Resumen: Los aceites esenciales de plantas y especias poseen un reconocido efecto antimicrobiano y se los emplea como preservadores naturales de alimentos. El objetivo de este trabajo fue estudiar el efecto de la aplicación de aceite esencial (AE) en tomate fresco cortado almacenado en atmósfera modificada y refrigerado. Se realizaron ensayos con tomates cortados en rodajas (7 mm), colocando 6 rodajas por bandeja y aceites esenciales (AE) de romero o laurel (0, 15, 30, 50 y 100 mL) en un papel de filtro sobre un lateral de la bandeja y se envasaron con film PD 961 (Cryovac®) para almacenarlos a 5°C por 13 d. Los respectivos controles no se envasaron con AE. El AE de romero (30 y 50 mL) y laurel (30 mL) mostraron un menor índice de deterioro respecto de los controles, aunque el más efectivo fue el AE de romero (30 mL). Esta condición se empleó en un segundo ensayo en cual se identificó (por CG-MS) la presencia de los compuestos volátiles α-pineno, canfeno, p-cimeno, 1,8-cineol y L- canfor en el AE de romero empleado. Mientras que, luego de 4 d de almacenamiento, el 1,8-cineol y L-canfor fueron los compuestos mayoritarios en la atmósfera de las bandejas tratadas y los únicos presentes en las rodajas de tomate. Por otro lado, el empleo de AE de romero (30 mL) retrasó el ablandamiento y desarrollo de bacterias, hongos y levaduras. Se aisló un hongo filamentoso y se identificó mediante claves taxonómicas como Aspergillus fumigatus y dos levaduras que se identificaron como Candida guilliermondii y Kloeckera spp. Mediante el kit API® 20C AUX. Se analizaron distintos volúmenes de AE frente a una determinada concentración de microorganismos, hallándose que dichos % de inhibición se incrementaban con la cantidad de AE. Los resultados muestran que el AE de romero ejerce un efecto antimicrobiano en diferentes volúmenes para A. Fumigatus, Candida guilliermondii y Kloeckera spp., y permite incrementar el tiempo de vida útil del tomate fresco cortado almacenado en atmósfera modificada.
Palabras clave:1, 8-cineol1, 8-cineol,L-canforL-canfor,Aspergillus fumigatusAspergillus fumigatus,Candida guilliermondiiCandida guilliermondii,Kloeckera sppKloeckera spp.
Abstract: The essential oil of herbs and spices has an antimicrobial effect and the natural used as food preservatives is recognized. The aim of this work was to study the effect of the application of essential oil (EO) in fresh cut tomato and refrigerated stored in modified atmosphere. Trials with sliced tomatoes (7mm) were performed by placing six slices per tray and essential oils (AE) rosemary or laurel (0, 15, 30, 50 and 100 mL) in a filter paper on one side of the tray and film were packaged with PD 961 (Cryovac®) for storage at 5 ° C for 13 d. Controls were packaged without EO. The rosemary (30 and 50 mL) and laurel EO (30 mL) showed a lower deterioration index compared to the controls, but the most effective was the rosemary EO (30 mL). This condition was used in a second trial where volatile compounds as α-pinene, camphene, p-cymene, 1,8-cineole and L-camphor were identified (by GC-MS) in rosemary EO employed. While, after 4 d of storage, 1,8-cineole and L-camphor were the main compounds in the atmosphere of the treated trays and only ones present in the tomato slices. Furthermore, the use of rosemary EO (30 mL) delayed softening and decay caused by bacteria, fungi and yeasts. Microorganisms were isolated and a filamentous fungus was identified by taxonomic keys as Aspergillus fumigatus and two yeasts were identified as Candida guilliermondii and Kloeckera spp. using the kit API 20C AUX®. Different volumes of EO were analyzed against a concentration of microorganisms, where it was found that inhibition % being increased with the amount of AE . The results show that the AE rosemary exerts an antimicrobial effect on different volumes for A. fumigatus, Candida guilliermondii and Kloeckera spp. , And allows to increase the shelf life of fresh cut tomatoes stored in modified atmosphere.
Keywords: 1, 8-cineole, L-camphor, Aspergillus fumigatus, Candida guilliermondii, Kloeckera spp.
