo vemos. Trabaja todo el día. Nadie se mete. Yo no me meto porque los policías lo conocen; los policías lo saludan. Si metes una denuncia corres el riesgo de que la información se filtre” (entrevista a vecina de la colonia Doctores, realizada el 22/03/2021). 33 Al respecto, funciona- rios y policías expresaron lo siguiente:
“La gente no habla en público. Ese es el mejor indicio para decir que hay miedo. Hay miedo porque hay amenaza de grupos delictivos que se dedican a un sinfín de cosas. Algunas personas se acercan discretamente para decirme: ―Aquí venden droga, aquí vive la familia que roba autopartes, aquí está el que se dedica al robo a transeúnte―” (entrevista a funcionaria pública de seguridad pública de Cuauhtémoc, realizada el 17/03/2021).
“Hay gente que te dice que tiene miedo de salir a la calle porque llegan con armas largas y luego los intimidan. Entonces qué pueden hacer [para establecer control sobre la co- munidad]” (entrevista a policía 13, realizada el 07/04/2021).
De este modo, el miedo deviene en localidades permisivas; los residentes re- conocen que existen conductas indeseables, pero no intervienen ante posibles represalias. Al respecto, los ofensores refirieron, con indiferencia, que no existe ningún intento de corrección por parte de la comunidad: “a la gente no le im- porta si te estás drogando en la esquina o afuera de su casa. Nadie hace nada. A nadie le importa si somos adictos o rateros” (entrevista a ofensor 9, realizada el 09/03/2021).34 Sobre esto, las autoridades comentaron que: “en esas colonias la gente no hace nada. Nunca he visto comités vecinales. No me he tocado verlo (entrevista a policía 14, realizada el 07/04/2021).
toria. No tiene hijos. Es adicto a la cocaína. Actualmente roba a transeúntes en diversas colonias de Cuauhtémoc y Benito Juárez. Inició su trayectoria delictiva a los 14 años.
32 El desorden y la incivilidad se definen como “la violación de un acuerdo tácito sobre normas de comportamiento público […] prostitutas y mendigos, consumo de alcohol en la vía pública, acoso verbal hacia las mujeres, apuestas y consumo de drogas, entre otros” (Escobar, 2012, p. 31).
33 Es una mujer de 30 años de edad. Reside desde hace dos años en la colonia Doctores en Cuauhtémoc. Las problemáticas que ubica en su colonia son la acumulación de basura en la vía pública, comercio informal, extorsión, narcomenudeo y robo a transeúnte y automovilista
34 Los intentos que existen por corregir el comportamiento antisocial son esporádicos y apelan a la emocionalidad y no a la transformación de las condiciones de vida de los ofensores: “Nunca me han dicho que deje de robar. Algunas personas se preocupan por nuestro aspecto físico y nos dicen que nos portemos bien, que dejemos las drogas. Pero nos vale” (entrevista a ofensor 3, realizada el 01/03/2021).
El repliegue de la localidad favorece la reproducción de asociaciones di- ferenciales, en donde los individuos desarrollan motivaciones delictivas, mate- riales e inmateriales,35 así como técnicas36 que los llevan, en distintas etapas del curso de vida, a la reproducción masiva del RT en espacios que ofrecen las condi- ciones situacionales adecuadas:37 objetivos adecuados en ausencia de guardianes capaces.38 En resumen, las EC inhiben cualquier acción ante la delincuencia.
