ARTÍCULOS DE INVESTIGACIÓN. MONOGRÁFICOS
Recepción: 15 Marzo 2018
Aprobación: 15 Octubre 2018
DOI: https://doi.org/10.1387/pceic.19502
Resumen: Este artículo se inscribe en una etnografía colaborativa junto con el colectivo Stop Desahucios Granada-15M, originado en el movimiento de los/as indignados/as 15M, que lucha por el derecho a la vivienda y contra los desahucios. Al recorrer el proceso afrontado por las personas que acuden al grupo y retomar sus propios relatos, ilustramos cómo los sentimientos experimentados al comienzo de soledad, vergüenza y fracaso individual se van transformando, mediante las prácticas desplegadas de cuidados y lucha, en agenciamientos colectivos y generan una política de los vínculos que trasciende la dependencia del Estado-mercado y la dicotomía público-privado. Formulamos ejemplos de estas prácticas entendiéndolas como una forma de hacer frente a la vulnerabilidad estructural que atraviesa las vivencias de las personas afectadas y conceptualizándolas como agenciamientos cotidianos —destacando la dimensión colectiva de producción de enunciados, deseos y formas de subjetivación—. Concluimos discutiendo la capacidad de resignificar políticamente el sufrimiento desplegada por el grupo y definiéndola como un proceso de subjetivación política.
Palabras clave: Vulnerabilidad, Agenciamiento, Subjetivación política, Desahucios.
Abstract: This paper is based on our collaborative ethnography with «Stop Evictions-Granada 15M», a social movement born out of the Granada 15-M, which struggles for the right to housing and against evictions. By considering the process and the stories of affected people who come to the group, we show how the sentiments of loneliness, shame and individual failure initially felt turn into collective agencements through the practices of care and struggles undertaken by the group, paving the way to a «politics of bonds» that transcends the dependence on the State-market and the public-private dichotomy as well. We discuss examples of these practices and conceptualize them as a way to face the structural vulnerability which characterizes affected people’s lives, describing them as daily agencements —emphasizing the collective dimension underlying the production of statements, desires and forms of subjectivation—. Finally, we underline the group’s capacity to resignify politically the suffering felt by the people, and theorize this practice as a political subjectivation process.
Keywords: Vulnerability, Agencements, Political subjectivation, Evictions.
1 INTRODUCCIÓN
Desde hace una década los desahucios (lanzamientos hipotecarios o por impago de alquiler) tienen una presencia activa en la cotidianidad del Estado español y en los medios. Aunque a comienzos de la crisis (2007-2008) los/as más optimistas pensaron que serían un «malestar pasajero» o «una tragedia social transitoria» que en poco tiempo encontraría acomodo, diez años después, el drama de perder la casa no ha encontrado solución. Es más: lo que debería ser una condición anómala y excepcional se hizo norma, convirtiéndose en una dimensión más de nuestros ecosistemas cotidianos, reafirmando que el sufrimiento es condición consustancial de la actualidad, donde la «víctima es, (...) el personaje central de la subjetividad contemporánea» (Gatti, 2016: 158). La vulnerabilidad y precariedad de las personas desahuciadas —un universo plural y heterogéneo— se han ido normalizando debido a su sobreexposición pública, pero la potencia de la organización y la construcción colectiva que permiten afrontar los desahucios pasan generalmente desapercibidas para la gran mayoría. El artículo aborda este segundo aspecto, aportando reflexiones originadas en un proyecto de investigación1 dentro del cual nuestro equipo está realizando una etnografía colaborativa junto con Stop Desahucios Granada-15M2 sobre los procesos de agenciamiento cotidianos.
Central para nuestra reflexión es la dimensión del cuerpo, entendido como «el lugar de la vivencia, el deseo, la reflexión, la resistencia, la contestación y el cambio social, en diferentes encrucijadas económicas, políticas, sexuales, estéticas e intelectuales» (Esteban, 2004: 55)3. Conceptualizamos el cuerpo en estrecha conexión con «sus relaciones constitutivas (…) porque los cuerpos se forman y sostienen apoyándose en las infraestructuras (o en su ausencia) y en redes sociales y tecnológicas o en un entramado de relaciones; y recordemos que sus relaciones constitutivas son siempre de carácter económico e histórico» (Butler, 2017: 149). Además, concebimos los «afectos» como «el índice de la potencia de un cuerpo y del encuentro entre cuerpos», «una intensidad impersonal» que se produce en los «encuentros positivos» entre cuerpos y que aumenta su potencia colectiva (Beasley-Murray, 2015). Pero otra atribución de los cuerpos es su vulnerabilidad, entendida en términos relacionales antes que como un cúmulo de características individuales: «nunca podremos entender la vulnerabilidad del cuerpo si no la enmarcamos dentro de las relaciones que este mantiene con otros seres humanos, con los procesos vitales y con condiciones inorgánicas y vehículos de la vida» (Butler, 2017: 131). Así, la vulnerabilidad no es una característica perteneciente a cuerpos aislados, pues remite a elementos tanto humanos como técnicos y tiene una dimensión infraestructural (Butler, 2017: 132). Asimismo, necesita ser pensada junto con la agencia (Butler, 2017: 141) —pues, como plantea Esteban, el cuerpo tiene una dimensión material y otra agencial (2011: 48), ambas interconectadas—. Más concretamente, hablaremos de agenciamientos intentando fugarnos de herencias explicativas dicotómicas (estructura contra agencia) y subrayando la dimensión colectiva de producción de enunciados, deseos y formas de subjetivación (Guattari y Rolnik, 2006: 45). También destacamos la dimensión procesual de agenciamiento, «un sustantivo que no remite a una sustancia ni a un sujeto y que a la vez desborda el verbo agenciar que es su raíz, un sustantivo que remite a un ‘paquete de relaciones’ y a un devenir» (Heredia, 2014: 93).
Existen dos posibles respuestas ante los agenciamientos: la «actitud normalizadora» encaminada a ignorarlos, relativizarlos o recuperarlos de manera pacificada, y su reconocimiento profundo, que los considera «en su carácter específico y en su trazo común, de tal modo que posibilita su articulación» (Guattari y Rolnik, 2006: 66), es la segunda la que nos interesa. El texto tiene esta estructura: primero haremos un balance de los desahucios una década después del estallido de la burbuja, resaltando su trascendencia social aún relevante. Luego, aportaremos informaciones metodológicas y contextuales sobre nuestro proceso de coinvestigación junto con Stop Desahucios Granada-15M. A continuación, mostraremos cómo este grupo afronta la vulnerabilidad mediante sus agenciamientos diarios, aportando materiales empíricos. Finalmente, concluiremos conceptualizando las prácticas del movimiento desde la perspectiva de la «subjetivación política» (Tassin, 2012) y la «politización del sufrimiento» (Fernández-Savater, 2008).