VOLÁTILES DE ACEITE ESENCIAL DE ROMERO LOGRAN UNA MEJOR CALIDAD DE TOMATE FRESCO CORTADO ALMACENADO EN ATMÓSFERA MODIFICADA
VOLATILE OF ROSEMARY ESSENTIAL OIL ACHIEVE A GOOD QUALITY OF FRESH CUT TOMATOES STORED IN MODIFIED ATMOSPHERE
El tomate (Solanum lycopersicum L.) es una planta perteneciente a la familia de las solanáceas (Solanaceae). El fruto de tomate es una baya de pulpa tierna y jugosa. Es un producto muy consumido en la Argentina, principalmente trozado para ensaladas o en forma de rodaja para sándwiches o su empleo en pizzas. La posibilidad de comercializar este producto ya cortado lo clasifica como un producto mínimamente procesado o fresco cortado. Estos productos son conservados y distribuidos en refrigeración, y están listos para ser consumidos crudos sin ningún tipo de operación adicional (Kader, 2002).
Debido a la manipulación durante su procesado los vegetales frescos cortados sufren varios cambios en su estructura y composición, el corte aumenta la superficie de tejido susceptible de contaminación microbiana. Por lo tanto resulta indispensable combinar tecnologías poscosecha con una adecuada refrigeración para extender el período de vida útil para su comercialización. Algunas de estas tecnologías pueden ser atmósfera modificada y aplicación de preservadores químicos.
La demanda de alternativas a los antibióticos y productos químicos en alimentos ha incrementado la investigación sobre los extractos vegetales, especialmente de los aceites esenciales como preservadores de la calidad y antimicrobianos. Los aceites esenciales (AE) están formados por productos orgánicos volátiles insolubles en agua (principalmente terpenos) que existen en diversas partes de las plantas y que son obtenidos a partir de las mismas mediante destilación en corriente de vapor. En particular, en el aceite esencial de romero se han hallado compuestos como: α- y β-pineno, canfeno, p-cimeno, β-felandreno, 1,8-cineol, L- canfor, β-mirceno, entre otros (Turek y Stintzing, 2012).
Es así que en el presente trabajo se estudió el efecto de la aplicación de aceite esencial en forma de vapor sobre la calidad de tomate fresco cortado almacenado en atmósfera modificada y refrigerado. Así mismo se identificaron los volátiles del AE y aislaron e identificaron microorganismos nativos de las rodajas de tomate para finalmente analizar el efecto inhibitorio del AE sobre los mismos.
Se utilizaron tomates (Solanum licopersicum) de la variedad Redondo, los cuales fueron preseleccionados, lavados, sumergidos en NaClO (150 ppm) por 5 min, secados; se cortaron en rodajas de 7 mm.
Se ensayaron AE de laurel y romero. En cada bandeja de telgopor se colocó una tira de papel de filtro, fijada en un lateral, impregnada con distintos volúmenes de AE (0, 15, 30, 50 y 100 uL). Las muestras control no se tratan con AE. Se seleccionó una condición óptima según el menor deterioro observado para, en un segundo ensayo, analizar la composición de volátiles y desarrollo de microorganismos.
Las bandejas con 6 rodajas de tomate y con tira de papel impregnada o no en AE se envasaron con film PD961 (Cryovac®) y se almacenaron a 5 °C durante 16 días.
Se estableció un índice que abarcaba presencia de microorganismos y deterioro general en cada rodaja de tomate, usando una escala de 1 a 5, siendo: 1=sin deterioro, 2=deterioro leve, 3=deterioro moderado, 4=deterioro regular, 5=deterioro severo. Se calculó según la siguiente ecuación

Se analizaron y cuantificaron compuestos volátiles presentes en el AE de romero, rodajas de tomate y en atmósfera de bandejas controles y tratadas, empleando un CG-FID (Agilent Technologies 7890 A), columna HP-5 (30 m, 0.320 mm de ID, 6.25 µm) y tiempo total de corrida de 41 min. La identidad de los picos mayoritarios fue comprobada mediante CG-MS (HP 5890 Series II Plus, detector de espectrometría de masas HP 5972A, columna HP5-MS, (30 m, 0.25 mm, 5 µm) y compuestos patrones. Se inyectaron en cada caso: i) 2 µL de una mezcla de AE de romero diluido en diclorometano; ii) 500 µL de la atmósfera gaseosa que rodea las rodajas de tomate empacadas; iii) 500 µL de headspace del vial de 60 mL conteniendo 20 g de rodajas de tomate trituradas incubado a 70 °C durante 60 min.