Desarrollo de motivaciones delictivas
La literatura plantea que el estilo de vida de los delincuentes consolidados puede adoptarse como un modelo de referencia por parte de individuos sin posibilida- des para cumplir exceptivas sociales, principalmente reconocimiento a partir del éxito económico, motivando la comisión del delito (Shaw y Mckay, 1942; Su- therland, 1947). Sin embargo, la incidencia de las EC en el desarrollo de motiva- ciones para cometer RT es distinta;39 son actores centrales en el ciclo consumo de drogas-delito-consumo de drogas. Aunque los ladrones delinquen para satisfacer necesidades básicas, lograr aceptación por parte de un grupo de pares o conse- guir prestigió dentro del mismo, la motivación más frecuente es el consumo de drogas, lo que está en sintonía con estudios previos (Esbech y Echeburúa, 2016); entre los entrevistados son comunes relatos como el siguiente: “Robaba para el vicio. ¿Para qué te digo que para comer? No, era para el vicio. Cuando se acaban las drogas llegaba otra vez la pinche frustración y era otra vez salir a robar. Es un ciclo que no termina” (entrevista a ofensor 6, realizada el 8/03/2021).
35 Dentro de las motivaciones delictivas encontramos materiales (satisfacción de necesidades básicas, estatus económico alto, consumo de drogas) e inmateriales (aceptación, reconocimiento y adrenalina).
36 Las técnicas delictivas pueden clasificarse en función de la secuencia del delito: abordaje, interacción y escape. La profesionalización de los ofensores es relevante porque amplía conside- rablemente el abanico de oportunidades delictivas.
37 Entre los relatos recopilados identificamos tres clases de espacios: en donde se desarrollan motivaciones delictivas, espacios de oportunidades delictivas y espacios de motivaciones y opor- tunidades delictivas. Los espacios de desarrollo de motivaciones delictivas son aquellos en donde radican los ofensores, pero no delinquen. Los espacios de oportunidades delictivas son aquellos en donde los ofensores ejecutan los robos, pero no radican. Los espacios de formación y capitali- zación son aquellos en donde los ofensores ejecutan los robos y también residen.
38 Un guardián capaz no es simplemente el que se encuentra en el espacio público observando la dinámica comunitaria (Cohen y Felson, 1979; Jacobs, 2013), sino el que tiene la capacidad de intervenir ante la delincuencia.
39 Algunos ofensores socializaron después con miembros de estructuras criminales, dando paso a la formación de nuevas motivaciones y la comisión de otra clase de delitos. En estos casos, el robo a transeúnte significó el inicio de una carrera delictiva de alto impacto: “Yo he tenido rela- ción con La Familia Michoacana y el Cartel de Tláhuac. Lo más fácil es empezar con el robo a transeúnte. Pierdes el miedo” (entrevista a ofensor 1, realizada el 27/02/2021); “estuve con una organización que trabaja aquí en el centro de la ciudad. Robar a transeúntes me ayudó a conocer- los. Entras al círculo vicioso. Conoces a otra gente. Empiezas a meterte a la extorsión” (entrevista a ofensor 10, realizada el 12/03/2021).
El desarrollo de adiciones se explica por procesos estructurales que fa- vorecen la producción, distribución y consumo de narcóticos por parte de las EC, como la falta de oportunidades de desarrollo que obligan a formar parte del crimen organizado, la corrupción política que permite el control territorial del crimen o dinámicas culturales conservadoras que impiden la orientación psico- social desde la familia. Esto para decir que la relación entre consumo de drogas y delito no es producto de la desviación social, sino de mecanismos de exclusión en donde las EC juegan un rol determinante.
Mercados ilegales
La comercialización de los objetos robados, que son principalmente celulares, es posible porque existen mercados que los permiten, algunos de los cuales son operados por las EC para financiar parte de sus actividades (Vélez, 2014; Alva- rado, 2016; Fuerte, 2016; Tapia, 2020). Al respecto, los ofensores se desempeñan como proveedores independientes contribuyendo a satisfacer la enorme demanda de celulares robados: “vendo los celulares robados en Meave o por fuera [direc- tamente con la comunidad]. En la plaza de la tecnología me lo pagan bien. Como los conozco es más fácil que lo paguen a un precio alto (entrevista a ofensor 10, realizada el 12/03/2021).40
Otras vías para comercializar los objetos robados son los mercados lega- les e informales. Cuando hablamos de mercados legales, regulados por el Estado, nos referimos especialmente a las casas de empeño; al no exigir la acreditación, nada impide la entrada de bienes robados al mercado convencional: “todo se vende en casas de empeño, la mayoría de las veces; teléfonos, relojes, cadenas” (entrevista a ofensor 1, realizada el 27/02/2021).
