Artículos
Recepción: 29 Enero 2020
Aprobación: 29 Febrero 2020
DOI: https://doi.org/10.15446/ideasyvalores.v69n174-85044
RESUMEN: Este artículo explora si hay algún fundamento sólido para atribuir a Leonardo da Vinci prioridad en la formulación del símil que lleva a concebir el ojo como una cámara obscura. Aquí, se defiende una posición pesimista. No obstante, el artículo resalta algunos aportes del pintor renacentista que pueden considerarse contribuciones a la consolidación del símil.
Palabras clave: Leonardo da Vinci, cámara obscura, imagen, ojo, retina.
ABSTRACT: The article explores whether there is any solid basis for attributing to Leonardo da Vinci the priority in formulating the simile that leads to conceiving the eye as a camera obscura. Here, a pessimistic position is defended, however, the article highlights some of Leonardo's contributions to the consolidation of the simile.
Keywords: Leonardo da Vinci, camera obscura, image, eye, retina.
En el año 2019 se cumplieron quinientos años de la muerte de Leonardo da Vinci (1452-1519). Al genio renacentista se le reconocen sus logros en obras pictóricas muy apreciadas, en los bellos y muy detallados dibujos anatómicos, en la concepción de formidables diseños de máquinas e instrumentos y en el legado de hondas reflexiones en torno a la naturaleza del arte. La fascinación por la figura de Leonardo ha llevado a que muchos lo vean como el precursor de múltiples empresas e ideas que hoy valoramos con alto aprecio. Alexandre Koyré, en una conmemoración de los quinientos años del natalicio del genio, presentaba la admiración colectiva en los siguientes términos:
El personaje de Leonardo adquirió proporciones sobrehumanas. Fue proclamado el mayor espíritu moderno, fundador de las técnicas y de la ciencia modernas, precursor de Copérnico, de Vesalio, de Bacon y de Galileo, apareciendo milagrosamente como un proles sine matre al comienzo del mundo moderno. (90)
Entre las ideas que se atribuyen a Leonardo, por ejemplo, Koyré sugiere que el pintor florentino anticipó la ley de la caída de los cuerpos, la cual solemos atribuir a Galileo (cf. 100). Asimismo, Vasco Ronchi sugiere que Leonardo articuló todos los elementos para concebir el ojo a la manera de una cámara obscura:
[Leonardo] llegó a la conclusión de que el ojo funciona como una cámara obscura cuya abertura simula la pupila mientras al interior del globo las imágenes son reorientadas por el cristalino para la recepción en la retina.1 (119)
El propósito del presente artículo consiste en evaluar hasta dónde es legítimo atribuir a Leonardo da Vinci la formulación del recurso que invita a concebir al ojo humano a la manera de una cámara obscura. Hoy somos testigos de la forma en la que las investigaciones de los ópticos modernos tomaron provecho al concebir que la estructura ocular se asemeja a una cámara obscura. La pupila funge como abertura y el cristalino opera como una lente que optimiza la recepción de una copia pictórica en la retina. A pesar de que durante el siglo XX el símil se ha sometido a una severa crítica, incluso responsabilizándole de cultivar el mito del teatro interior,2 el recurso sigue gozando de vigencia.
Visto en perspectiva, la emergencia y madurez del símil no debe su prestigio simplemente a la formulación de un golpe genial de la imaginación o de una idea formidable a la que resulta difícil resistirse. La solidez del símil está atada a la solución de una serie importante de dificultades que, de no haber tenido una respuesta convincente, hubieran impedido que el símil se convirtiera en el recurso que llegó a ser. Si tuviéramos que fechar una carta de nacimiento para la emergencia consolidada del recurso, esta tendría que ser el año de 1604. En este año Johannes Kepler (1571-1630) publicó la obra Ad Vitelionem paralipomena, quibus Astronomiœ pars optica traditur, en la cual se resuelven minuciosamente las dificultades anunciadas, dándole lugar a un nuevo horizonte para el estudio de la percepción visual. Las dificultades mencionadas se pueden resumir en tres.
En primer lugar, el reconocimiento de las bondades del símil demanda que contemos con una solución matemática que determine los protocolos mediante los cuales es posible concebir la formación de imágenes cuando la luz atraviesa agujeros de minúsculo tamaño.
La segunda dificultad consiste que el modelo de la cámara obscura demanda contar con una ley cuantitativa precisa que permita anticipar el comportamiento de la luz al atravesar medios transparentes. Dado que más allá de la pupila la luz se encuentra con una abigarrada estructura de lentes, necesitamos enfoques teóricos que ofrezcan conjeturas plausibles acerca de los trayectos de la luz, pues estos se quiebran a causa de la refracción.
Finalmente, el modelo de la cámara obscura exige que precisemos con claridad el papel protagónico que habríamos de asignar a la retina en la recepción de copias pictóricas que varían en simultáneo con la presencia de objetos externos. Esta dificultad demanda que renunciemos a una actitud prevenida frente al hecho de reconocer la recepción de pinturas invertidas en la retina.
Como veremos en el texto, la obra de Kepler ofrece un horizonte consistente para enfrentar las tres dificultades mencionadas.3 Más que ocuparnos de las técnicas heurísticas de la investigación de Kepler, nos interesa evaluar si los aportes de Leonardo se pueden presentar como anticipaciones o prefiguraciones que permiten o habrían permitido enfrentar las dificultades mencionadas. El artículo se detiene en cada una de las obstrucciones; además, presenta y comenta los aportes de Leonardo en ese contexto.
Formación de imágenes a través de agujeros
En su tratado, Kepler propuso el siguiente problema: "En una cámara cerrada [obscura], y contra una pared interpuesta, representar cualquier cosa que se encuentre por fuera y opuesta a la cámara" (Paralipomena 67; GM 55).4 Kepler le dio crédito a Giovanni Battista della Porta (1535-1615) como el primero en presentar el sorprendente resultado, recriminándole no haber ofrecido demostración alguna de sus afirmaciones.