2 LOS DESAHUCIOS ENTRE 2008 y 2017
La cuestión de la vivienda en la realidad española se presenta como una paradoja: aunque la Constitución afirma el derecho de toda persona a un hogar digno y sanciona el compromiso de los poderes públicos a este respecto4, las políticas implementadas han desmentido constantemente ese principio. Es especialmente en los noventa —ante la creciente financiarización de la economía global— cuando la vivienda se configura definitivamente como una mercancía. Durante la «década prodigiosa» que generó la burbuja inmobiliaria se impulsó la compra ante el alquiler, se redujo el gasto público en viviendas protegidas, se liberalizó el suelo (Colau y Alemany, 2012) y se fomentó la deuda hipotecaria mediante el crédito —lo que aumentó considerablemente el precio de las casas— (Carretero Miramar, 2015a: 58). Los poderes públicos alentaron la proliferación de contratos llenos de cláusulas abusivas y condiciones vejatorias (Colau y Alemany, 2013). La burbuja especulativa se infló tanto que en un año se construyeron más viviendas en el Estado español que en el conjunto de Francia, Alemania y Reino Unido (Colau y Alemany, 2013: 23). En 2007, el 90% de las viviendas se encontraba en régimen de tenencia privada (antes que de alquiler), frente al 50% de 1950 (Colau y Alemany, 2013: 23-24) y a una media europea del 60% (Mangot Sala, 2013b: 274). Como añadido, en muchos países europeos los desahucios suelen resolverse judicialmente mediante la condonación de parte de la deuda o con la dación en pago (Domingo Utset, 2012: 45); es decir, con mecanismos de «rehabilitación de deudores» (fresh start) que en el contexto español no existen o son muy limitados (Carretero Miramar, 2015b). Igualmente, el parque de vivienda social representa solo el 2% del mercado inmobiliario, ante la media del 15% de la Unión Europea (UE) (PAH Barcelona, 2018: 5). En definitiva: ante un desahucio, las alternativas habitacionales ofrecidas por el Estado son prácticamente inexistentes.

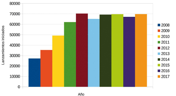
A continuación, analizaremos la dinámica de los desahucios5 en la última década, ya que 2014 fue considerado el año de salida de la crisis por parte del gobierno del Partido Popular (PP) (Garea, 2014), diferenciaremos entre un primer período (2008-2013) y un segundo (20142017) para «poner a prueba» el enunciado (Figura 1):
A nivel autonómico, Andalucía es la segunda comunidad más afectada después de Catalunya (10.437 lanzamientos solo en el último año, 439 más que el anterior) y, desde 2007, es ininterrumpidamente la primera en los desahucios por impago de hipoteca: 5.150 solo en 2017 (CGPJ, 2018; PAH Barcelona, 2018: 3). En la provincia de Granada fueron 1.167 los desahucios efectuados en 2013, 1.147 en 2014, 1.408 en 2015, 1.358 en 2016 y 1.339 en 2017 (CGPJ, 2018).
Observamos que se contabilizan más lanzamientos ahora que en 2014. En cambio, la proporción de los desahucios por alquiler ha sido inferior a la media estatal, aunque después de un relativo descenso en 2015 (34,4%, 14,7 puntos menos que en 2013) las cifras han vuelto a ascender, registrando respectivamente porcentajes del 41,6% y del 43% en 2016 y 2017 (elaboración propia a partir de datos de CGPJ, 2018 y J. M. M., 2018).
Recientemente han emergido nuevos temas, como el de la pobreza energética y los cortes a los suministros básicos (agua, luz y gas), que afecta a cada vez más hogares —actualmente un 11% de las familias no consigue una calefacción adecuada en invierno al no poder pagar las facturas; en 2015 medio millón de familias sufrió interrupciones en el abastecimiento de la electricidad (PAH Barcelona, 2018: 1-6)—. También incrementó el número de inmuebles vacíos (generalmente propiedad de bancos) tomados espontáneamente por familias en situación de necesidad, incluso antes de acudir a grupos activistas para una asesoría y por fuera de sus campañas «oficiales» de recuperación de viviendas —como la Obra Social de la PAH o las corralas andaluzas7—. Así, las viviendas ocupadas han aumentado en un 168,3% desde 2008 (Comisión Europea, 2016: 69). Estas nuevas cuestiones han enriquecido la agenda de las plataformas ciudadanas, que han venido asumiendo «una visión más integral del derecho a la vivienda, yendo más allá de la mera necesidad de vivir entre cuatro paredes y un techo» (Pérez, 2015: 151).
3 ETNOGRAFÍA COLABORATIVA JUNTO CON STOP DESAHUCIOS GRANADA-15M
Stop Desahucios Granada-15M es un movimiento que lucha por la defensa de la vivienda habitual. En el Estado español existen numerosos grupos parecidos, muchos de los cuales integran la Plataforma de Afectados por la Hipoteca (PAH), fundada en 2009 ante la incapacidad del Estado para proporcionar soluciones políticas y prácticas a la emergencia habitacional8. Aun siendo independiente de la PAH, el grupo comparte muchas similitudes en sus prácticas organizativas, reivindicativas y de acción colectiva, y actúa de manera colectiva, horizontal, no violenta y asamblearia (las asambleas son los espacios fundamentales de toma de decisiones). El colectivo nace a partir de la asamblea del 22/6/2011 de la Acampada Granada (15M), que, al observar la necesidad de afrontar el problema de la vivienda en la ciudad, aprobó un documento de demandas urgentes que reivindicaba «Derecho real a la vivienda digna, como bien social y no económico. Suspensión de la obligación de pago de créditos hipotecarios para trabajadores desempleados y fin de los desahucios» (AA.VV., 2016: 30)9. Actualmente, aglutina una decena de asambleas que se reúnen en barrios y pueblos de la provincia granadina, dos de ellas dentro del término municipal, en la zona Centro (la asamblea más antigua) y en el barrio Zaidín (la más numerosa). Con ellas estamos realizando una etnografía colaborativa desde septiembre de 201510.
