RESUMEN: Este estudio tiene como propósito describir la calidad del servicio en un hospital del nivel II para la satisfacción del paciente en el Perú. Se utilizó un enfoque cuantitativo, transversal y nivel explicativo. Se encuestaron a 300 usuarios de forma aleatoria del hospital Carlos Lanfranco la Hoz de nivel II-2 en Lima en el 2023. El instrumento incorporó la variable de calidad del servicio (12 ítems) adaptado del modelo SERVQUAL desarrollado por Parasuraman et al. y modificado por Park et al., más la variable satisfacción (3 ítems). En cuanto al procesamiento de datos, se empleó SPSS v25 y AMOS v25. Los resultados indican que la percepción de la calidad del servicio y la satisfacción de los pacientes es moderada, con diferencias notables entre distintos grupos demográficos. Se encontró una fuerte correlación positiva entre la calidad del servicio, basado en la capacidad de respuesta, elementos tangibles, empatía, seguridad y fiabilidad con la satisfacción del paciente (Beta = 0.760, R² = 0.577). Se concluye que al mejorar la calidad del servicio podría incrementar significativamente la satisfacción del paciente. Este estudio resalta la necesidad de servicios personalizados y brinda perspectivas para el diseño de estrategias de mejora en el ámbito hospitalario peruano.
Palabras clave: Servicios, sector terciario, hospital, servicio de salud, pacientes, Perú.
ABSTRACT: The purpose of this study is to describe the quality of service in a level II hospital for patient satisfaction in Peru. A quantitative, transversal and explanatory level approach was used. 300 users of the Carlos Lanfranco la Hoz level II-2 hospital in Lima were surveyed at random in 2023. The instrument incorporated the service quality variable (12 items) adapted from the SERVQUAL model developed by Parasuraman et al. and modified by Park et al., plus the satisfaction variable (3 items). Regarding data processing, SPSS v25 and AMOS v25 were used. The results indicate that the perception of service quality and patient satisfaction is moderate, with notable differences between different demographic groups. A strong positive correlation was found between service quality, based on responsiveness, tangible elements, empathy, security and reliability with patient satisfaction (Beta = 0.760, R² = 0.577). It is concluded that improving the quality of service could significantly increase patient satisfaction. This study highlights the need for personalized services and provides perspectives for the design of improvement strategies in the Peruvian hospital environment.
Keywords: Services, third sector, hospital, health service, patients, Peru.
Artículo Original
Calidad de servicio en un hospital del nivel II para la satisfacción del paciente en el Perú
Quality of service in a level II hospital for patient satisfaction in Peru
Received: 21 August 2024
Revised document received: 02 September 2024
Accepted: 18 October 2024
En el dinámico entorno de la atención sanitaria moderna, la calidad del servicio se ha convertido en un pilar fundamental para evaluar el desempeño de los sistemas de salud (Darzi et al., 2023). Esta realidad es particularmente relevante en Perú, donde los hospitales de nivel II-2 en Perú representan una parte integral del sistema de salud, proporcionando servicios esenciales a una población diversa y a menudo en zonas donde el acceso a la atención especializada es limitado. Estos hospitales ofrecen un rango más amplio de servicios que los centros de nivel I, incluyendo especialidades médicas básicas y algunos servicios quirúrgicos, pero no llegan al nivel de complejidad de los hospitales de nivel III.
El sistema de salud en Perú enfrenta múltiples desafíos, incluyendo una deficiencia crítica en infraestructura y equipamiento, con más del 77% de los establecimientos de salud afectado (GESTIÓN, 2020). Así como también una grave escasez de recursos humanos con más del 50% de los especialistas concentrados en Lima, dejando brechas significativas en otras regiones donde los hospitales sufren de déficit presupuestal, lo que limita la adquisición de insumos y medicamentos esenciales, y solo un pequeño porcentaje de estos establecimientos poseen capacidades adecuadas para la gestión y planificación, impactando negativamente en la eficiencia y efectividad de los servicios de salud (Espinoza-Portilla et al., 2020; Soto, 2019).