A comienzos del siglo XX, el mundo occidental conoció, gracias a la traducción al alemán, un estudio detallado de la cámara obscura como un instrumento de observación de los eclipses, el cual proviene del filósofo árabe Alhacén (ca. 965 d. C.-ca. 1040 d. C.). Este tratado puede reportarse como el primer estudio matemático cuidadoso de la formación de imágenes en un dispositivo como la cámara obscura. Algunos de los resultados de Alhacén coinciden con los análisis de Kepler. No hay indicio de que Kepler tuviese conocimiento alguno de dicho trabajo.5
En relación con el paso de luz por agujeros, Aristóteles dio cuenta de algunas experiencias desconcertantes, invitando a los investigadores a ocuparse de ellas. El filósofo griego pregunta: "¿Por qué el Sol, cuando pasa a través de cuadriláteros, no forma figuras rectilíneas sino círculos?" (prob. 911b 3-6). Si frente al Sol interponemos una pared con un pequeño agujero, cuyos bordes definen un polígono, y buscamos al otro lado de la pared la imagen que forma el Sol, sorprende que, a una distancia adecuada, observemos una imagen circular en lugar de la figura del polígono. Aunque el filósofo no detalle solución alguna, deja ver una sugerencia que más tarde Kepler usó:6 "La razón es que se forman dos conos, el que va del Sol al agujero y el que va de allí a la Tierra, y están unidos por el vértice" (prob. 912b 17-19). Cuando se reduce el agujero, se ve como el vértice de dos pirámides: una que tiene como base al Sol y otra que se extiende al otro lado de la pared, proyectando hacia el fondo una imagen ajustada a la forma de la base de la primera pirámide, en este caso la forma del Sol.
Alhacén, en su conocido tratado Kitāb al-Manāzir, Conocido en occidente como De Aspectibus, formuló un dispositivo similar a una cámara obscura para defender su tesis, buscando mostrar que diferentes formas sensibles (especies), así como diferentes rayos de luz, pueden traslaparse sin afectarse mutuamente:
Más aún, la evidencia de que la luz y el color no se mezclan en el aire o en [otros] cuerpos transparentes se [encuentra en] el hecho de que, cuando varias velas están localizadas en varios lugares distintos en la misma área, y cuando todas ellas encaran una ventana que da acceso a una cavidad oscura, y cuando existe una pared blanca u [otro] cuerpo opaco [blanco] encarando la ventana en la cavidad oscura, las luces [individuales] de aquellas velas aparecen individualmente sobre el cuerpo o pared de acuerdo al número de tales velas; y cada una de aquellas [manchas de luz] aparece directamente opuesta a una vela [particular] a lo largo de la línea recta que pasa a través de la ventana. Más aún, si una vela es cubierta, sólo la luz opuesta a la vela se extinguirá, pero si el obstáculo que cubre es levantado, la luz regresa. (379)
La figura 1, a continuación, ilustra el argumento del filósofo. 7 Las velas A, B, C, D, E (que irradian luz en todas las direcciones) transmiten su forma y color a través del pequeño agujero hasta que hieren la pantalla del fondo, generando las respectivas imágenes A', B', C, D', E'. Si ocultamos B, por ejemplo, desaparecerá B'. Ello muestra que las cinco formas convergen en el orificio, en donde se reúnen con el aire de las vecindades; no obstante, las formas continúan su trayecto rectilíneo sin verse afectadas por el encuentro en el orificio.

En el parágrafo 30 del Tratado de la Pintura8 Leonardo explica que al ojo le resulta más fácil retener los objetos iluminados que los objetos que se encuentran ensombrecidos. Lo anterior se da porque resulta más fácil distinguir entre cosas disímiles que entre cosas semejantes.
Así, dado que en el interior del ojo reina la obscuridad, resulta más fácil reconocer y retener un objeto iluminado, en virtud del contraste que establece con la plena obscuridad interior. Si el objeto está ensombrecido el contraste se desvanece, lo cual hace más difícil el reconocimiento. Leonardo complementa su propuesta con un argumento que parece tomado del pasaje de Alhacén:
Un experimento muestra cómo los objetos transmiten sus imágenes (spetie), intersecándose en el interior del ojo en el humor cristalino. Esto queda demostrado cuando las imágenes (spetie) de los objetos iluminados penetran al interior de una cámara obscura por un pequeño orificio circular. Si tú recibes estas imágenes (spetie) en un papel blanco situado en el interior de tal habitación, más bien cerca del orificio, verás todos los objetos en el papel en sus debidas formas y colores, aun cuando más pequeños y, por culpa de la intersección, aparecerán invertidos. (TP §71; MD §78)

El argumento de Leonardo, que parece una paráfrasis del de Alhacén, sugiere que al ocultar cualquiera de los objetos iluminados e, d, c, b, o a (figura 2), se ocultará, simultáneamente, su imagen correspondiente: f, g, h, i o k respectivamente.