Aunque la antropología crítica tiene una larga trayectoria en dotar de agencia a sujetos previamente victimizados y subalternizados, la etnografía colaborativa pretende superar dialécticas dicotomizantes propias de etnografías clásicas (como la de sujeto/objeto) e intenta pensar en claves colectivas, donde la individualidad y protagonismo del/a investigador/a deviene en un reconocimiento del grupo que permita otras formas de producir conocimiento (Dietz y Álvarez Veinguer, 2014). Así, cuando hablamos de etnografía colaborativa, nos referimos a experiencias etnográficas que nos permitan adentrarnos colectivamente en la formulación de los qués y los cómos de la investigación para coconceptualizar, coanalizar y coescribir, un proceso de investigación donde la colaboración se propone como principio y criterio que atraviesa todas sus fases (Lassiter, 2005; Rappaport, 2008; Campbell y Lassiter, 2010; Arribas Lozano, 2014; Dietz y Álvarez Veinguer, 2014). Esta propuesta se distancia de lógicas sustentadas en un sujeto-investigador-protagonista del proceso, para generar saberes-haceres entre todos los actores. Desde el comienzo hemos tratado de articular procesos dialógicos en la producción y validación del conocimiento, mediante un largo (y no siempre fácil) camino de interlocución constante entre el equipo de investigación y los/as compañeros/as de Stop Desahucios Granada-15M11. En la Asamblea Zaidín, en enero de 2016, propusimos dinamizar una serie de grupos de debate —cada uno integrado por una cantidad reducida de personas— para construir colectivamente la investigación y activar procesos de escucha hacia el interior del grupo. Realizamos 15 sesiones con tres grupos diferentes de entre cinco y siete personas y de aproximadamente dos horas de duración. Las sesiones fueron grabadas y las necesidades y propuestas enunciadas recogidas en documentos finales que debatimos y compartimos con cada grupo en una quinta y última sesión, en la que incorporamos cambios, sugerencias y propuestas posteriormente retomadas por las asambleas. A partir de una problemática enunciada en los grupos —la manera en que Stop Desahucios es representado y se comunica con la sociedad— hemos comenzado a trabajar en un proyecto transmedia, aprendiendo a grabar vídeos, a construir un banco de imágenes y a expresarnos en gramáticas nuevas para gran parte del grupo, buceando en el material ya producido. A estas alturas, el primer producto finalizado es un documento promocional, una cápsula audiovisual. Simultáneamente, en la asamblea Centro hemos realizado 15 entrevistas/conversaciones con personas afectadas y activistas que se han plasmado en una publicación del propio colectivo junto con el movimiento 15M Granada (AA.VV., 2016), útiles para construir una genealogía desde abajo del colectivo, su memoria y sus hitos.
4 POLÍTICAS DE LOS VÍNCULOS y AGENCIAMIENTOS COTIDIANOS
Después de tres años de coinvestigación podemos afirmar que nos movemos en una práctica política de los vínculos (Segato, 2016), donde los afectos y los cuidados son el motor y la cotidianidad del grupo. Por supuesto, los procesos de agenciamiento12 no aparecen de un día para otro, sino tras un largo y sufrido camino de soledad y abandono, mediante prácticas y procesos micropolíticos insertados en tiempos y espacios concretos. Dejar de vivir el problema de forma individual y transformarlo en una cuestión colectiva y grupal, son las «fases» principales de este recorrido que abordaremos en los siguientes apartados.
4.1 La vergüenza y soledad iniciales
Tal como nos compartieron muchos/as compañeros/as, el primer sentimiento que invade a las personas afectadas al asumir que pueden perder su casa es el miedo al qué dirán familiares, amistades y vecinos/as (Colau y Alemany, 2013; Ramis-Pujol, 2013; Ruiz Peralta, 2013). La vergüenza y la culpa ante el fracaso son sentimientos comunes, porque se acepta y se interioriza el mensaje reiterado en los espacios generadores de opinión pública: «algo han hecho mal, y están viviendo por encima de sus posibilidades»13. Como hemos visto, el desinterés legislativo por este drama hace que las personas afectadas sean condenadas a la desesperación y relegadas a una especie de «muerte civil» (Colau y Alemany, 2013: 12). Varios estudios han ilustrado las graves secuelas psicológicas de esta experiencia (Ramis-Pujol, 2013; Observatori DESC y PAH, 2013; Suess et al., 2016)14. Se asume que el problema es una cuestión individual de malas decisiones: en el origen de las narraciones el problema no es social, estructural o sistémico, exclusivamente individual. El pánico, el miedo y la soledad ante un problema que —insistimos— es narrado y vivido como personal es uno de los primeros estadios que evidentemente se hace cuerpo —vulnerable y expuesto al castigo— ante la posibilidad de la ejecución de una orden de desahucio.
Desahuciar puede significar: «1. Quitar a alguien toda esperanza de conseguir lo que desea, 2. Dicho de un médico: admitir que un enfermo no tiene posibilidad de cura, 3. Dicho de un dueño o de un arrendador: despedir al inquilino o arrendatario mediante una acción legal’ (RAE, 2018). Los tres significados se encarnan magistralmente en las vidas de los/as compañeros/as de Stop Desahucios, porque ante todo les han amputado la esperanza de conseguir su deseo. ¿Quién es el/a desahuciado/a? La mayoría son personas corrientes y comunes, que durante la burbuja hipotecaron sus vidas para tener una vivienda propia. Personas obedientes que interiorizaron las normas del contrato social y aceptaron la premisa de moverse principalmente dentro del espacio de lo posible. A partir de 2008, muchas rehipotecaron sus viviendas para salvar las pequeñas/medianas empresas que les ofrecían el sustento diario, y, especialmente a partir de 2016, un gran número de afectados/as son inquilinos/as (arrendatarios/as) de viviendas. El mercado capitalista «es un lugar semiótico, el lugar en el que se encuentran signos y expectativas de sentido, deseos y proyecciones» (Bifo, 2003: 20). Habitar la condición de afectado/a (potencialmente desahuciable) implicará, por una parte, trascender la dependencia del Estado-mercado que nos había transmitido la ideología felicista (Bifo, 2003), agasajándonos de esperanzas y confianza como parte del contrato social, y, por otra parte, surfear la dicotomía monolítica entre privado y público como resultado del proceso de subjetivación. Analicemos ambas rupturas para poder comprender y situar la política de los vínculos (Segato, 2016).
