Resumen: En México la temporada alta de producción de aguacate ‘Hass’ es de octubre a febrero, la media en marzo a mayo y la baja de junio a septiembre. El cultivar Carmen Hass, proveniente de una floración “fuera de temporada”, se cosecha en los meses de junio y julio, lo que le permite encontrar un mercado favorable para su comercialización. ‘Carmen Hass’ es fenotípicamente similar a ‘Hass’; sin embargo, su comportamiento postcosecha es aún desconocido. El objetivo de este estudio fue, en base a la producción de etileno y algunos de los cambios asociados a la maduración, determinar diferencias en la calidad y vida de anaquel de los cultivares de aguacate Hass y Carmen Hass. En este orden, se cosecharon frutos con 24.0 y 24.3 % de MS y se almacenaron a 20±2º C; periódicamente se evaluaron las variables: producción de etileno, pérdidas de peso, firmeza de la pulpa, color externo, azúcares totales y fenoles totales. Los frutos de aguacate ‘Carmen Hass’ presentaron un patrón de etileno con menor producción y más adelantado, cambios del color externo más acelerados y significativamente menor contenido de azúcares y fenoles totales; lo cual se manifestó en un sabor menos intenso de los frutos y vida de anaquel más corta.
Palabras clave:Persea americanaPersea americana,color externocolor externo,firmeza pulpafirmeza pulpa,azúcaresazúcares,fenolesfenoles.
Abstract: In Mexico the high production season ‘Hass’ avocado is from October to February, the average in March to May and low from June to September. Carmen Hass cultivar, flowering from “off-season” is harvested in June and July, allowing you to find a favorable market for commercialization. ‘Carmen Hass’ is phenotypically similar to ‘Hass’; however, postharvest behavior is still unknown. The aim of this study was, based on the production of ethylene and some of the changes associated with ripening, determine differences in the quality and shelf life of avocado cultivars Carmen Hass and Hass. In this order, fruits with 24.0 and 24.3% of dry matter were harvested and stored at 20 ±2 °C; the variables are evaluated periodically: ethylene production, weight loss, pulp firmness, external color, total sugars and total phenols. ‘Carmen Hass’ avocado fruits showed a pattern of ethylene with lower production and more advanced, changes more rapid in the external color and significantly lower sugar content and total phenols; which manifested itself in a less intense fruit and shorter shelf life of flavor.
Keywords: Persea americana, external color, pulp firmness, sugars, phenols.
PRODUCCIÓN DE ETILENO Y CAMBIOS ASOCIADOS A LA MADURACIÓN DE FRUTOS DE AGUACATE ‘HASS’ Y ‘CARMEN HASS’
ETHYLENE PRODUCTION AND CHANGES ASSOCIATED WITH THE RIPENING OF AVOCADO FRUITS ‘HASS’ AND ‘CARMEN HASS’
México es el principal productor de aguacate a nivel mundial con un volumen que supera los 1.3 millones de toneladas, ubicándose las exportaciones en un 27% del total de la producción (FAOSTAT, 2013); básicamente la producción y exportación se basa en el cultivar Hass, el que de acuerdo con los cuatro flujos de floración que se presenta en algunas regiones (loca: agosto-septiembre, avanzada: octubre-noviembre, normal: diciembre-enero y marceña: marzo-mayo), la temporada alta de cosecha se ubica entre los meses de octubre a febrero con frutos provenientes de los tipos de floración normal y avanzada; la temporada media ocurre de marzo a mayo (floración marceña) y finalmente, en los meses de junio a septiembre se presenta la temporada baja resultante principalmente de la floración loca (Salazar-García et al., 2005; Salazar-García et al., 2007; Rocha-Arroyo et al. 2011). Como producto de una floración considerada como fuera de temporada (agosto-septiembre), no asociada con la floración loca, se ha obtenido el cultivar Carmen Hass, el cual fenotípicamente es similar a ‘Hass’ y cuya cosecha se presenta en los meses de junio y julio, es decir, durante el periodo de baja producción de este último, con la consecuente ventaja de encontrar un mercado favorable en cuanto a demanda y precios (Illesy et al., 2011). De acuerdo con Campos et al. (2011), las características físico-químicas y organolépticas de los frutos de ‘Carmen Hass’ son similares al cultivar Hass, por lo que actualmente las operaciones de cosecha, empaque y condiciones de transporte se aplican con los criterios que para este último; sin embargo, resulta necesario entender el comportamiento fisiológico relacionado con la maduración del cultivar Carmen Hass, con el fin de definir su respuesta a la aplicación de tecnologías postcosecha para adelantar y/o retrasar la maduración. El objetivo de este estudio fue, en base a la producción de etileno y algunos de los cambios asociados a la maduración, determinar diferencias en la calidad y vida de anaquel de los cultivares de aguacate Hass y Carmen Hass.