¿Se inspiró Leonardo en el montaje experimental de Alhacén? El artista florentino no es juicioso citando sus fuentes. A propósito del caso mencionado, la fuente principal parece provenir de las obras de Roger Bacon (ca. 1214-ca. 1292), John Pecham (ca. 1230-ca. 1292) o Erazmus Witelo (ca. 1230-1314). Leonardo no lo reconoce, pero no hay duda de la huella de las ideas de dichos autores en su obra. Los trabajos de Pecham y Witelo son paráfrasis de los escritos de Bacon, quien, a su vez, siguió cuidadosamente las enseñanzas de Alhacén. No sabemos si Leonardo leyó directamente a los autores mencionados, toda vez que tenía dificultades para dominar el latín.9 Muy seguramente supo de ellos por la asistencia de algún amigo cercano, posiblemente Fazio Cardano (1444-1524), quien preparó en Milán una edición del tratado de Pecham. En la introducción general al libro dedicado a la perspectiva lineal, en el Tratado de la Pintura, Leonardo ofrece una descripción que es una copia literal de la Perspectiva communis de Pecham. Veamos los dos textos en columna para que el lector aprecie el indiscutible parecido. A la izquierda está el texto de Leonardo, a la derecha el de Pecham:
Entre todos los estudios de las causas y razones naturales la luz principalmente deleita a quien las contempla; y entre los grandes rasgos de las Matemáticas la certeza de sus demostraciones es lo que tiende a elevar preeminentemente la mente del investigador. La perspectiva, en consecuencia, debe ser preferida a todos los discursos y sistemas de aprendizaje humano. En esta rama [de la ciencia] el rayo de luz es explicado a partir de aquellos métodos de demostración que forman la gloria no sólo de las matemáticas sino de la física y es adornado con las flores de ambos. En vista de la gran amplitud que alcanzan sus axiomas, los reduciré a breves conclusiones, disponiéndolas según el método del orden natural y de las demostraciones matemáticas; algunas veces por la deducción de los efectos a partir de las causas, y algunas veces arguyendo las causas a partir de los efectos; adicionando también mis propias conclusiones algunas de las cuales, aunque no estén incluidas en ellas, pueden no obstante ser inferidas a partir de ellas. Entonces, si el señor -quien es la luz de todas las cosas- se digna en ilustrarme, Yo me ocuparé de la luz; por lo tanto dividiré el presente trabajo en tres partes. (Notebooks §13)
Entre las investigaciones físicas, la luz es más placentera para los estudiantes de dichos tópicos. Entre las virtudes de las Matemáticas es la certidumbre de las demostraciones la que en forma más alta exalta a los investigadores. En consecuencia, la perspectiva, en la cual se hace uso de las demostraciones a través del uso de líneas radiantes y en la cual se conjugan las glorias de la física y de la matemática así que la perspectiva se adorna con las flores de ambas, es propiamente preferida entre las enseñanzas de la humanidad. Yo presentaré en un resumen conciso las enseñanzas de la perspectiva, las cuales [en los tratados existentes] son presentadas con gran obscuridad, combinando las demostraciones naturales y matemáticas de acuerdo al tipo de asunto, algunas veces infiriendo los efectos de las causas y algunas veces las causas de los efectos, y adicionando algunos contenidos que no pertenecen a la perspectiva, aunque se puedan deducir de sus enseñanzas, de acuerdo a como el maestro -la luz de todos los hombres- considera al investigador de la luz merecedor de iluminación. Ahora el presente opúsculo será dividido en tres cortas secciones. (Pecham 61)
Algunos comentaristas como Kemp (cf 2006 112) sugieren que Leonardo ofrece una traducción del texto de Pecham sin la intención de apropiársela,10 otros, como Ackerman, advierten que Leonardo no hace ningún esfuerzo por indicarle al lector que se trata de una transcripción literal de las ideas de terceros (cf.108). Si Ackerman tiene razón, a Leonardo le costaría trabajo resistir una acusación contemporánea de plagio. Cuando Pecham habla de dividir su exposición en tres partes, se refiere a los tres libros de los que consta su Perspectiva communis, a saber: visión por rayos directos, visión por rayos reflejados y visión por rayos refractados. Cuando Leonardo habla de dividir su exposición en tres partes, hace referencia a la propuesta de introducir tres ramas o tipos de perspectiva, a saber: lineal, cromática y menguante [Prospettiva de'perdimenti]. Esta última tiene que ver con la forma como los contornos de los objetos se hacen más difusos cuando se encuentran más lejos del observador (cf Notebooks §§14-18). Los aportes de Leonardo resultan especialmente originales cuando se trata de tener en cuenta la degradación de los colores y de los contornos a la hora de realizar una representación pictórica.11
Kepler concibió la clave para la solución del problema de Aristóteles tras adoptar un recurso metodológico inspirado en un dispositivo inventado por el pintor alemán Alberto Durero (1471-1528). Este presenta el principio básico de la perspectiva lineal a partir de cordeles que se tienden entre el objeto a representar, el observador y el velo pictórico que se interpone (cf Durero 181). Los rayos de luz se pueden reemplazar por hilos que se tienden desde el punto de origen de la multiplicación hacia cualquiera de las direcciones que deseemos estudiar, por ejemplo, en particular, las líneas de multiplicación que pasan por los bordes del agujero. Veamos en extenso la propuesta de Kepler:
Varios años atrás, una luz me sacó de la obscuridad del Pisanus (Pecham). Dado que era incapaz de entender el muy obscuro sentido de las palabras a partir de un diagrama trazado en el plano, tuve que recurrir a verlo con mis propios ojos en el espacio. Yo procedí a ubicar un libro en un lugar alto de tal forma que pudiera tomarse como un cuerpo luminoso. Entre este y el piso procedí a ubicar una tableta con un agujero poligonal. A continuación tendía un hilo desde uno de los vértices del libro hasta el piso pasando por el agujero, el hilo debía caer sobre el piso de tal forma que después de bordear los límites del agujero me permitía trazar con tiza la imagen perfilada en el piso. De esa manera, se creaba sobre el piso una imagen similar al agujero. Ocurría lo mismo cuando un hilo adicional se extendía desde el segundo, el tercero y el cuarto vértice del libro, así como desde cada uno de los infinitos puntos de los bordes del libro. De esta manera, una serie estrecha de infinitas figuras del agujero bordeaba la gran figura cuadrangular del libro en el piso. (Paralipomena 56; GM 47)
La idea básica de Kepler, obviando los detalles matemáticos, es la siguiente: desde cada uno de los puntos del objeto luminoso emanan pirámides de multiplicación. Estas, al ser obstaculizadas por la pared que contiene el agujero, proyectan, sobre el fondo, una imagen que reproduce la forma del agujero. Esto ocurre para cada uno de los puntos, en particular aquellos que definen los bordes del objeto. Así las cosas, al final contamos con una serie infinita de imágenes del agujero que se organizan alrededor de una gran imagen invertida del objeto luminoso inicial.12
Las imágenes no son objetos con identidad asegurada. Llamamos imagen al efecto que resulta en una pantalla, producto del contraste entre regiones que reciben especies y regiones que no las reciben, o las reciben parcialmente. Así las cosas (Figura 3), un objeto luminoso de forma triangular (PQN) proyecta al otro lado de la pared, y a través de un agujero cuadrado (FGHO), una imagen compleja que resulta de traslapar (I) todos los triángulos invertidos (P'Q'N') que se conciben al imaginar los puntos del agujero (X) como vértices de pares de pirámides invertidas; junto con (II) todos los cuadrados semejantes al agujero, proyectados por cada punto del objeto luminoso (Paralipomena 62-63; GM 59). La figura muestra el cuadrado proyectado por el punto E. Las líneas punteadas marcan los límites de la figura compuesta. Esta figura presenta una serie de triángulos invertidos, que están distribuidos a lo largo de un cuadrado central. Cuando el agujero sea muy pequeño, el cuadrado tenderá a desaparecer, produciendo que los triángulos se fundan en uno solo, el cual determina la imagen invertida de PQN. Si la pantalla se encuentra cerca del agujero, la figura dominante será el cuadrado F'G'H'O' que aparece ligeramente deformado con los triángulos que le acompañan en los bordes.