La calidad del servicio, como un concepto multifacético en la literatura de marketing y gestión, ha sido Por ejemplo Wright & Lovelock (2002) destacan que la calidad del servicio debe ser considerada como una evaluación global, abarcando no solo aspectos individuales o transacciones específicas, sino la experiencia completa del cliente con el servicio. En esta línea, Grönroos (1984) subraya la relevancia de entender no solo qué servicios se ofrecen, sino también cómo se ofrecen, enfatizando la percepción de estos elementos en el contexto de la imagen global de la empresa. De forma similar, Bolton & Drew (1991) y Zeithaml et al. (1996) conciben la calidad del servicio como una evaluación de los consumidores sobre la excelencia y superioridad del servicio, basándose principalmente en la percepción del cliente y cómo esta se compara con sus expectativas previas.
La calidad del servicio en un entorno hospitalario se mide por cómo se cumplen o superan las expectativas del paciente. Esto incluye no solo la atención médica directa, sino también aspectos como la eficiencia del proceso, la comunicación entre el personal y el paciente, y la comodidad y limpieza de las instalaciones (Pasinringi et al., 2021). Cuando los servicios de salud alcanzan o exceden estas expectativas, generalmente resulta en una mayor satisfacción del paciente (Meesala & Paul, 2018).
La percepción del paciente fue un factor determinante en su nivel de satisfacción (Derksen et al., 2013). Esta percepción se ve influenciada por la competencia y empatía del personal médico y de enfermería, la claridad de la información proporcionada y la percepción de seguridad y privacidad durante la estancia hospitalaria (Nguyen et al., 2020). La satisfacción del paciente está estrechamente ligada a cómo percibe la calidad y el humanismo del cuidado recibido (Schoenfelder et al., 2011).
En el contexto de la calidad del servicio hospitalario en Perú, diversos estudios han arrojado luz sobre aspectos clave. Un estudio relevante realizado por Barrios-Ipenza et al. (2020) para evaluar la satisfacción del paciente en servicios ambulatorios peruanos, destacó la importancia de la satisfacción con el personal, las instalaciones y la percepción de eficiencia. Por otro lado, Soto (2019) aborda los desafíos en los hospitales de referencia del Ministerio de Salud, subrayando deficiencias en la capacidad de resolución de problemas, métodos de ayuda diagnóstica, y la adquisición de equipo y suministros. Finalmente, Arrieta et al. (2018) revela diferencias significativas en la percepción de la seguridad del paciente entre hospitales privados y públicos, con solo un 18% de los profesionales calificando la seguridad del paciente en su unidad de trabajo como excelente o muy buena, resaltando la necesidad de mejorar las condiciones de seguridad en todos los sectores de salud en Perú.
Esta investigación se enfocó en determinar cómo la calidad de servicio en hospitales de nivel II-2 en la capital de Perú influye en la satisfacción del paciente, integrando estos hallazgos y evaluando su aplicación práctica en un contexto específico. A través de este análisis, se busca proporcionar una comprensión más profunda de los factores que contribuyen a la satisfacción del paciente en estos hospitales, y ofrecer recomendaciones para mejorar la calidad del servicio en un entorno de atención médica en constante evolución.
Esta investigación fue cuantitativa de corte transversal y explicativa. Se centró en cuantificar y analizar las relaciones entre la calidad del servicio hospitalario y la satisfacción del paciente. Se aplicaron encuestas de forma aleatoria a 300 participantes provenientes del hospital Carlos Lanfranco la Hoz de nivel II-2 en Lima durante los meses de noviembre y diciembre de 2023.
El instrumento incorporó la variable de calidad del servicio mediante 12 ítems, los cuales fueron adaptados del modelo SERVQUAL desarrollado por Parasuraman et al. (1988) y posteriormente modificado por Park et al. (2021) para adecuarse al contexto hospitalario. Además, se evaluó la satisfacción a través de 3 ítems. La medición se llevó a cabo mediante una escala Likert de cinco puntos, que iba desde 'totalmente en desacuerdo' hasta 'totalmente de acuerdo' (ver tabla 1). En un estudio sobre la calidad del servicio hospitalario, se evaluaron varios aspectos utilizando una escala donde valores menores a 3 indican bajo, entre 3.1 a 4 medio, y entre 4.1 a 5 bueno.
En ambos casos la confiabilidad del instrumento fue adecuado arrojando un Alpha de Cronbach de 0.922 y 0.788 respectivamente.