4.2 Trascender la dependencia Estado-mercado y la dicotomía privado-público
Si algo comparten los/as afectados/as por una orden de desahucio es la rotura que se produce en sus vidas cuando no reciben respuestas o apoyo ni del Estado ni del mercado. Ante un sistema financiero especulador, unos servicios sociales incapacitados de ofrecer respuestas y un absoluto desamparo institucional —a nivel autonómico y municipal—, muchas de las personas que acudieron a las asambleas de Stop Desahucios lo hicieron como último recurso, como un intento desesperado por afrontar su situación extrema. Generalmente, tardaron varias semanas en poder hablar y explicar su caso en una asamblea. Así lo plantea un compañero:
Es una experiencia muy dura (…) tienes que cargarte de valor y decir «Voy a ir», y aun cuando estás allí, te lo piensas (…) Te abren la puerta allí y no conoces a nadie (…) Hay gente de todas las clases, y dices: «Parece que aquí no pego, ¿qué le voy a contar yo a esta gente?», todo eso se te pasa por la cabeza, «¿Qué les voy a decir?». Es muy interesante que llegues y no seas el primero en hablar, que haya otros casos, eso te va dando un poco de alas …(…). Porque el primer día que vas es el más duro, te tienes que dejar todas las penurias que llevas, vas con vergüenza… (Compañero, conversación del 9/12/2016)
Otra compañera relata:
Yo estuve cuatro asambleas sentada y nunca hablé ni dije nada. Me ocurría lo mismo, en el momento que veía que la gente explicaba se me saltaban las lágrimas, me daba rabia, me daba de todo, era muy complicado. (Compañera, grupo de debate del 1/3/2016)
Las compañeras necesitaron tiempo para sentirse con fuerza para compartir y verbalizar sus casos, pero al hacerlo permiten que sus cuerpos vulnerables devengan cuerpos políticos, generando «formas concretas de entender la persona, el género, las relaciones sociales, y de mirar, conocer, e interactuar con el mundo, que suponen a su vez maneras (al menos intentos) de resistir, contestar, o modificar la realidad» (Esteban, 2011: 65)15. Al mirar retrospectivamente, después de asistir a numerosas asambleas, consideramos que el hecho de contarlo en voz alta, dejando de esconder o disimular el dolor y empezando a «exteriorizar ese magma de emociones que las sacude» (Colau y Alemany, 2012: 94), encarna los primeros pasos hacia un camino de desobediencia colectiva que implica desindividualizar los problemas. Paulatinamente, la identificación con tanta gente en circunstancias similares produce una enorme ruptura ante lo que se venía pensando como algo privado e individual, para transformarlo en dimensión pública. Compartir miserias y dificultades no es tarea fácil ante una asamblea de decenas de desconocidas/os, especialmente cuando se vive con el convencimiento de que dicho acontecer es exclusivamente responsabilidad (culpa) de uno/a. Visibilizar, hablar en las asambleas de cada uno de los casos, es un primer paso para superar la interiorizada dicotomía privado-público y constituye la primera rotura sustancial en el proceso de agenciamiento cotidiano. Supone una ruptura en dos sentidos: por una parte, la vivida soledad se convierte en problema de orden grupal y colectivo, se empieza a percibir que hay más gente en situaciones parecidas. En segundo lugar, al colectivizar el drama, al nombrarlo en voz alta y sacarlo de la esfera de lo privado, deviene en una cuestión de dimensión pública. Lo primero que se le dice a una persona cuando expone su caso por primera vez en una asamblea es: «No estás solo. Sí se puede».
La ruptura de la dependencia del Estado y el mercado se hace evidente cuando, después de que expone su caso, a la persona afectada se le pregunta si puede seguir pagando al banco y, en caso de no poder, se le sugiere que priorice sus necesidades básicas —también como forma de impulsar las negociaciones—. La mayoría de las personas renuncian a casi todo antes que dejar de pagar las cuotas mensuales. En las asambleas se recomienda como primer paso dejar de pagar y cubrir primero el resto de las necesidades de la unidad doméstica16.
Este consejo paraliza y asusta, pero es un primer paso que permite interiorizar que la responsabilidad debe dejar de proyectarse sobre los/as afectados/as: «Nosotros no somos los culpables de esta estafa que llaman crisis»17. Como subrayan Laval y Dardot: «Se ha roto la falsa alternativa, en espejo, entre el Estado y el mercado (…). De este modo se ha puesto fin a la idea de que el Estado podría ser el recurso de la sociedad contra los efectos desastrosos del capitalismo» (2015: 19). Ante la pérdida de confianza en el Estado y el mercado, el movimiento asesora sobre los diferentes pasos a seguir en cada caso. En las asambleas se exponen los casos de seguimiento y los nuevos para que colectivamente se acuerde y decida cómo proceder. Como señala la Guía de Formación de Stop Desahucios Granada-15M: «dentro de las asambleas el asesoramiento se realiza entre TODOS, huyendo de los personalismos y de los ‘expertos’ que generan dependencias» (AA.VV., 2017: 12). En temas hipotecarios, la portavocía recae sobre los/as propios/as afectados/as, porque no es un espacio asistencialista y proteccionista: en todo momento la premisa es que las personas deben aprender a solucionar los casos por sí mismas con el apoyo de otros/as compañeros/as. Quienes manejan conocimientos jurídicos (abogados, juristas, etc.) deben socializarlos en la asamblea y evitar el rol de expertos, porque se busca la implicación de todos/as (no la exaltación de liderazgos individuales) para solucionar los casos. Ante un contexto neoliberal de máxima individualización, las personas aprenden a autorganizarse en común y dejan de apelar al Estado en defensa de la población castigada y expulsada18.
Dentro de cada asamblea existen diferentes grupos de trabajo que cubren las necesidades organizativas, como por ejemplo: finanzas, comunicación, relaciones exteriores, acción, formación, mesa de negociaciones, suministros básicos, etc. Semanalmente se planifican las acciones en diferentes bancos según las urgencias de cada caso. Se canta, se protesta, se despliegan y activan los propios cuerpos frente a entidades bancarias con acciones que desobedecen y se reapropian del espacio público, pero también se negocia dentro del banco mediante las mesas de negociación compuestas por afectados/as. Se articulan minuciosamente dos reapropiaciones de forma simultánea. Por una parte los/as afectados se colocan en un plano de igualdad en las mesas de negociación (han tomado la palabra), se ubican como únicos/as interlocutores/as válidos/as ante los directivos de los bancos; exigen, demandan y no ceden ante propuestas abusivas. Además, toman la calle para socializar su tragedia y su lucha, ya no se esconden, toman los micrófonos, las pancartas y bajo múltiples consignas reivindican y exigen los derechos negados: son cuerpos que se exponen en la calle y en los espacios públicos. Así narran el proceso respectivamente dos personas que entraron al grupo como afectadas y un activista «histórico»:
Ya no me da el miedo que me daba antes. Antes veía una carta de Hacienda y me ponía a temblar… Ya no, ya voy allí, hablo con ellos e intento que razonen, no razonan, pero yo por lo menos voy, pero voy sin miedo. Es decir que estar en una situación de estas muchas veces también te ayuda, te hace más fuerte en el sentido de que ya hay algunas cosas a las que no les tienes miedo. (Compañero, conversación del 9/12/2006)
¡Qué recuerdos! Se saltan las lágrimas porque nosotros hemos sido gente luchadora, pero nunca habíamos ido a un desahucio, nunca nos habíamos enfrentado a la policía (…). Cuando nos llaman para ir a parar el primer desahucio, vemos que hay un montón de gente, un montón de policías, nos sentamos en la calle, me estoy acordando de una compañera que se enganchó a mí y me dijo «Tranquila», y no me conocía de nada (…) ¡Esta gente me estaba dando este apoyo sin conocerme de nada! (…) Yo antes veía a la figura del policía como a un dios… pero entonces en aquellos momentos dices: «¿Qué es un policía?… Es uno más.» (Compañera, conversación del 14/10/2016)
Entonces, después de haber estado muchos años luchando en distintas movidas y consiguiendo muy poco, de repente te encuentras con que consigues que no echen a la gente, que los dejen en su casa, y luego ves la evolución de esa misma gente, de llegar hechos pedazos, llegar a la asamblea contando su caso, llorando a moco tendido contando su historia, para que pasen las semanas, pasen los meses y sean ellos los que acompañan a otros y se encaran con el director del banco, y ves cómo se ha empoderado la gente de una forma alucinante. (Compañero, conversación del 20/10/2016)
Al considerar los relatos compartidos por los/as compañeros/as, entendemos que los actos de tomar la calle implican en gran medida la superación del primer sentimiento de vergüenza y los argumentos autoculpabilizadores19, trascienden y superan los discursos castigadores que fueron magistralmente utilizados durante el comienzo de la crisis, que los afectados/as van abandonando conforme participan y forman parte del movimiento. «Se hace política del día a día, por fuera del Estado» (Segato, 2016: 106).