Se cosecharon frutos de aguacate ‘Hass’ y ‘Carmen Hass’ con un contenido de materia seca de 24.0 y 24.3 %, respectivamente, desarrollados en la región productora de Salvador Escalante, Michoacán. Previo al establecimiento del experimento, los frutos se lavaron y se eliminaron aquellos que presentaron daños externos; se seleccionó una muestra al azar de 100 frutos de cada cultivar, los cuales, un día después de cosecha, se almacenaron a 20±2 °C y 55±5 % de humedad relativa, hasta alcanzar la madurez comestible. Las variables evaluadas fueron: Patrón de maduración, producción de etileno, pérdidas de peso, color externo, firmeza de la pulpa, azúcares totales y fenoles totales; las medidas del patrón de maduración se realizó diariamente desde el momento de cosecha, para el resto de las variables fue cada dos días a partir del inicio del almacenamiento. El patrón de maduración se determinó en una muestra de 20 frutos, de acuerdo a cambios en la textura al tacto, utilizando una escala preestablecida compuesta de tres estados: Duros (frutos en madurez fisiológica), Cambiantes (en proceso de ablandamiento) y Suaves (madurez de consumo). Etileno se cuantificó por el método de espacio de cabeza descrito por Saltveit y Sharaf (1992) y para lo cual en un total de cinco recipiente con volumen conocido se colocaron, en cada uno, dos frutos previamente pesados, estos se cerraron herméticamente durante 1 h, tras de lo cual se tomó una muestra de 1 mL de gas del espacio de cabeza y se inyectó a un cromatógrafo de gases Hewlett Packar (modelo 5890 serie II), con una columna tipo abierta con empaque de capa porosa de sílica, conectado a un detector de ionización de flama (FID), las condiciones de operación fueron: Columna = 150 °C, FID = 180 °C y horno 80 ºC; las determinaciones se realizaron cada tercer día hasta alcanzar la madurez de consumo y con base en la utilización de un estándar (INFRA® 20 µL L-1) se calculó la producción de etileno reportándose como µL C2H4 kg-1h-1. Las pérdidas de peso se cuantificaron obteniendo, cada tercer día el peso de 10 frutos, de manera individual, mediante una balanza digital ALSEP EY-2200; con la diferencia en peso, respecto al valor inicial, se determinó el porciento (%) de pérdidas tras cada fecha de evaluación. La firmeza se evaluó en un total de cinco frutos, utilizando un texturómetro chantillón, Wagner Force Five modelo FDV-30, con puntal cónico de 7 mm, retirando la cáscara de la zona ecuatorial, midiendo la fuerza necesaria para penetrar la pulpa, los datos se reportaron en Newtons (N). Para evaluar los cambios en el color externo, a cada uno, de un total de 10 frutos se les se les realizaron medidas en la zona ecuatorial y en dos puntos opuestos , utilizando un colorímetro de reflexión Hunter Lab, Reston Virginia modelo D25, aplicando el sistema CIELab, para determinar los valores triestímulo en el espacio L*, a* y b*; dichos valores se usaron para calcular el índice de color (IC= -10a*b*/L*) propuesto por Zarazúa- Escobar et al. (2005). El contenido de azúcares totales se realizó por extracción alcohólica y se cuantificó por el método de Antrona (Witham, 1971), obteniendo para los cálculos una curva estándar, expresando los resultados en mg 100 g-1 de glucosa. Fenoles totales se determinó de acuerdo al método descrito por Waterman y Mole (1994), realizando extracción con metanol y la cuantificación mediante reacción con el reactivo Folin Ciocalteu; los datos se reportaron como mg de ácido gálico 100 g-1 (mg de AG 100 g-1). Estas dos últimas variables se evaluaron en un total de cinco frutos por separado.