Si bien no existe en Leonardo un tratamiento que se le parezca al de Kepler o al de Alhacén, el pintor renacentista sí advirtió la importancia de considerar que la formación de imágenes a través de agujeros demanda tener en cuenta un gradiente de iluminación en el interior de la cámara obscura. La idea central de Leonardo consiste en reconocer que las sombras poseen varios grados de obscuridad, provocados por diversos gradientes en la distribución de rayos luminosos.14 Luz y sombra son de naturaleza complementaria. El pintor (TP §171) pide que imaginemos una cámara obscura que recibe luz difuminada a lo ancho del horizonte con grados de intensidad homogéneos. En el interior de esta cámara hemos de presenciar un gradiente de iluminación que va desde la obscuridad absoluta, presente en los sectores a los que no llega ninguna radiación, hasta la claridad total, presente en los sectores a los que llega la mayor cantidad de iluminación. Entre estos dos sectores ha de distribuirse un espectro continuo que define franjas que difieren en la cantidad de iluminación que reciben.
¿Por qué la sombra eab alcanza el más alto grado de obscuridad, bc el segundo y cd el tercero? [figura 4]. La razón es que eab no ve parte alguna del cielo y, en consecuencia, no recibe luz directa [primaria]. bc ve el sector del cielo fgy es iluminado por este. cd ve el cielo en hk. Resulta que cd se expone a una extensión del cielo mayor que bc, y por eso es razonable que resulte más iluminada. Y así, en virtud de lo aquí expuesto, la pared ad ganará poco a poco en iluminación hasta cierta distancia: hasta que la obscuridad de la habitación triunfe sobre la luz de la ventana. (TP §171)

A partir de la descripción de Leonardo se puede concluir lo siguiente: (i) el límite entre iluminación absoluta y obscuridad absoluta supone siempre una degradación continua, en muy pocos casos se puede concebir como una frontera claramente delimitada; (ii) nuestro sensorio está atento permanentemente a leer el tipo de degradación de la sombra en las vecindades de un objeto para inferir información valiosa relacionada con el ambiente; y (iii) quien quiera aprender el arte de la pintura debe estar atento a degradar en forma continua y armónica la intensidad de luz en las vecindades de un objeto. A propósito del último punto, el pintor ha de tener en cuenta que son los gradientes de iluminación y sombra los que realmente informan acerca de los contornos de los objetos, no los trazos que delimitan en forma drástica luz y sombra. El pintor también debe tener en cuenta que los gradientes de intensidad luminosa en las vecindades de un cuerpo pierden definición cuando el objeto se encuentra muy distante. Lo anterior se debe a la intervención del aire iluminado que se encuentra entre el objeto y el observador (TP §176). Manejar la magia de la degradación de intensidad define el principio central del claro-obscuro.15
Trayectoria quebrada de la luz
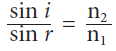
Desde épocas remotas el deseo por ofrecer una buena explicación del fenómeno de refracción de la luz ha estado presente. Los primeros intentos procuraban hacer plausible una descripción que tuviera en cuenta alguna tesis acerca de la naturaleza de la luz que estuviera relacionada con la densidad de los medios transparentes. Pronto, el deseo por indagar en honduras metafísicas fue substituido por la necesidad de contar con una ley cuantitativa que marcara con precisión las regularidades observadas. La tarea, aunque parecía más prometedora, no era sencilla. Mucha tinta y muchos esfuerzos corrieron antes de que se llegara a un consenso en torno a la Ley de Snell-Descartes (ca. 1630). Esta ley, en la versión contemporánea, sugiere que si un rayo de luz pasa del primer medio al segundo formando un ángulo i con la normal, se refractará en el segundo medio formando un ángulo r con la normal ajustado a la siguiente regularidad matemática16:

Una de las motivaciones principales que llevaron a Kepler a ocuparse de la óptica fue hallar una ley adecuada para la refracción, la cual sirviese para descontar los errores de observación en los que podrían incurrir los astrónomos por dejar de considerar la desviación de los trayectos de luz cuando ingresan desde el cielo a las capas de aire y, desde estas, a las esferas cristalinas del ojo. Kepler no logró llegar a un resultado que suscitara consenso. Su metodología consistía en ofrecer un modelo matemático que pudiera presentarse como analogía, de suerte que, al manipular una o dos variables del modelo, se lograra anticipar los resultados empíricos que habían sido anotados por Ptolomeo (cf. 233) y legados a la posteridad en el tratado de Witelo (cf Risner 412). El filósofo ensayó con tres familias de analogías. Las dos primeras fracasaron en su intento de conciliar los resultados con las observaciones, pero a pesar del fracaso, una cierta articulación de las dos familias habría podido conducir a la Ley de Snell-Descartes.17 Entonces, Kepler ensayó una nueva analogía que lo condujo a un resultado que armonizaba con la tabla de Ptolomeo para ángulos menores.18 La ley propuesta por Kepler puede formularse en los siguientes términos, los cuales acogen la nomenclatura moderna: i-r = ki sec r.19 No es complicado demostrar, usando expansiones de Taylor, que si el ángulo de incidencia es pequeño, la ley coincide con las expectativas de Snell-Descartes.20 Una distinción en los componentes que conducen a la ley de Kepler lleva al filósofo a suponer que con ángulos de incidencia aún menores pueda esperarse que el ángulo de refracción sea directamente proporcional al ángulo de incidencia.21
A partir de los teoremas mencionados, junto con una gran destreza matemática, Kepler logró llegar a uno de los resultados fundamentales para que el símil ojo-cámara obscura llegara a ser considerado prometedor. Me gustaría llamarlo el teorema fundamental de la óptica.22 Sigamos la primera presentación del teorema:
Yo digo que esta pintura [la que se recoge en la retina] consiste de tantos pares de conos [conorum] como puntos hay en el objeto visto. Estos pares tienen la misma base, la amplitud del humor cristalino, o una pequeña parte de él, así que uno de los conos está dispuesto con su vértice en el punto visto y su base en el cristalino (aunque esta resulte ligeramente afectada por la refracción que se da en la córnea), mientras el otro tiene la base en el cristalino, semejante al primer cono, y el vértice en algún punto de la pintura, alcanza la superficie de la retina, después de someterse a la refracción originada desde el cristalino. (Paralipomena 182; GM 153)
Gracias a un diagrama el sentido del teorema se hará más claro (figura 5). Sea A un punto radiante (que puede considerarse parte constitutiva de un objeto). Imaginemos que hay una recta que contiene al centro del globo ocular, al punto A y algún punto en la entrada del nervio óptico. A radia luz en todas las direcciones, en particular, en la pirámide que tiene como base el fragmento BB que se acerca a los bordes de la pupila. Entre la córnea y la cara anterior del cristalino, la luz sufre una primera refracción. En este trayecto, muy corto, los rayos se pliegan levemente hacia la normal. Así, los rayos externos pueden desplazarse de B a C, tras lo cual, al ingresar al siguiente humor, sufren una refracción más intensa. Estos rayos se acercan mutuamente hasta reducirse a una región más estrecha DD en la parte posterior del cristalino. Dado que el humor vítreo es menos denso que el humor cristalino, se provoca una nueva refracción que acerca los rayos hacia la tangente a la cara posterior del cristalino en los puntos de incidencia. Los nuevos rayos convergen hacia el eje del globo ocular, reuniéndose en el punto E, sobre la retina.