Las rodajas de tomate de bandejas control y tratadas se procesaron y 25 g del triturado se homogenizaron en 225 mL de agua peptona estéril 0.1 %.
Tanto para el recuento de bacterias aerobias mesófilas como de hongos y levaduras se realizaron diluciones por duplicado entre 10-1 y 10-3 para el día 0, y diluciones entre 10-2 y 10-5 para los días siguientes. La dilución 10-1 se sembró en profundidad y las demás en superficie. Para el recuento de bacterias aerobias mesófilas se utilizó medio PCA y se incubaron 2 d a 37 °C. En el caso de hongos y levaduras, se utilizó medio YGC y se incubaron 5 d a 20 °C. De estos recuentos se aislaron dos levaduras y un hongo filamentoso para su identificación, y sensibilidad al AE de romero seleccionado.
Hongo filamentoso: se aisló por repiques sucesivos en medio DRBC y se clasificó morfológicamente (Pitt y Hocking, 1999).
Levaduras: se aislaron por la técnica de estriado y se identificaron empleando el sistema API 20 C Aux (Bio Merieux, Francia).
Preparación de microorganismos: El hongo filamentoso, se inoculó en agar papa dextrosa PDA inclinado durante 5 días a 30 °C. Después se añadieron 10 mL de solución de esporas (0,01 % lauril sulfato de sodio, y 1% de glucosa) a los tubos. Los conidios se aflojaron raspando suavemente con un anza y se realizaron diluciones seriadas. A fin de determinar el número total de conidios se sembraron en superficie de agar malta, (extracto de malta 1%, extracto de levadura 2% y agar agar 2%) 100 uL de tres diluciones consecutivas, los cuales se homogenizaron con perlas estériles. Las cajas se incubaron por 5 días a 30 °C y una vez terminada la incubación se procedió a hacer el recuento de conidios mL-1. El número de conidios totales se corroboró mediante un recuento en cámara de Neubauer.
Para la preparación del inóculo de levaduras, se siguió la misma metodología que en el hongo filamentoso pero empleando como medio de cultivo agar YGC® (BIOKAR, Beauvais, Francia) y agua de peptona (0,1% p/v) para las diluciones seriadas.
Variación de volumenes de AE de romero: Se seleccionó una concentración tanto de hongo filamentoso como de cada levadura, se sembraron en medio malta para hongos e YGC para levaduras y se incubaron sobre las bandejas empleado el mismo sistema diseñado anteriormente, pero se impregnó la cinta de papel de filtro con diferentes concentraciones de AE de romero (0, 15, 30, 50 y 100 uL). Se incubaron 5 d a 30 ºC.
Los experimentos se realizaron de acuerdo a un diseño factorial. Los resultados se analizaron por ANOVA y las medias se compararon mediante el test LSD de Fisher con un nivel de significancia de P < 0,05.
Las rodajas de tomate control y tratadas con las distintas concentraciones y tipos de AE se almacenaron durante 16 d y se analizó visualmente el avance del deterioro, considerando el producto como no consumible cuando mostrara un índice ≥ 4. El deterioro observado contempló desarrollo de microorganismos, exudado en bandejas, y deshidratación superficial en las rodajas. En la Figura 1 se observa que en general el empleo de AE de laurel y romero logró un menor o igual índice de deterioro respecto del control luego de 11 y 16 d de almacenamiento refrigerado. La concentración de romero 30 uL fue la que logró el menor índice. El AE de laurel en concentraciones de 30 y 50 uL mostraron un marcado retraso del deterioro frente al control pero la efectividad no fue mejor respecto del AE de romero. Estos resultados permitieron elegir el AE de romero de 30 uL para efectuar los ensayos posteriores.

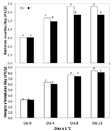
Se evidenció mayor deterioro en las rodajas controles que en las rodajas tratadas luego de 8 y 13 días de almacenamiento, sin embargo al día 13 se observó desarrollo microbiano en ambos grupos, aunque con menor porcentaje en las rodajas tratadas con aceite esencial (Figura 2)

En primer lugar se analizó el perfil cromatográfico de AE de romero (Figura 3). Se lograron identificar 7 picos mayoritarios que se numeraron según su tiempo de retención. En la tabla 1 se detallan los compuestos identificados. Al igual que en otros trabajos (Jiang et al., 2011), el 1,8-cineol fue uno de los compuestos mayoritarios. También es rico en el compuesto 3, el cual no pudo ser identificado pero se sospecha que puede ser β- pineno o mirceno de acuerdo al perfil de iones moleculares observados, aunque no se contaron con patrones para confirmar su identificación. Y en un segundo grupo de importancia estarían L-canfor y α-pineno.