Con los datos obtenidos del patrón de maduración (días para alcanzar la madurez de consumo), se calculó una media ponderada; para las demás variables se aplicó un análisis longitudinal de datos, donde se compararon los perfiles o curvas generadas realizando el ajuste de Bonferroni (α=0.001) para detectar diferencias significativas entre cultivares; asimismo se calculó la media y desviación estándar. Para todas las variables se consideró como unidad experimental un fruto (a excepción de etileno que fueron dos). Para los cálculos se usó el paquete estadístico SAS System for Windows 9.0 (SAS, 2002).
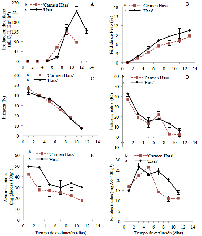
El patrón de maduración de los frutos de los cultivares ‘Carmen Hass’ y ‘Hass’ madurados directamente al ambiente, 20 ± 2°C, indicó que los frutos del cv. Hass alcanzaron la madurez de consumo (textura suave al tacto) en 11.4 días, en tanto que en el cv. Carmen Hass se requirieron 10.5 días. De acuerdo con Arpaia (1993), el tiempo para maduración varía en función del contenido de materia seca, requiriendo frutos de aguacate ‘Hass’ de 12 a 12.8 días cuando se cosechan con 25.5 y 22.8% de materia seca, respectivamente. Los resultados obtenidos evidencian un menor tiempo para maduración de los frutos del cultivar Carmen Hass’.
En ambos cultivares el inicio de la elevación de la producción de etileno se presentó a partir del quinto día de almacenamiento, la máxima producción se alcanzó a los 9 días en ‘Carmen Hass’ con 138.26 µL C2H4 kg-1 h-1 y en ‘Hass’a los 11 días con 229.9 µL C2H4 kg-1h-1); los perfiles obtenidos mostraron diferencias significativas entre ambos cultivares (Figura 1- A). Este comportamiento coincide con lo reportado por Lallum et al. (2004) quienes reportan que frutos de aguacate cv. Hass son insensibles a etileno durante las primeras 24- 72 horas después de cosecha, posteriormente la sensibilidad de los tejidos aumenta estimulando la biosíntesis de esta fitohormona. Por lo anterior, la producción de etileno es menor y más adelantada en el cv. Carmen Hass, lo que resulta importante considerar con fines de cálculo en tecnologías basadas en la absorción de etileno para control de la maduración, así como para compatibilidad de productos.
A la temperatura (22±2ºC) y humedad relativa (55±5ºC) de almacenamiento, los frutos de ambos cultivares incrementaron las pérdidas de peso, alcanzando a la madurez de consumo un total de 8.6% en ‘Carmen Hass’ y 10.4 % ‘Hass’, sin diferencias significativas (Figura 1-B); las menores pérdidas de ‘Carmen Hass’ estuvieron relacionadas con el menor tiempo requerido para maduración.