Entre otros factores, la claridad de la visión depende de las condiciones que optimizan, lo cual permite que la gran mayoría de rayos que provienen de un mismo punto puedan reunirse en uno solo sobre la retina. Esta exigencia demanda cuatro condiciones importantes: (I) la entrada al globo ocular debe ser muy pequeña para evitar que incidan rayos con diferencias angulares elevadas; (II) es preferible que el punto visible se encuentre en las vecindades del eje del globo ocular para evitar que la convergencia en el interior ocurra lejos de la entrada del nervio óptico;23 (III) es deseable que el objeto no se encuentre muy cerca al observador, evitando ángulos de incidencia amplios y facilitando la acomodación del cristalino, así se cumplen las demandas impuestas en los teoremas matemáticos; (IV) se requiere que el punto E no sea afectado por información luminosa intensa proveniente de otro punto diferente a A, condición garantizada por el hecho de que el ojo funcione como una cámara obscura.
En el Tratado de la Pintura hay pocas entradas que se ocupen de la refracción de la luz (cf TP §§74-75, §130) y ninguna de ellas va más allá de una descripción escueta de la existencia del fenómeno. A pesar de esta ausencia, en la próxima sección comentaremos los interesantes dibujos de Leonardo que conducen a postular dos inversiones en la cámara ocular antes de la instauración de una pintura en la retina.
Protagonismo de la retina
Contar con un protocolo para el seguimiento de la formación de imágenes a través de agujeros y tener a la mano el teorema fundamental de la óptica, fueron condiciones para que Kepler sugiriera el protagonismo de la retina en la recepción de especies (formas) visuales. El siguiente desideratum resume la contribución más importante del autor:
Digo que la visión ocurre cuando una imagen (idolum) del hemisferio completo del mundo que está ante el ojo [...] se establece en la pared blanca, teñida de rojo, de la superficie cóncava de la retina. ¿Cómo es que la imagen o pintura se une con los espíritus visuales que residen en la retina y en el nervio, bien sea si este es llevado al interior por los espíritus a las cavernas del cerebro o al tribunal del alma o a la facultad visual; o bien si la facultad visual, como un magistrado enviado por el alma, descendiendo de los cuarteles del cerebro por fuera del nervio visual mismo y la retina, como en las bajas cortes, pueda salir al encuentro de la imagen? Todo ello, digo yo, lo dejo a la consideración de los filósofos naturales (Physicist). (Paralipomena 180; GM 151)
Kepler establece las condiciones iniciales que tendrían que darse para que podamos hablar del inicio de un proceso de percepción: una copia24 del mundo exterior debe instalarse en la retina. El par de pirámides visuales nos permite anticipar las condiciones bajo las cuales una fuente de luz externa deja una huella física en la pared cóncava del fondo del globo ocular (retina). Kepler prefiere reservar el vocablo "pintura" para referirse a la recepción de un simulacro en la retina y el vocablo "imagen" para referirse a la contemplación que lleva a cabo el sensorio. "Dado que hasta el momento una imagen (Imago) ha sido un ser de razón (Ens rationale), ahora permitamos que las figuras que realmente existen de objetos sobre un papel o sobre otra superficie sean llamadas pinturas (picturae)" (Paralipomena 210; GM 174).25
El sensorio tiene como referencia lo que ocurre en la retina, afectación en la que se basa para organizar lo que aprehende como simulacro del mundo. Lo que ocurra del otro lado de la retina es algo que debe generar interés entre los filósofos naturales. Bien sea que ellos asuman una forma de intramisionismo mental (los espíritus visuales reciben tales simulacros y los llevan a las cavidades internas del cerebro) o una forma de extramisionismo (la facultad visual asentada en el alma envía sus emisarios hasta hacer contacto directo con el simulacro en la retina).