4.3 Reinventarse en el día a día, devenir grupo
«Mientras tanto, la práctica política femenina no es utópica sino tópica y cotidiana, del proceso y no del producto.» (Segato, 2016: 31)
A toda persona afectada, después de exponer por primera vez su caso en una asamblea, se le asigna colectivamente un grupo de apoyo-acompañamiento compuesto por dos o tres compañeros/as, y se aconseja que sean grupos mixtos en términos de más o menos experiencia (para que los saberes se vayan socializando). Aunque los/as afectados/as tienen que aprender a solucionar los casos por sí mismos/as (para eso existen las sesiones de formación), se recurre siempre al apoyo colectivo, pues dejar de sentirse solo es una dimensión central del trabajo que realiza el movimiento. Los grupos apoyan los diferentes casos, hacen un seguimiento, asesoran en los pasos a acometer, acompañan a los juzgados, a las negociaciones y a los múltiples trámites que deben realizarse en el proceso. En varias ocasiones, compañeras/ os del grupo, además de las dificultades más directamente relacionadas con el papeleo, han recibido tratos prejuiciosos o irrespetuosos por parte de abogados de oficio, trabajadoras sociales20, empleados de banco —ya sea por su condición de clase, género, nivel de escolarización, origen, etc.—21. Estas experiencias, si son vividas individualmente, producen indefensión y empujan a ejercer aún menos derechos de los que corresponderían legalmente. Por eso, ante el desasosiego que genera el exceso de burocratización y la «cultura de los papeles», experiencias como ir juntas a negociar con el banco, apoyar a las compañeras ante un juicio civil, aprender a rellenar el sinfín de documentación requerida por las correspondientes instancias —solicitud de hojas simples, petición de abogado de oficio, escritos varios a los bancos, reclamaciones, quejas ante documentos perdidos, etc.—, hacen que la persona afectada realice un aprendizaje activo y tome las riendas de su caso, empezando por aprender a gestionar todos los requerimientos formales para intentar paralizar un desahucio.
Una cosa que yo he observado aquí es que te empoderas. Yo antes, conmigo, «Venga usted mañana», y yo iba mañana, «Vaya usted allí», y yo iba allí (…). Pero aquí, en cuanto al tema nuestro, vas adquiriendo conocimiento, también eso es satisfactorio para una persona, ir aprendiendo cómo funciona la hipoteca, yo llevo ya unos días que me estoy haciendo una biblioteca de temas jurídicos y me voy enterando. (Compañero, grupo de debate del 1/3/2016)
La enorme experiencia acumulada en los años pone de manifiesto una organización virtuosa en temas de plazos, normas, escritos, respuestas, etc. Impresiona y sorprende la forma magistral de responder del grupo en estos casos de emergencia. Estas acciones no representan una cuestión menor o insignificante, pues aluden a una micropolítica de los cuidados que entreteje lazos de solidaridad, generando procesos de agenciamiento.
Es tan importante que la gente tan chica, la gente chica que la pisen tanto se crezca, y pueda tener la fuerza para decir: «¡Ojo! que las cosas son de otra manera». Eso es muy importante. (Compañera, grupo de debate del 1/3/2016)
Aquí hay muy buena gente, sí, porque estamos todos en el mismo barco, estamos tiesos, con el agua al cuello, unos un poco más arriba, un poco más abajo, aquí nadie puede presumir porque no es un club de campo, nadie tiene yates. Total, estamos todos en el mismo barco y vas codo con codo. (Compañero, grupo de debate del 1/3/2016)
Durante el acompañamiento se van construyendo vínculos con todo el grupo, pero especialmente con quienes apoyan los casos. En las asambleas, cuando se exponen los casos de seguimiento, se traslada lo que se está haciendo, compartiendo los trámites realizados y planteando las dudas para buscar posibles respuestas. En realidad, desde la primera asamblea, se despliegan múltiples estrategias de cuidados hacia el interior del grupo, se va construyendo un imaginario de «familia-comunidad»22 (compuesta por una multiplicidad de singularidades), comunidades difusas que se distancian de delimitaciones monolíticas, que durante la acción de «encontrarse» bajo un marco común de acción, un proyecto —parar los desahucios—, pero también una historia compartida, construyen un lugar de interacción y afectación recíproca, de vínculos y afectos que encarnan otras formas de politización cotidiana y tejen alianzas más allá de lo identitario (Sebastiani, García Soto y Álvarez Veinguer, 2017).
Yo lo definiría como una familia, todavía por terminar de forjarse, porque tiene muchos cimientos, podríamos decir ramitas, uno por aquí, otros por allí, y otro por allí. (Compañera, grupo de debate del 18/10/2016)
Una «familia-comunidad» sin límites prefijados a priori, abierta a reinventarse, construir e imaginar nuevos relatos y narrativas del mundo porque las ideas y explicaciones que compartían y asumían antes ya no les sirven23. Relatos que se atreven a superar la dimensión instituida y orientarse hacia lo instituyente, pues «‘lo imaginario’ tiene dos dimensiones, la de lo instituido y la de lo instituyente» (Laval y Dardot, 2015: 478).
Cuando vine aquí y encontré gente, que la gente tenga la fuerza para decir: «Venga va, que tenemos el valor y la justicia de decir, somos gente que resistimos y vamos a resistir.» (Compañera, grupo de debate del 1/3/2016)
Los miembros de la asamblea conocen los detalles y las diferentes casuísticas, saben si la persona tiene hijos/as menores, si hay personas dependientes, cuál es la situación con el resto de familiares, en qué trabajan o si no trabajan, cuándo tienen un familiar enfermo y no pueden venir a la asamblea, cuándo alguien tiene que ir al hospital, cuándo los/as hijos/as los dejan de lado, o los acompañan en el camino, la cantidad de dinero que han pagado, cuál es el banco que los exprime, etc. Es un espacio donde se habla, se debate y se comparte sobre las preocupaciones diarias. Las conversaciones no se mueven por terrenos distantes, formales o ideologizados —realmente no hay tiempo ni espacio para ello—, la centralidad se coloca en las circunstancias y condiciones de las emergencias cotidianas. Interacciones que remiten a la política de lo cotidiano, de los afectos y los vínculos.