Durante la maduración la firmeza de la pulpa disminuyó desde 46.6 N para ‘Carmen Hass’ y 43.0 N para ‘Hass’ al inicio del almacenamiento, hasta 7.6 y 7.2 N, respectivamente, al alcanzar la madurez de consumo, no mostrando los perfiles diferencias significativas entre cultivares (Figura 1-C). La tasa de pérdidas de firmeza al momento de la elevación de la producción de etileno (5 días de almacenamiento) fue de 27.9 % para ‘Carmen Hass’ y 14.7 % en ‘Hass’, alcanzando a la madurez de consumo pérdidas de 84 y 83 %, respectivamente; esta respuesta manifiesta pérdidas de firmeza más aceleradas en el cultivar Carmen Hass, incluso desde las primeras etapas del proceso de maduración. De acuerdo con Blakey et al. (2010) el patrón de ablandamiento es dependiente de los diversos cambios involucrados en el metabolismo, que en el caso de frutos de aguacate requiere de una alta cantidad de energía, lo cual puede variar con el cultivar, tecnología de producción y condiciones de almacenamiento.
Los cambios en el color externo revelaron que en ambos cultivares, el perfil del índice de color (IC) experimentó una disminución significativa, desde el inicio del almacenamiento hasta la madurez de consumo, de 37.06 a 2.17 en ‘Carmen Hass’ y de 42.81 a 6.24 en ‘Hass’, mostrando el primero una mayor velocidad de cambio en color (Figura 1-D). En frutos de aguacate ‘Hass’, el cambio típico en el color externo durante la maduración es de verde a morado y finalmente a negro, estando este asociado a la disminución de clorofila y de manera concomitante al aumento del compuesto 3-O- glucósido de cianidina (Cox et al., 2004), cambio que puede asumirse similar en el cultivar Carmen Hass.
El perfil de cambios en la concentración de azúcares totales durante la maduración, mostró una disminución, con diferencias significativas entre cultivares, presentando ‘Hass’ la mayor concentración. (Figura 1-E). Al respecto, en ‘Carmen Hass’ los azúcares totales disminuyeron desde 42.02 a 17.61 mg 100g-1 tras 11 días de almacenamiento a 20±2º C; por su parte en ‘Hass’ dicha disminución fue de 49.16 a 30.11 mg 100g-1. De acuerdo con Liu et al. (1999), los azúcares totales en pulpa de aguacate ‘Hass’ están compuestos en un 98% por los azúcares solubles: mannoheptulosa, persitol, sacarosa, glucosa y fructosa; asimismo reportan que durante la maduración los azúcares totales declinan, principalmente por la disminución de los dos primeros; los resultados obtenidos sugieren un comportamiento similar del metabolismo de los azúcares totales en los frutos de ambos cultivares, existiendo diferencias sólo en cuanto a sus contenidos.
La concentración de fenoles totales mostró un perfil con diferencias significativas entre cultivares, mostrando ‘Carmen Hass’ un incremento hasta alcanzar un máximo de 26.34 mg AG 100g-1 a los cinco días de maduración, en tanto que en ‘Hass’ la concentración se incrementó manteniendo valores de 22.92 a 26.52 mg AG 100g-1 entre los tres y siete días de maduración, lo que sugiere un metabolismo de compuestos fenólicos diferente entre los dos cultivares (Figura 1-E). De acuerdo con algunos investigadores (Martínez y Whitaker, 1995; Villa-Rodríguez et al., 2011) durante la maduración el contenido de fenoles totales aumenta conforme se eleva la biosíntesis de etileno, comportamiento que no se observó en el presente experimento lo que permite asumir la influencia de otros factores.
Bajo las mismas condiciones de almacenamiento de 20±2ºC y 55±5% de humedad relativa, y similar contenido de materia seca al momento de cosecha, los frutos de aguacate ‘Hass´y ‘Carmen Hass’ presentan diferencias en el comportamiento de diversos cambios asociados a la maduración. Respecto a ‘Hass’, en el cultivar Carmen Hass la aparición del máximo climatérico de etileno es más adelantado y su producción más baja, los cambios en el color externo son más acelerados y menor su contenido de azúcares y fenoles totales; todo lo cual se traduce en un sabor menos intenso de los frutos y vida de anaquel más corta.