Para llevar a cabo el procedimiento, en primer lugar, se gestionó el permiso correspondiente con los responsables del hospital para acceder a sus instalaciones. Las encuestas se aplicaron a los usuarios que ingresaban y salían del hospital, a quienes se les solicitó amablemente su colaboración en la investigación. Se les proporcionó información detallada sobre los objetivos del estudio, asegurándoles la confidencialidad de sus respuestas. Aquellos usuarios que aceptaron participar recibieron instrucciones claras sobre la estructura del cuestionario y las distintas opciones de respuesta disponibles.
Para llevar a cabo el análisis estadístico, se tabularon las respuestas utilizando Microsoft Excel. Posteriormente, estos datos fueron exportados a SPSS v25 para realizar el procesamiento y el análisis estadístico descriptivo. En cuanto al análisis de medidas y estructuras, se utilizó el software AMOS v25, aplicando el método de máxima verosimilitud.
Además, se aplicaron criterios para la fiabilidad y validez de los constructos, incluyendo el cálculo del Alfa de Cronbach, donde se consideraron aceptables valores superiores a 0.7 (Cronbach, 1951). También se evaluó la validez discriminante (AVE) con valores mayores a 0.5, y la validez convergente (HTMT), aceptándose valores menores a 0.85 (Hair et al., 2010). Las cargas factoriales requeridas fueron mayores a 0.7, permitiendo un mínimo de 0.5 si no afectaban la confiabilidad y validez del constructo. Todos los constructos debían mostrar significancia estadística, con un valor p menor a 0.05 (Hair et al., 2021).
Para evaluar cuán bien el modelo se ajusta a los datos observados, se emplearon varios criterios. Se utilizó la razón chi-cuadrado a grados de libertad (χ2/df), aceptando valores de 1 a 3 como indicativos de un ajuste adecuado. El Índice de Ajuste Comparativo (CFI) se consideró satisfactorio si era de 0.95 o más. Se consideró un Error Cuadrático Medio de Aproximación (RMSEA) aceptable si era menor a 0.08, y un valor de Residuo Estandarizado de la Raíz Cuadrada Media (SRMR) también debía ser menor a 0.08 para considerarse un buen ajuste del modelo a los datos. Estas métricas reflejan un modelo bien ajustado (Bentler, 1990; Schermelleh-Engel et al., 2003).
Se estimó el grado de relación entre las variables utilizando los coeficientes beta y el coeficiente de determinación (r²). Para ser considerados como estadísticamente significativos, los valores de beta debían ser superiores a 0.2, acompañados de valores de r² que reflejen una varianza explicada significativa en la relación entre las variables. En este estudio, se estableció un umbral de r² mayor a 0.3 como indicativo de una relación moderada a fuerte, mientras que valores inferiores a 0.3 indicarían una relación débil. Estos criterios fueron aplicados para asegurar la relevancia y la significancia estadística de las relaciones observadas entre las variables del estudio (Hair et al., 2009).
En relación a las variables sociodemográficas de los participantes, se observó una predominancia femenina del 70%. Los adultos constituyeron la mayoría de la muestra, representando el 61%, seguidos por los jóvenes con un 28%. Además, el 46% tenía una educación secundaria, mientras que un 28% contaba con formación técnica.
La figura 1 revela que el 48.67% califica la calidad de servicio como nivel medio, y un 35.33% lo percibe como alta. En cuanto a la satisfacción, un porcentaje significativo del 42.33% reporta una baja satisfacción y 43%, indica una satisfacción media.

La Figura 2 revela que el 51.69% hombres y 47.39% mujeres perciben la calidad de servicios en un nivel medio. Además, tanto el 52.94% de los jóvenes como el 49.45% de los adultos lo consideran en este mismo punto. No obstante, destaca que el 51.52% de los adultos mayores lo perciben como alto, sugiriendo una diferencia marcada en la percepción de calidad entre este grupo etario y los demás. El 51.80% de aquellos con formación secundaria perciben la calidad de servicios en un nivel medio, seguido por el 47.06% de los técnicos y 45.45% de los individuos con educación primaria que comparten la misma percepción. Sin embargo, destaca que el 43.75% de los universitarios la perciben como alta, indicando una apreciación notablemente positiva en comparación con otros niveles educativos.