A nivel humano se rompe con ese individualismo que este sistema propugna, te abres, el contacto directo con la gente, la problemática y las situaciones es real:
«No tengo para comer», «Me han cortado el gas» o «Me van a quitar la luz y tengo niños pequeños». Entonces se establecen unas relaciones súper cálidas y humanas, profundas… «Conmigo puedes contar para lo que quieras, conmigo y con el grupo». (Compañera, conversación del 31/5/2016)
Cuando alguien llega a la asamblea, se le pregunta «¿Cómo estás?» no como un formalismo vacío, sino como un interés íntimo de saber si algo nuevo ha pasado. Si alguna familia necesita algo, ante cualquier imprevisto se activan los grupos de Whatsapp y se despliegan redes de apoyo y ayuda. Un camino relacional, «la política del día a día» (Segato, 2016: 108) es de lo que sabe y entiende la gente; cuidar(se) para sentir(se) acompañado en un deseo compartido, porque el agenciamiento siempre está vinculado con la creencia y el deseo (Deleuze y Guattari, 2000: 223)24.
5 CONCLUSIONES: POLITIZANDO EL SUFRIMIENTO
En este artículo hemos abordado la política de los vínculos, que se materializa en las prácticas diarias de Stop Desahucios Granada-15M. Al recorrer las experiencias de las personas afectadas —cuerpos vulnerables25— hemos ilustrado cómo, mediante los procesos de subjetivación, los vínculos y los afectos, se aprende a surfear los aprendizajes previos sobre lo que es propio de lo público y lo privado, y emergen formas híbridas de respuesta y contestación que ya no se sustentan en la exclusiva dependencia del Estado y del mercado porque se producen agenciamientos que permiten afrontar de forma colectiva la condición de vulnerabilidad. Cuerpos que se definen «por las relaciones que hacen posible su vida y sus actos» (Butler, 2017: 132) y donde la relacionalidad, una dimensión de total centralidad de nuestros cuerpos que se convierte en elemento determinante en los procesos de agenciamiento. Quisiéramos concluir puntualizando que dicha vulnerabilidad no termina siendo negada o «derrotada» sin más a lo largo del proceso; más bien, esta es socializada y, al hacerlo, se vuelve productiva y se convierte en potencia colectiva. Relata Garcés que muchos/as de los/as supervivientes del 11M madrileño decidieron rechazar la categoría de víctimas, autonombrándose «los afectados» (2011: 400), una elección que supuso la transformación de su propia condición política, denotando «un rechazo de la pasividad y la receptividad del dolor para abrirse a una transformación más amplia y profunda de sí mismos» (Garcés, 2011: 400). Algo parecido (con las debidas distinciones) pasa dentro de Stop Desahucios Granada-15M: sus prácticas activistas no aspiran a «cerrar la herida (‘olvídate de tus problemas personales y ven a militar, la revolución es salud’)» de los cuerpos afectados, sino que se preocupan por «mantenerla abierta como un vínculo vivo entre lo existencial y lo político del que se pueda extraer potencia de creación, de emancipación, de transformación» (Fernández-Savater, 2008: 111). Se hace política a partir de una afectación común, del «manejo de un daño» de forma colectiva (Rancière, 2000: 149). A lo largo de este proceso las emociones negativas experimentadas inicialmente en un plano individual terminan resignificándose y convirtiéndose en afectos colectivos, positivos y esperanzadores (Mangot Sala, 2013a: 79-86). Se genera un nuevo «habitus emocional» (Gould, 2009) en donde las emociones se vuelven políticamente productivas. Así pues, el (auto)empoderamiento que tiene lugar es emocional . político al mismo tiempo (Ruiz Peralta, 2013: 14; Perugorría y Tejerina, 2013: 433); por esta vía se terminan desaprendiendo las formas subjetivas impuestas por la racionalidad neoliberal, dando lugar a aprendizajes novedosos (González Terreros, Aguilera Morales y Torres Carrillo, 2012: 54). Lo que se hace es politizar el sufrimiento: «Cuando el capitalismo instrumentaliza la intimidad, la intimidad se vuelve también el principio de la resistencia. Ya no la conciencia o la ideología, sino la intimidad que no se oculta sus grietas» (Fernández-Savater, 2008: 112).
Este proceso es también una forma de subjetivación política, esto es, un «devenir inacabado del sujeto», «la producción de una disyuntura, de una desidentificación, de una salida fuera de sí», o incluso «una aventura: un devenir sin anticipación posible de lo que viene, un devenir indeterminado» (Tassin, 2012: 37). Ello no atañe únicamente a las personas recién llegadas, pues también los activistas no afectados (personas con una trayectoria activista previa que se unieron al grupo para apoyar sus reivindicaciones) experimentan una importante deconstrucción de sus (re)presentaciones identitarias. Por ejemplo, en el grupo hay compañeros/as procedentes de organizaciones históricas del movimiento obrero que, tras haberlas abandonado por decepción, se reincorporaron a la militancia gracias al 15M y a Stop Desahucios. Al transitar por esta experiencia no solo recuperaron la ilusión, sino que terminaron por contaminarse profundamente con sus lógicas de funcionamiento —algunos se han vuelto partidarios del asamblearismo—. También hay casos de activistas (de distintas edades) que siguen perteneciendo a grupos más o menos ideologizados; sin embargo, la política de los vínculos y las prácticas colectivas que tienen lugar relegan estas pertenencias a un lugar secundario. A diferencia de la praxis militante tradicional, cuyos espacios colectivos solían ser objeto de una disputa ideológica y una lucha por la hegemonía, aquí todo planteamiento general está obligado a contagiarse con la lógica de inmanencia que habita el/los hacer(es) colectivo(s). Así, el proceso de subjetivación política es bidireccional: por un lado, el drama «personal» y «concreto» de las/os afectadas/os se vuelve «político», mientras que, por el otro, las «identidades» de los/as activistas más politizados/as se tornan una cuestión «personal», que no altera los procesos colectivos sino que se ve envuelta en y atravesada por ellos.
En conclusión, las experiencias y los relatos que venimos compartiendo a partir de la coinvestigación junto con Stop Desahucios Granada-15M nos invitan en este caso específico a prestar una mayor atención, y rastrear de forma más detallada los nuevos horizontes de una política de los vínculos y los afectos.
6 BIBLIOGRAFÍA
AA.VV. (2016). Archivo 15M Granada. Granada: 15-M de Granada.
AA.VV. (2017). Guía Formación. Granada: Stop-Desahucios 15M. Recuperado de: https://afectadosporlahipotecagranada.com/download/Guia-de-Formacion-StopDesahucios-Granada-15M.pdf.
Adell, M., Lara, A., y Mármol, E. (2013). La PAH: Origen, evolución y rumbo. Anuario de Movimientos Sociales, 2013, 1-20.