En una segunda instancia se analizó cuáles de los compuestos del AE de romero eran retenidos tanto en las rodajas de tomate como en la atmósfera que las rodea. No se hallaron compuestos volátiles al analizar los empaques y rodajas controles, al menos en las condiciones de trabajo del CG-FID y CG-MS. Sin embargo, al analizar los empaques tratados con el AE se observó que el compuesto 1=α- pineno y 2=canfeno disminuyen al día 4 hasta que prácticamente desaparecieron en el día 13 (Figura 4A).

El pico 3=X1, presente en baja concentración, se mantuvo constante durante todo el almacenamiento. El pico 4=X2 presentó una concentración alta al inicio del almacenamiento pero rápidamente disminuyó debido tal vez a una gran permeabilidad a través del film PD961. El pico 5=p-cimeno no se acumuló en la atmósfera, mientras que los compuestos 6=1,8-cineol y 7=L-canfor se incrementan a los días 4 y 8, y disminuyen al día 13. Finalmente, al analizar las rodajas de tomate tratadas (Figura 4B) se observa que los compuestos 6=1-8 cineol y 7=L-canfor fueron los únicos adsorbidos por el tejido presentando un máximo al día 4 y fueron detectados hasta el final del almacenamiento.
Pintore et al., (2002) y Prabuseenivasan et al., (2006) reportaron resultados positivos en cuanto a la actividad antimicrobiana, antibacterial y antifúngica del AE de romero siendo esta propiedad atribuida a compuestos como: 1,8-cineol, α-pineno, limoneno, canfeno, L-canfor. Por lo que se podría pensar que la presencia mayoritaria de 1,8-cineol y L- canfor en las rodajas de tomate actuaron como preservantes logrando un menor desarrollo de microorganismos.
Como resultado del recuento de microorganismos efectuado, en la figura 5A se observa que el desarrollo de bacterias muestra un incremento durante el almacenamiento, aunque los valores hallados son significativamente menores en tomates tratados. De igual forma ocurre con el desarrollo de hongos y levaduras (Figura 5B), sin embargo se observa un menor crecimiento en rodajas tratadas con AE de romero 30 uL a partir del día 4 hasta el día 13 de almacenamiento.
El hongo filamentoso se identificó morfológicamente como Aspergillus fumigatus mediante claves taxonómicas y las levaduras se identificaron como Candida guilliermondii y Kloeckera spp. mediante el kit API® 20C AUX.
Variación en los volúmenes de AE de romero: el AE de romero ejerció un efecto inhibitorio ya al emplear 15 uL (Tabla 2) reduciendo el crecimiento de A. fumigatus y Kloeckera spp. de forma significativa, con respecto al control, logrando un 12.7 y 7.3 % de inhibición. Mientras que, para C. guillermondii se necesitó 30 uL de aceite esencial para producir una reducción significativa y llegar a un 13.2% de inhibición.
Estudios previos demuestran que los vapores generados por los aceites esenciales retrasan el ciclo de vida de algunos mohos en la etapa de germinación (Dao et al., 2008).


El empleo de 30 uL de aceite esencial de romero permitió prolongar la vida útil del tomate mínimamente procesado retrasando la aparición de síntomas de daño y microorganismos. Se halló presencia de casi todos los compuestos volátiles del AE en la atmósfera del empaque, mientras que sólo el 1,8-cineol y L-canfor se hallaron en las rodajas de tomate. Las concentraciones relativas fueron variando a lo largo del almacenamiento refrigerado.
El retraso en el crecimiento de mohos indica que el AE de romero es una alternativa para la conservación de tomate fresco cortado. Se aislaron e identificaron la presencia de A. fumigatus Candida guillermonddi y Kloeckera spp. Si bien el AE de romero ejerce un efecto inhibitorio diferente sobre el hongo respecto de las levaduras puede ser aplicado para lograr el incremento de la vida útil del tomate en rodajas.