Kepler aclara, teniendo en cuenta el nuevo horizonte de explicación, que:
La visión entonces ocurre a través de una pintura [ picturam rei] del objeto visible en la pared blanca y cóncava de la retina; y aquellas cosas que están afuera a la derecha son pintadas al lado izquierdo de la pared, las del lado izquierdo a la derecha, las de lo alto en la base, las de la base en lo alto. Más aún, las cosas verdes son pintadas de color verde, y en general cualquier objeto es pintado en su propio color. (Paralipomena 181; GM 153)
¿Le asignó Leonardo a la retina el protagonismo que se requería para concebir a profundidad el símil de la cámara obscura? Las observaciones de Leonardo acerca del funcionamiento del ojo tienen más el aspecto de hipótesis de trabajo transitorias que el de propuestas definitivas. De hecho, algunas de las observaciones se contradicen entre sí. Una buena cantidad de dichas anotaciones están recogidas en lo que parecía ser un tratado del ojo. Este tratado se conoce como el Manuscrito D y se encuentra en la Bibliotheque de l'Institut de France.26
Leonardo citó en MD un experimento que, a su juicio, conducía a poner en evidencia la existencia de una primera inversión de las imágenes en las vecindades de la pupila (cf §§12, 32-33). La prosa con la que se presenta el experimento es confusa, no así el dibujo que ilustra la situación (figura 6). Leonardo pide que ubiquemos un objeto (TC)27 frente a un obstáculo rs con un pequeño agujero q. Entre el ojo y el obstáculo, Leonardo pide disponer de una aguja que podemos desplazar bien sea hacia arriba o hacia abajo. Entonces, Leonardo pretende confirmar experimentalmente el resultado que se advierte en TP §71 (cf MD §78), el cual se anticipó en la obra de Alhacén. Dice Leonardo:
Al descender con la aguja al frente del agujero, ante la pupila, usted advertirá lo contrario tras el agujero, pues si usted desciende a lo largo de los extremos de las rectas en a, n, m, o, p, ante el agujero, usted asciende a lo largo de los extremos de las rectas en c, y, x, v, t más allá del agujero. (MD §12)
El experimento que cita Leonardo no aporta nada diferente al que sugirió Alhacén. Lo interesante ahora es que, si la pupila se asimila al agujero de una cámara obscura, debemos aceptar que las imágenes inmediatamente detrás de la pupila se invierten.

Agrega Leonardo:
[...] si en un nuevo experimento removemos la intervención del agujero q, la parte superior del simulacro t, que primero fue recibida en el punto p de la pupila [A]p, se estampará en A así como en p porque cada punto de la pupila ve todo el simulacro dc. (MD §14)
En principio, no queda claro si Leonardo considera la pupila como un agujero o como una capa receptora. En caso de que sea lo primero, el comentario sugiere que, de no existir dicho agujero, el ojo recibiría simulacros de t en todos los puntos de la capa receptora. Dado que recibimos de t uno, y no múltiples simulacros, la pupila opera como un agujero que evita confusiones. Y dado también que, al suprimir el agujero del experimento, observamos a t en la parte superior -no en la inferior- concluimos que debe existir una segunda inversión que restaura el orden.
¿A qué se refiere Leonardo cuando habla de la pupila? No hay una respuesta unívoca, lo que dificulta seguir el texto. En el parágrafo 2 de MD Leonardo pregunta por qué la naturaleza quiso que la pupila fuese convexa, respondiendo que "la naturaleza quiso que la superficie de la córnea del ojo fuese convexa para que los objetos en derredor pudieran imprimir sus semejanzas (similitudine) sobre el ojo en un ángulo mayor que el que sería posible de ser una superficie plana" (MD §2). Aquí Leonardo cambió el término pupila, usado en la formulación de la pregunta, por el término córnea. Así, la pupila (córnea) es la superficie que separa el mundo externo del mundo interno. Leonardo exhibe en forma más clara su analogía en el parágrafo 6 (también MD §65):
Los vidrios de los anteojos nos muestran cómo los simulacros de los objetos se detienen en las superficies de tales lentes y luego se doblan para penetrar desde esta superficie a la superficie del ojo, desde la cual es posible para el ojo observar la forma de los objetos antes mencionados. La prueba de ello reside en que esta superficie es la frontera común entre el aire y el ojo y separa el humor vítreo del aire. (MD §6)
Leonardo asume, erróneamente, que inmediatamente detrás de la pupila (córnea) se encuentra el humor vítreo. En otro pasaje se sugiere que detrás de la córnea se encuentra un pequeño agujero para que, a continuación, las imágenes se recojan en la pupila en forma invertida. De ser así, la córnea separa al ojo del mundo exterior, protege un pequeño agujero al que le sigue la pupila o el lugar en donde se recogen las especies de los objetos. Veamos partes del pasaje:
¿Cómo es que las especies de cualquier objeto, que pasan a través de una pequeña abertura del ojo, se imprimen ellas mismas sobre la pupila en forma invertida y el sentido común las ve al derecho? La pupila del ojo que recibe las especies de los cuerpos situados más allá de un pequeño agujero a través del cual el ojo está mirando, siempre las recibe invertidas y aun así la virtud visual siempre las ve al derecho tal y como realmente se encuentran. (MD §9)
Detrás del agujero del ojo se encuentra un pequeño espacio, protegido por la córnea, que hace las veces de un vestíbulo a través del cual se reciben finalmente las especies en la pupila (ahora parte anterior del cristalino). El dibujo aclara el panorama (figura 7): mb es el objeto, p el pequeño agujero del ojo físico -el agujero que separa el mundo físico exterior del nuevo observador, que espera detrás del ojo.

Bruce Eastwood notó que los intentos de Leonardo por defender una doble inversión tienen un aire de familia con un dibujo incrustado por un glosador anónimo de la obra de Alhacén. Este diagrama apócrifo se introdujo en uno de los manuscritos que reposa en Oxford. El dibujo (figura 8) está acompañado de la siguiente glosa:

Una demostración de que las formas vistas no alcanzan la juntura del nervio óptico siguiendo la extensión del cono de líneas radiales, que llega al centro del ojo, sino que estas son refractadas y las formas son desviadas en la superficie anterior del humor vítreo para que así estas formas arriben al ultimum sentiens de acuerdo con su verdadero ser. (1967 432)
¿Cómo puede el sensorio percibir al derecho, si las primeras especies aparecen invertidas? Leonardo cree que antes de que las especies sean aprehendidas por el sensorio debe existir una segunda inversión que pone las cosas en su lugar. ¿Dónde ocurre esta segunda inversión? Leonardo tiene clara la tarea, sabe a dónde debe llegar, mas no tiene claro el camino para lograrlo; esto hace que sus propuestas sean exploraciones tentativas. Ninguna de ellas encaja en una robusta teoría general de la percepción, pues las referencias a múltiples refracciones no tienen un claro soporte en una teoría de la refracción. La prosa que acompaña a dichas hipótesis también es imprecisa, aunque los dibujos suplen la falta de claridad de los escritos. Presentaré, en doble columna, varios de estos intentos. A la izquierda transcribo los dibujos y a la derecha presento una descripción, bien sea de Leonardo o personal, de estos. El balance no resulta muy esperanzador: Leonardo quiere invertir nuevamente la imagen y no sabe con precisión cómo ni dónde lograrlo.