La Figura 3 refleja que 49.44% de los hombres aseguran tener un nivel medio de satisfacción, mientras que el 45.50% de las mujeres sostienen experimentar un nivel bajo de satisfacción. En cuanto a las diferencias por grupo etario, 44.51% de los adultos confirman su satisfacción en el nivel medio, y en el caso de los adultos mayores, el 42.42% comparte esta percepción; sin embargo, los jóvenes lo encuentran en un nivel bajo en un 43.53%. Al evaluar por niveles educativos, el 46.88% de los universitarios, el 44.71% de los técnicos, y el 54.55% de aquellos con educación primaria coinciden en que su nivel de satisfacción es bajo.

La Tabla 1 presenta la evaluación de dos constructos: calidad de servicio y satisfacción, utilizando métricas de carga factorial, alfa de Cronbach, validez convergente y validez discriminante en un contexto de servicios de salud.
Para la calidad de servicio, todas las cargas factoriales de los ítems son mayores a 0.5, lo que indica que cada ítem tiene una contribución significativa al constructo. El alfa de Cronbach de 0.922 muestra una excelente consistencia interna entre los ítems, lo que significa que están midiendo el mismo concepto de manera fiable. La validez convergente, evaluada mediante la varianza media extraída (AVE) de 0.502, está justo en el umbral de aceptación, lo que sugiere que los ítems tienen una cantidad suficiente de varianza en común que se atribuye al constructo de calidad de servicio.
En cuanto a la satisfacción, el alfa de Cronbach es de 0.788, lo que también refleja una buena consistencia interna. La AVE de 0.563 supera el umbral de 0.5, confirmando la validez convergente. La relación HTMT de 0.765 indica una buena validez discriminante, demostrando que los constructos de calidad de servicio y satisfacción son distintos entre sí, aunque la relación es relativamente alta, lo que puede sugerir alguna sobreposición. Y con respecto a la bondad de ajuste del modelo arrojo una ratio χ2/df de 2,640, que generalmente se considera aceptable si el valor está por debajo de 3. Esto indica que el modelo tiene un ajuste razonable a los datos. El Índice de Ajuste Comparativo (CFI) es de 0,937, lo cual es muy bueno, ya que los valores superiores a 0,90 son indicativos de un buen ajuste del modelo a los datos. El Error Cuadrático Medio de la Aproximación (RMSEA) es de 0,074, que está cerca del límite superior de lo que se considera un ajuste aceptable (valores menores a 0,08). El Standardized Root Mean Square Residual (SRMR) es de 0,0435, lo cual es excelente ya que valores menores a 0,05 indican un buen ajuste del modelo.

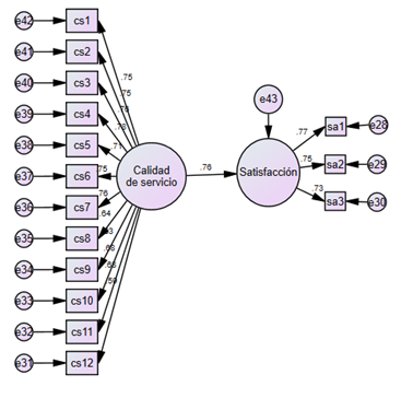
En la Figura 4 y tabla 2 se muestra el análisis de la relación entre la calidad del servicio y la satisfacción hospitalaria. Se observa que el coeficiente Beta para la calidad del servicio en relación con la satisfacción es de 0.760, indicando una fuerte relación positiva, es decir, cuando la calidad del servicio aumenta, la satisfacción hospitalaria también tiende a aumentar de manera significativa. El p-valor asociado con este coeficiente es de 0.000, lo que sugiere que esta relación es estadísticamente significativa y que es muy poco probable que este resultado sea producto del azar. Además, el R² de satisfacción es de 0.577, lo que significa que aproximadamente el 57.7% de la variación en la satisfacción hospitalaria puede ser explicada por la calidad del servicio. Este es un porcentaje sustancial, indicando que la calidad del servicio es un predictor importante de la satisfacción del paciente en el contexto hospitalario.


Este estudio explora la relación entre la calidad del servicio y la satisfacción hospitalaria en Perú, enfocándose en cómo estas variables influyen en la mejora de la atención al paciente y la eficiencia hospitalaria. El objetivo principal fue determinar la conexión existente entre ambas variables.