Alonso, L.E., Fernández Rodríguez, C.J., e Ibáñez Rojo, R. (2016). De la moral del sacrificio a la conciencia de la precariedad. Un análisis cualitativo de los discursos sobre la evolución de la crisis en España. Política y Sociedad, 53(2), 353-379.
Álvarez de Andrés, E., Zapata Campos, M.J., y Zapata, P. (2014). Stop the evictions! The diffusion of networked social movements and the emergence of a hybrid space: The case of the Spanish Mortgage Victims Group. Gotenburgo: School of Public Administration. Recuperado de: http://gup.ub.gu.se/records/fulltext/206630/206630.pdf.
Arribas Lozano, A. (2014). Formas de hacer. Experimentación y prácticas emergentes en los movimientos sociales. Una etnografía de las Oficinas de Derechos Sociales (Tesis doctoral inédita). Universidad de Granada, Granada.
Ávila Cantos, D., y García García, S. (2013). Solicitar, subsanar, denegar… la burocracia de los de abajo. En P. Oliver Olmo (Coord.). Burorrepresión. Sanción administrativa y control social (pp. 119-150). Albacete: Bomarzo.
Barbero, I. (2015). When rights need to be (re)claimed: Austerity measures, neoliberal housing policies and anti-eviction activism in Spain. Critical Social Policy, 35, 270-280.
Beasley-Murray, J. (20/02/2015). La clave del cambio social no es la ideología, sino los cuerpos, los afectos y los hábitos. Entrevista por Amador Fernández-Savater. Eldiario.es. Recuperado de: www.eldiario.es/interferencias/Podemos-hegemonia-afectos_6_358774144.html.
Bifo (Berardi, F.) (2003). La fábrica de la infelicidad. Nuevas formas de trabajo y movimiento global. Madrid: Traficantes de Sueños.
Butler, J. (2017). Cuerpos aliados y lucha política. Barcelona: Paidós.
Campbell, E., y Lassiter, L. E. (2010). Reflection from the Field. From Collaborative Ethnography to Collaborative Pedagogy: Reflections on the Other Side of Middletown. Project and Community-University Research Partnerships. Anthropology and Education Quarterly, 41(4), 370-385.
Cano, G., y Etxezarreta, A. (2014). La crisis de los desahucios en España: respuestas institucionales y ciudadanas. Revista de Economía Crítica, 17, 44-57.
Carretero Miramar, J.L. (2015a). ¿Hacia la constitución del régimen de la deuda? En J.L. Carretero Miramar (Coord.). Tu casa no es tuya, es del banco (pp. 53-72). Madrid: Queimada.
Carretero Miramar, J.L. (2015b). Desahucios, lanzamientos, ¿hay alternativas? En J.L. Carretero Miramar (Coord.). Tu casa no es tuya, es del banco (pp. 111-138). Madrid: Queimada.
Castañeda, E. (2012). The Indignados of Spain: A Precedent to Occupy Wall Street. Social Movement Studies, 11(3-4), 309-319.
Colau, A., y Alemany, A. (2012). Vidas hipotecadas. De la burbuja inmobiliaria al derecho a la vivienda. Barcelona: Cuadrilátero de Libros.
Colau, A., y Alemany, A. (2013). ¡Sí se puede! Crónica de una pequeña gran victoria. Barcelona: Ediciones Destino.
Comisión Europea (2016). Pilot project Promoting protection of the right to housing. Homelessness prevention in the context of evictions. Recuperado de: http://ec.europa.eu/social/BlobServlet?docId=15544&langId=en
Consejo General del Poder Judicial (CGPJ) (2018). Datos sobre el efecto de la crisis en los órganos judiciales. Madrid: Consejo General del Poder Judicial. Recuperado de: www.poderjudicial.es/cgpj/es/Temas/Estadistica-Judicial/Estudios-e-Informes/Efecto-dela-Crisis-en-los-organos-judiciales/.
Constitución Española (1978). BOE núm. 311, de 29 de diciembre de 1978. Madrid: Cortes generales.
Deleuze, G., y Guattari, F. (2000). Mil mesetas. Capitalismo y esquizofrenia. Valencia: Pre-Textos.
Dietz, G., y Álvarez Veinguer, A. (2014). Reflexividad, interpretación y colaboración en etnografía: un ejemplo desde la antropología de la educación. En C. Oehmichen Bazán (Ed.). La etnografía y el trabajo de campo en las ciencias sociales (pp. 55-89). Ciudad de México: UNAM.
Domingo Utset, G. (2012). Los desahucios en la ciudad de Terrassa. Sostenible?, 13, 42-52.
Esteban, M.L. (2004). Antropología del cuerpo. Género, itinerarios corporales, identidad y cambio. Barcelona: Bellaterra
Esteban, M.L. (2011). Cuerpos y políticas feministas: el feminismo como cuerpo. En C. Villalba y N. Álvarez (Coords.). Cuerpos políticos y agencia. Reflexiones feministas sobre cuerpo, trabajo y colonialidad (pp. 45-84). Granada: Universidad de Granada.
Fernández-Savater, A. (2008). Politizar el sufrimiento. Minerva, 7, 111-112.
Flesher-Fominaya, C. (2014). Debunking Spontaneity: Spain’s 15-M/Indignados as Autonomous Movement. Social Movement Studies, 14(2), 142-163.
Flesher-Fominaya, C. (2015). Redefining the Crisis/Redefining Democracy: Mobilising for the Right to Housing in Spain’s PAH Movement. South European Society and Politics, 20, 1-21.
Galcerán Huguet, M. (2011). La dimensión democrática radical del feminismo. En A. Calle Collado (Ed.). Democracia radical. Entre vínculos y utopías (pp. 79-99). Barcelona: Icaria.
Garcés, M. (2011). ¿Qué podemos hacer? O sobre las intimidades de la crítica. En O. Cornago (Ed.). A veces me pregunto por qué sigo bailando(pp. 393-407). Madrid: Contintametienes.
Garea, F. (25/02/2014). Rajoy da por superada la crisis. Elpais.com. Recuperado de: https://politica.elpais.com/politica/2014/02/25/actualidad/1393356844_748721.html.
Gatti, G. (2016). La hipótesis V. Las víctimas y su victoria sobre el poderoso (y muy agencial) ciudadano. En B. Tejerina y G. Gatti (Eds.). Pensar la agencia en la crisis (pp. 145-164). Madrid: CIS.
González Peinado, L. (2015). Corrala. En J.L. Carretero Miramar (Coord.). Tu casa no es tuya, es del banco (pp. 159-176). Madrid: Queimada.
González Terreros, M.I., Aguilera Morales, A., y Torres Carrillo, A. (2012). Investigar subjetividades y formación de sujetos en y con organizaciones y movimientos sociales. En C. Piedrahita Echandía, A. Díaz Gómez y P. Vommaro (Comps.). Acercamientos metodológicos a la subjetivación política: debates latinoamericanos (pp. 49-70). Bogotá: Universidad Distrital Francisco José de Caldas y Clacso.