Sobre los mercados informales, no necesariamente ilegales, cabe decir que la comunidad adquiere objetos robados directamente con ofensores. Esta, de hecho, es la principal forma de comercialización; puede ocurrir de manera espontánea o por encargo:
“Lo que me robo se lo vendo a las personas del barrio. A quien me encuentre. Cualquiera
lo compra (entrevista a ofensor 3, realizada el 01/03/2021).41
40 Meave o la Plaza de la Tecnología es un mercado de compra venta de dispositivos electróni- cos ubicada en el centro de la CDMX. De acuerdo con este ofensor: “en la plaza de la tecnología llegaban camiones de mercancía malbaratada, el crimen organizado roba camiones de discos duros. Siendo locatario te va llegar mercancía robada. Ahí hay un chingo de cabrones en la plaza de la tecnología que se dedican a pegarle al robo de negocios o de tráileres para revenderlos aquí (entrevista a ofensor 10, 12/03/2021).
41 Hombre de 35 años de edad. Terminó la secundaria. Es soltero y sin hijos. Es adicto al crack. Delinque principalmente en las inmediaciones de la Avenida Cuauhtémoc y la Zona Rosa, en la alcaldía Cuauhtémoc. Comenzó su trayectoria delictiva a los 20 años, asaltando a transeúnte en la Zona Rosa en Cuauhtémoc.
“La gente sabe a lo que nos dedicamos y nos encarga los celulares. Cuando te lo encarga una persona para uso personal te lo paga bien. Cuando son para revender te lo pagan barato” (entrevista a ofensor 9, realizada el 09/3/2021).42
En suma, la reproducción del RT es posible porque existe una alta demanda de objetos robados que es posible satisfacer en diferentes mercados, algunos opera- dos por las EC, al que cualquier sujeto puede acceder.
Conclusiones
Este estudio intenta contribuir a reducir las lagunas en el campo de conocimiento acerca de la incidencia de factores contextuales sobre la distribución diferencial del delito; en análisis descriptivo evidenció la existencia de autocorrelación es- pacial entre la tasa de robo a transeúnte y el número de estructuras criminales en demarcaciones de la Zona Metropolitana del Valle de México, mientras que, en la alcaldía Cuauhtémoc y Benito Juárez en la Ciudad de México, se observó que dichas estructuras favorecen la comisión de estos delitos al deteriorar el control social, propiciar el desarrollo de motivaciones delictivas y permitir la comercia- lización de bienes robados. Nuestro hallazgo más relevante es que las estructuras criminales pueden contribuir sustancialmente a la profesionalización del robo a transeúnte.
En este orden de ideas, el estudio muestra que los supuestos de teorías an- glosajonas, como la propia teoría de la desorganización social, no operan siempre de manera mecánica en América Latina, dialogando con la literatura previa (Es- cobar, 2012; De Oliveira y Rodrigues, 2013; Díaz, 2021; Vargas, 2021); nuestro análisis cualitativo sugiere que las capacidades para regular el comportamiento social conforme a valores convencionales están mediadas por proceso de impu- nidad que llevan a un desacoplamiento entre las funciones de las instituciones formales e informales y los medios para cumplirlas.
Apuntando hacia futuras líneas de investigación, será pertinente determi- nar, en el marco de estudios multivariados, el impacto neto o sumatorio de las estructuras criminales sobre la distribución diferencial del robo a transeúnte, así como extender el análisis a profundidad hacia otras unidades de análisis; de este modo será posible refinar el marco teórico, construir nuevas hipótesis de trabajo y producir evidencia robusta para la formulación de políticas públicas. Allende a lo anterior, es un hecho que existe una relación entre ambas variables que no podemos ignorar si pretendemos dar cuenta de los procesos que favorecen la acumulación social del crimen urbano. ֍