Los resultados indican que, en general, los usuarios del hospital evaluado perciben una calidad de servicio y una satisfacción hospitalaria medias resultados parecidos a lo encontrado en un hospital de Huancayo-Perú, donde la satisfacción general alcanzó un 60,3%, influenciada principalmente por las dimensiones de seguridad y empatía, con tasas de satisfacción del 86,8% y 80,3% respectivamente donde la mayor insatisfacción se registró en los aspectos tangibles, con un 57,1% de usuarios insatisfechos, y en la capacidad de respuesta de los servicios de salud, con un 55,5% de insatisfacción (Febres-Ramos & Mercado-Rey, 2020).
En cuanto a la calidad del servicio, se observa que la mayoría de los encuestados, independientemente de sus características sociodemográficas, la califican como media, un hallazgo similar al reportado por Lis et al. (2011). Sin embargo, hay diferencias notables en la percepción de una calidad de servicio alta en distintos grupos demográficos. Por ejemplo, los universitarios tienden a percibir una mayor calidad (43.75%), los adultos mayores reportan mayor satisfacción (51.52%) y los hombres muestran una percepción más alta que las mujeres (39.33%). Estas variaciones sugieren que las expectativas, experiencias y necesidades específicas relacionadas con la educación, la etapa de vida y el género influyen en la percepción de la calidad del servicio.
En términos de satisfacción hospitalaria, se observan diferencias significativas según la educación, la edad y el género, con los universitarios y adultos mayores reportando niveles más altos de satisfacción, y las mujeres mostrando mayor insatisfacción que los hombres. La variación en los niveles de satisfacción puede deberse a las diferentes expectativas y experiencias de cada grupo educativo.
El estudio encontró una fuerte correlación positiva entre la calidad del servicio y la satisfacción hospitalaria (Beta = 0.760; R² = 0.577). En este contexto, un valor positivo en la Beta implica que hay una tendencia marcada: a medida que la calidad del servicio mejora, la satisfacción hospitalaria también tiende a experimentar un aumento significativo. La fuerza del coeficiente Beta sugiere que los cambios en la calidad del servicio tienen un impacto sustancial en la satisfacción de los pacientes en el entorno hospitalario. Este resultado tiene importantes implicaciones prácticas y estratégicas para la gestión hospitalaria, ya que indica que mejorar la calidad del servicio podría ser una estrategia eficaz para aumentar la satisfacción de los pacientes. La significativa relación positiva revelada por el coeficiente Beta sugiere que los esfuerzos dirigidos a mejorar aspectos específicos de la calidad del servicio, como la atención al paciente, la eficiencia operativa y la comunicación, podrían traducirse directamente en un aumento en la satisfacción de los pacientes. Este conocimiento puede ser invaluable para los administradores y responsables de la toma de decisiones en el ámbito hospitalario, ya que les proporciona una base para desarrollar y priorizar intervenciones destinadas a mejorar la calidad del servicio y, por ende, la experiencia general del paciente. Ejemplo: estudios en departamentos de emergencia han mostrado que la satisfacción general está muy influenciada por la calidad del servicio percibida y otros aspectos como la ayuda al paciente para entender su condición y el cuidado genuino del personal son clave para la recomendación del servicio y la lealtad del paciente.
Asimismo, el resultado se encuentra en línea con lo encontrado con Zahlimar et al. (2020) revelando una relación significativa entre la fiabilidad, capacidad de respuesta, garantías de los empleados, atención de trabajadores sanitarios y pruebas físicas de los servicios sanitarios, y la satisfacción de los pacientes, todos con p < 0,05. En el mismo sentido, otro estudio realizado en departamentos de emergencia, mostraron que la satisfacción general está muy influenciada por la calidad del servicio percibida con una beta de 0.79 que sugiere una relación positiva y bastante fuerte, además con un R2 del 62% significa que aproximadamente el 62% de la variación en la satisfacción general de los pacientes en los departamentos de emergencia puede explicarse por las variaciones en su percepción de la calidad del servicio (Amarantou et al., 2019). Estos resultados nos permiten entender que la calidad de servicio enfocado en aspectos como la ayuda al paciente para entender su condición y el cuidado genuino del personal son clave para la satisfacción y recomendación del servicio que conlleve a la lealtad del paciente (Kwame & Petrucka, 2021).