Con alguna frecuencia, Leonardo intenta corregir los dibujos para que se ajusten a lo que sus expectativas teóricas dictan. Por ejemplo, la representación de un coito incluye dos conductos al pene (figura 16), de los cuales el primero, el inferior, viene del riñón y al pasar por los testículos recoge el esperma, como era de esperarse a partir de las enseñanzas de Galeno. El superior, por otro lado, conduce a la espina dorsal a través de la cual se insufla el alma al embrión, como es de esperar de las enseñanzas de Hipócrates. Como queda claro a partir del dibujo, Leonardo no está presentando lo que está observando en una disección, está bibujando, más bien, lo que le imponen sus expectativas teóricas.

En otro pasaje, Leonardo ofrece una descripción que no presupone doble inversión. El artista florentino asume que detrás de la pupila se encuentra el humor cristalino, adscribiéndole protagonismo al rayo que ingresa perpendicularmente por el centro de la pupila y que se dirige al centro de la cavidad ocular.
Supongamos que la esfera aquí dibujada es la esfera del ojo [figura 17], que la parte menor de la esfera, determinada por la línea st, es la abertura [luce] y que todos los objetos reflejados en el centro de tal abertura pasan, una vez cruzan la pupila (popille), a través del humor cristalino, el cual no interfiere las cosas vistas en la pupila. Tan pronto la pupila recibe los objetos, por medio de la luz, inmediatamente los transmite al intelecto a través de la línea ab. Y has de saber que la pupila no transmite con nitidez cosa alguna al intelecto o sentido común, sino cuando los objetos se le presenten por medio de la luz que sigue el trayecto ab; como es el caso de la línea ca. Por el contrario, aunque las líneas mn y fg pueden ser vistas por la pupila no pueden serlo en forma distinta por cuanto no coinciden con la dirección ab. Prueba de ello es que si el ojo pretendiera dar cuenta de las letras ubicadas al frente de él, debería desplazarse de una a otra, porque no puede distinguirlas a menos que residan en la línea ab; tal como lo hace la línea ac. Todos los objetos visibles llegan al ojo por las líneas de una pirámide cuyo vértice finaliza en el centro de la pupila. (TP §51)

Un pasaje más en el que Leonardo insiste en la idea (figura 18):
Solamente una línea de la imagen (spetie), de todas las que penetran el órgano de la visión, carece de inversión alguna; y esta carece de dimensiones sensibles toda vez que se trata de una línea matemática originada a partir de un punto matemático que carece de dimensiones. (TP §79)

Leonardo quería explicar cómo la virtud visual emplea el ojo como instrumento, por lo que imaginaba una gran esfera de cristal a la que cortamos una de sus secciones, acomodando allí la cara de un observador que procede a contemplar el mundo al interponer la esfera (figura 19). En el sector que se opone a la sección recortada, Leonardo imagina un agujero. En el diseño, introduce otra esfera de vidrio concéntrica y de diámetro menor. La cavidad que resulta entre las dos esferas se llena con un tibio líquido. Un sujeto acomoda su cara en la entrada superior y la sumerge levemente en el líquido, concentrándose en la imagen que contempla en la cara posterior de la esfera interior. La descripción del experimento no es importante por lo que pueda resultar, sino porque exhibe el supuesto metodológico central en el bosquejo teórico del artista, a saber: percibir es contemplar una imagen que el ojo, como instrumento, prepara para un segundo observador. Esta imagen es una copia reducida e isomórfica del objeto que envía sus especies desde el exterior. Del dibujo no resulta claro si Leonardo espera una o dos inversiones: el punto s, a la derecha, envía sus especies al ojo, las cuales penetran, sin cruzarse, con las especies que vienen de t. Estas se cruzan en el interior del modelo de cristalino en r, produciendo la copia invertida op. El bello dibujo de Leonardo sugiere la presencia de un segundo observador que se vale de un dispositivo físico.

Conclusiones
Al finalizar el parágrafo que parece evocar el experimento de Alhacén (TP §71; MD §78), y que citamos unas páginas atrás, Leonardo le dice al lector que el interior del ojo funciona de una manera similar a la cámara obscura descrita. ¿Bastan pasajes como este para adscribir la primacía del símil a Leonardo? La respuesta puede ser afirmativa en un sentido muy superficial. Como hemos visto a lo largo del artículo, el símil en propiedad demanda que se resuelvan tres problemas complejos, los cuales fueron resueltos, aunque con limitaciones, por Johannes Kepler. Si un objeto luminoso se encuentra frente a una cámara con un pequeño agujero, podemos esperar la formación de una imagen recogida en una pantalla ubicada en la parte posterior de la cámara y a una gran distancia comparada con el tamaño del agujero. Esta imagen se constituye a partir de un gradiente de iluminaciones en el que se puede perfilar un bosquejo de la cara frontal del objeto en posición invertida, rodeado de una cantidad inmensa de franjas de penumbra que forman pequeñas imágenes del agujero bordeando la gran imagen del objeto. Si este se aleja de la cámara, la presencia de las zonas de penumbra disminuye. Si tal distancia llega a ser muy grande en comparación con el tamaño del agujero, la penumbra prácticamente desaparece para que brille en la obscuridad una imagen invertida del objeto. Si en la posición del agujero se ubica una lente esférica, lo suficientemente flexible como para provocar alteraciones en la curvatura interior, se puede lograr que, siempre que la luz ingrese con ángulos pequeños, cada haz de luz que proviene de cada punto de la cara visible del objeto se concentre nuevamente en la pantalla posterior inmóvil. Al iterar el proceso con todos los puntos de la cara visible se obtiene un registro pictórico invertido del objeto. Si se obtienen las condiciones óptimas de ajuste, tal registro no contará con penumbras en derredor.