Gould, D.B. (2009). Moving Politics. Emotion and Act Up’s Fight Against AIDS. Chicago-London: University of Chicago Press.
Guattari, F., y Rolnik, S. (2006). Micropolítica. Cartografías del deseo. Madrid: Traficantes de Sueños
Heredia, J.M. (2014). Dispositivos y/o agenciamientos. Contrastes. Revista Internacional de Filosofía, 19(1), 83-101.
Hughes, N. (2011). ‘Young People Took to the Streets and all of a Sudden all of the Political Parties Got Old’: The 15M Movement in Spain. Social Movement Studies, 10(4), 407-413.
J.M.M. (06/03/2018). Los desahucios por no pagar el alquiler baten récords en Granada en 2017. ElIndependienteGranada.es. Recuperado de: www.elindependientedegranada.es/ciudadania/desahucios-no-pagar-alquiler-baten-records-granada-2017.
Lassiter, L.E. (2005). The Chicago Guide to Collaborative Ethnography. Chicago: University of Chicago Press.
Laval, C., y Dardot, P. (2015). Común: ensayo sobre la revolución en el siglo XXI. Barcelona: Gedisa.
Macías, C. (2013). Del empoderamiento a la autotutela de derechos: El caso de la PAH. El Viejo Topo, 306(7), 44-48.
Mangot Sala, L. (2013a). La Plataforma de Afectados por la Hipoteca. De la crisis a la estafa. Del Prozac al empoderamiento. Clivatge, 2, 56-88.
Mangot Sala, L. (2013b). Cronología: burbuja, crisis y PAH. Anuari del Conflicte Social, 3, 272-283. Recuperado de: http://revistes.ub.edu/index.php/ACS/article/view/10338.
Mir Garcia, J., França, J., Macías, C., y Veciana, P. (2013). Fundamentos de la Plataforma de Afectados por la Hipoteca: activismo, asesoramiento colectivo y desobediencia civil no violenta. Educación Social, 55, 52-61.
Observatori DESC y PAH (2013). Emergencia habitacional en el Estado español. La crisis de las ejecuciones hipotecarias y los desalojos desde una perspectiva de derechos humanos. Recuperado de: http://afectadosporlahipoteca.com/wp-content/uploads/2013/12/2013-Emergencia-Habitacional_Estado_Espanyoldef.pdf.
Olmos Alcaraz, A., Sánchez Cota, A., Álvarez Veinguer, A., y Sebastiani, L. (2018). Etnografía con los movimientos de lucha por el derecho a la vivienda en el sur de Europa: retos metodológicos en la investigación colaborativa para la acción social. Universitas Humanistica, 86, 139-166.
PAH (2018). Si no se sientan, nos levantamos. Recuperado de: afectadosporlahipoteca.com/2018/02/21/si-no-se-sientan-nos-levantamos/
PAH Barcelona (Plataforma de Afectados por la Hipoteca) (2018). Informe sobre vivienda. Recuperado de: https://pahbarcelona.files.wordpress.com/2018/02/informe-de-datosvivienda.pdf.
Pérez, E. (2015). La revuelta de los que no quieren moverse de casa. En J.L. Carretero Miramar (Coord.). Tu casa no es tuya, es del banco (pp. 139-158). Madrid: Queimada.
Perugorría, I., y Tejerina, B. (2013). Politics of the encounter: Cognition, emotions, and networks in the Spanish 15M. Current Sociology, 61(4), 424-442.
RAE (2018). Desahuciar. Recuperado de: http://dle.rae.es/?id=COIpeMY
Ramis-Pujol, J. (2013). Una aproximación multidisciplinar al desahucio hipotecario basada en estudios de caso. Barcelona: Universitat Ramon Llull y Fundación Innovación, Acción y Conocimiento. Recuperado de: www.fiayc.org/fileserver2/61753948DesahuciosHipotecarios.EstudiosCaso.Ramis.Vcorta.pdf.
Rancière, J. (2000). Política, identificación y subjetivación. En B. Arditi (Ed.). El reverso de la diferencia. Identidad y política (pp. 145-152). Caracas: Nueva Sociedad.
Rappaport, J. (2008). Beyond Participant Observation: Collaborative Ethnography as Theoretical Innovation. Collaborative Anthropologies, 1, 1-31.
Rojo Letón, H. (2015). Sin presión social, tampoco hay datos. En J.L. Carretero Miramar (Coord.). Tu casa no es tuya, es del banco (pp. 73-88). Madrid: Queimada.
Ruiz Peralta, E. (2013). Desahuciar, desalojar, ejecutar. Cuando la política callejera se convierte en Medicina (Trabajo de fin de máster inédito). Universitat Rovira i Virgili, Tarragona.
Sebastiani, L., Fernández Alberdi, B.I., y García Soto, R. (2016). Lotte per il diritto alla casa nello Stato spagnolo: la Plataforma de Afectados por la Hipoteca. Campagne, successi e alcune chiavi di riflessione. Interface: a journal for and about social movements, 8(2), 363-393.
Sebastiani, L., García Soto, R., y Álvarez Veinguer, A. (2017). Movimientos por el derecho a la vivienda, nuevas sociabilidades y producción de comunes: el caso de una investigación colaborativa con Stop Desahucios Granada-15M y la PAH de Barcelona. Actas del XIV Congreso de Antropología FAAEE, 799-812.
Segato, R.L. (2016). La guerra contra las mujeres. Madrid: Traficantes de Sueños.
Suess Schwend, A. et al. (2016). Resumen ejecutivo. Proyecto de investigación «Procesos de desahucio y salud». Sevilla: Escuela Andaluza de Salud Pública. Recuperado de: www.easp.s/crisis-salud/images/Procesos-de-desahucio-y-salud-Resumen-ejecutivo.pdf
Tassin, E. (2012). De la subjetivación política. Althusser/Rancière/Foucault/Arendt/Deleuze. Revista de Estudios Sociales, 43, 36-49.
Veciana, P., França, J., y Mir Garcia, J. (2013). La Plataforma de Afectados por la Hipoteca y su capacidad de movilización e incidencia social. Recuperado de: fes-sociologia.com/ la-plataforma-de-afectados-por-la-hipoteca--y-su-capac1000ad-de-movilizacin-einc1000encia-social/congress-papers/1000/.
Notas
Notas de autor
Información adicional
Cómo citar / How to cite: Álvarez Veinguer, A. y Sebastiani, L. (2019). «Una década de luchas contra los desahucios. De la vergüenza y la soledad a los agenciamientos cotidianos»; Papeles del CEIC, vol. 2019/1, papel 208, 1-19. (http://dx.doi.org/10.1387/pceic.19502).