Por otro lado, el coeficiente de determinación (R²) de 0.577 revela que aproximadamente el 57.7% de la variación en la satisfacción hospitalaria puede ser explicada por la calidad del servicio. Este porcentaje sustancial indica que más de la mitad de las fluctuaciones en la satisfacción de los pacientes pueden ser atribuidas a la variabilidad en la calidad del servicio proporcionado por el hospital. Este resultado es fundamental, ya que sugiere que la calidad del servicio es un factor predictivo crucial para entender y explicar la variación en la satisfacción del paciente en el entorno hospitalario. Aunque no explica la totalidad de la variación (ya que el R² no puede superar el 100%), el 57.7% es un porcentaje considerable, indicando que la calidad del servicio tiene un impacto sustancial en la percepción global de los pacientes sobre su experiencia hospitalaria.
Estos resultados refuerzan la idea de que invertir en la mejora de la calidad del servicio no solo es relevante desde una perspectiva práctica y operativa, sino también desde un punto de vista estadístico y predictivo. La significancia estadística respalda la solidez de la relación, mientras que el R² sustancial subraya la importancia de la calidad del servicio como un predictor confiable y valioso de la satisfacción del paciente en el contexto hospitalario. En consecuencia, estos hallazgos ofrecen una base sólida para la implementación de estrategias específicas destinadas a mejorar la calidad del servicio y, por ende, elevar la satisfacción general de los pacientes en el ámbito hospitalario.
Una limitación de este estudio es su enfoque en hospitales de nivel II-2 en Perú, lo que podría no representar la diversidad completa de experiencias en diferentes tipos y niveles de hospitales en el país. Algunas de ellas señaladas en el estudio son:
Falta de representatividad total: Al centrarse exclusivamente en hospitales de nivel II-2, el estudio puede no capturar la diversidad completa de experiencias presentes en diferentes tipos y niveles de hospitales en Perú. Los hospitales varían en términos de tamaño, recursos, ubicación geográfica y especialidades médicas. Por lo tanto, los resultados del estudio podrían no ser extrapolables a hospitales de otros niveles o con características distintas.
Aplicabilidad generalizada: La variabilidad en la calidad del servicio y la satisfacción hospitalaria podría diferir significativamente entre hospitales de diferentes niveles. Lo que sea válido para hospitales de nivel II-2 podría no ser necesariamente aplicable a hospitales de otras categorías. Esta limitación subraya la importancia de considerar la diversidad del sistema de salud al interpretar y aplicar los resultados del estudio.
Sesgo geográfico: Las características específicas de los hospitales de nivel II-2 en Perú pueden introducir sesgos geográficos o institucionales que podrían afectar la generalización de los resultados. Por ejemplo, la concentración de ciertos recursos médicos o las particularidades en la gestión hospitalaria podrían influir en la percepción de la calidad del servicio y la satisfacción de los pacientes de manera diferente en comparación con hospitales de otros niveles o ubicaciones.
Comprehensión del contexto global: Al limitarse a un subconjunto específico de hospitales, la comprensión del contexto global del sistema de salud peruano puede estar incompleta. Otros factores, como políticas gubernamentales, sistemas de financiamiento, y características socioeconómicas, podrían tener un impacto en la relación entre calidad del servicio y satisfacción hospitalaria, y estos podrían variar entre diferentes tipos y niveles de hospitales.
En conclusión, estos hallazgos son de gran valor para los directivos hospitalarios, ya que ofrecen una comprensión más profunda de cómo la calidad del servicio impacta en la satisfacción del paciente. Esta comprensión es esencial para desarrollar estrategias que mejoren la satisfacción del paciente y, en última instancia, el rendimiento general de los hospitales de nivel II-2 en Perú.
Finalmente, es importante reconocer que los resultados deben interpretarse con precaución al considerar su aplicabilidad a la totalidad del sistema de salud peruano. Esto destaca la necesidad de futuras investigaciones que aborden la diversidad en el sistema hospitalario y permitan una comprensión más completa y representativa de las experiencias de los pacientes en diferentes entornos hospitalarios en el país.
Autor correspondiente: Ana María Córdova Camacho. E-mail: ancordovaca@ucvvirtual.edu.pe