Leonardo no concibió una descripción completa del funcionamiento del pretendido modelo del ojo, ni resolvió cabalmente el problema de los agujeros; tampoco contaba con una ley de la refracción que le ayudara a advertir la funcionalidad del lente en el agujero y, preocupado por la posible inversión de las imágenes en la retina, hizo todo lo posible por introducir una segunda inversión. Aún si quisiéramos darle crédito por una idea seminal, apenas en su formación muy embrionaria, tendríamos que trasladar la paternidad a autores que le antecedieron y que se limitó a parafrasear o copiar.
Bibliografía
Ackerman, J. "Leonardo's Eye." Journal of the Warburg and Courtauld Institutes 41(1978): 108-146.
Alhacén. "De Aspectibus [Aspectibus]. Alhacen's Theory of Visual Perception. Ed. Mark Smith. Philadelphia: American Philosophical Society, 2001. 1-816.
Aristóteles. Problemas [prob]. Trad. Ester Sánchez Millán. Madrid: Gredos, 2004.
Bacon, R. "De multiplicatione specierum." Roger Bacon's Philosophy of Nature. Ed. David. Lindberg. South Bend: St. Augustine's Press, 1998. 1-269.
Buchdahl, G. "Methodological Aspects of Kepler's Theory of Refraction." Studies in History and Philosophy of Sciences 3.3 (1972): 265-298.
Cardona, C. "Kepler: analogies in the search for the law of refraction." Studies in History and Philosophy of Science 59 (2016): 22-35. https://doi.org/10.1016/j.shpsa.2016.05.004
Cardona, C. La pirámide visual: evolución de un instrumento conceptual. Bogotá: Editorial Universidad del Rosario, en prensa.
Cardona, C. y Gutiérrez, J. "The law of refraction and Kepler's heuristic." Archive for History of Exact Sciences 74 (2020): 45-75. https://doi.org/10.1007/s00407-019-00236-w
da Vinci, L. "Manuscrito D." [MD]. Donald Sanderson, Leonardo da Vinci on the Eye: The MS D in The Biblioteque de l'Institut de France, Paris Translated into English and Annotated with a Study of Leonardo's Theories of Optics. Tesis doctoral. Los Ángeles: Universidad de California, 1968. 17-93.
da Vinci, L. "Trattato della Pittura." [TP]. The Literary Works of Leonardo da Vinci. Vol. 2. Ed. and trans. Jean Paul Richter. Nueva York: Phaidon Publishers, 1970a.
da Vinci, L "Notebooks." [Notebooks].The Notebooks of Leonardo da Vinci. Vol. 2. Ed. Jean Paul Richter. New York: Dover Publications, 1970b.
da Vinci, L. "Dibujos anatómicos." [DA]. Leonardo on the Human Body. Ed. Henry Chuman. Trad. Charles O'Malley. New York: Dover Publications , 1983.
Durero, A. Unterweisungder Messung. Munchen: Wiesbaden Dr. Martin Sändig OHG, 1970.
Eastwood, B. "'Quantitative' Law of Refraction: A Chapter in the History of Non-experimental Science." Journal of the History of Ideas 28.3 (1967): 403-414.
Gibson, J. The Ecological Approach to Visual Perception. New York: Psychology Press, 2015.
Kemp, M. "Leonardo and the Visual Pyramid." Journal of the Warburg and Courtauld Institutes 40 (1977): 128-149.
Kepler, J. Optics: Paralipomena to Witelo & Optical Part of Astronomy [Paralipomena]. Trans. William Donahue. Santa Fe: Green Lion Press, 2000.
Kemp, M. Leonardo da Vinci. Oxford: Oxford University Press, 2006.
Kepler, J. "Ad Vitellionem Paralipomena Quibus Astronomiae pars Optica traditur." Gesammelte Werke [GW]. Vol 11. Ed. and comm. Franz Hammer. München: C. H. Beck'sche Verlagsbuchhandlung, 1939.
Koyré, A. "Leonardo da Vinci, 500 años después." Estudios de historia del pensamiento científico. Trads. Encarnación Pérez y Eduardo Bustos. Madrid: Siglo XXI editores, 1977. 87-102.
Lindberg, D., ed. and trans. John Pecham and the Science of Optics, Perspectiva Communis. Madison: The University of Wisconsin Press, 1970.
Malebranche, N. Acerca de la investigación de la verdad. Trad. Javier Barinaga-Rementería. Salamanca: Ediciones Sígueme, 2009.
Noë, A. Action in Perception. Cambridge: The MIT Press, 2006.
Pecham, J. "Perspectiva communis." John Pecham and the Science of Optics. Ed. David Lindberg. Madison: The University of Wisconsin Press , 1970. 59-271.
Ptolomeo. "Óptics." Ptolemy's Theory of Visual Perception. Ed. Mark Smith. Philadelphia: The American Philosophical Society, 1996. 67-261.
Raynaud, D. "La perspective aérienne de Léonard de Vinci et ses origines dans l'optique d'Ibn Al-Haytham (De Aspectibus, III, 7)." Arabic Sciences and Philosophy 19 (2009): 225-246.
Raynaud, D. A Critical Edition of Ibn al-Haytham's On the Shape of the Eclipse. Cham: Springer Verlag, 2016.
Risner, F., ed. Opticae thesaurus Alhazeni Arabis libri septem... Item Vitellonis Thuringopoloni libri decem. Basile: Per episcopios, 1572.
Ronchi, V. "L'Optique de Léonard De Vinci." Léonard De Vinci et L'expérience Scientifiqueau XVIeSiècle. Paris: Centre National de la Recherche Scientifique; Presees Universitaires de France, 1953. 115-120.
Sabra, A. "Alhazen's Optics in Europe: Some Notes on What It said and What It Did Not Say." Inside the Camera Obscura-Optics and Art under the Spell of the Projected Image. Wolfgang Lefèvre. Berlin: Max-Planck-Intitut für Wissenschafts Geschichte, 2007. 53-57.
von Helmholtz, H. Treatise on Physiological Optics. Vol. 3. Trans. James Southhall. Mineola: Dover Publications, 2005.
White, M. Leonardo, el primer científico. Trad. Víctor Pozanco. Barcelona: Plaza y Janes, 2001.
Witelo, E. "Perspectivae (I-X)." Opticae thesaurus Alhazeni Arabis libri septem... Item Vitellonis Thuringopoloni libri decem. Ed. Friedrich Risner. Basile: Per episcopios , 1572. 1-474.
Notas
Cómo citar este artículo: