Reportes Frutas
Recepción: 16 Agosto 2019
Aprobación: 25 Octubre 2019
Publicación: 15 Diciembre 2019
Resumen: Debido a la variabilidad en la calidad y tiempo de vida de anaquel de la piña miel (MD2) en el mercado nacional, es necesario continuar en la búsqueda de tecnologías que resuelvan estos problemas. En el presente estudio, aplicamos tratamientos a frutos completos de piña MD2 mediante inmersión con cera (Cera) o con cera conteniendo 500 ppm de ácido 2-hidroxibenzoico (Cera+Ácido). Un tercer lote de frutos solo lo sumergimos en agua destilada (Testigo). Posteriormente, almacenamos los lotes a 10 °C durante 18 días. Cada 3 días los frutos Testigo y con tratamiento los retiramos de 10 °C y los almacenamos a 20 °C durante 3 días. Enseguida evaluamos color en el fruto (visual) y en la pulpa (ΔE*), pH, acidez titulable (%), sólidos solubles (% SST), tasa respiratoria (mL CO2/kg.h), etileno (µL/kg.h), contenido de fructosa, glucosa, sacarosa, α tocoferol y vitamina C. Después de 9 días a 10 °C más 3 días a 20 °C, la piña con Cera+Ácido presentó diferencias (p≤0.05) respecto a Testigo en cuanto al color menos amarillo en el fruto, así como una mayor diferencia de color (ΔE*) entre ellos. Los tratamientos no afectaron el pH, ni la acidez, aunque estos permitieron alcanzar el mínimo aceptable de 12 % en SST. La tasa respiratoria fue mayor en Testigo, seguido de Cera y Cera+Ácido (58, 53 y 44 mL CO2/kg.h), mientras que etileno no presentó cambios (0.02-0.05 µL/kg.h). Las condiciones utilizadas no afectaron la cantidad de los azúcares, aunque la sacarosa resultó 6 veces más elevada que en otros estudios. El contenido de las vitaminas α tocoferol y C en el tratamiento Cera+Ácido fue 21.3 y 27.1 % menor a Testigo y Cera, sin embargo, los valores resultaron similares a los reportados en otros trabajos. En función de los resultados obtenidos, la aplicación de Cera con 500 ppm de ácido salicílico en piña MD2 podría favorecer la extensión de la vida de anaquel al preservar las características comerciales después de 9 días a 10 °C más 3 días a 20 °C.
Palabras clave: cera, vitaminas, ácido 2-hidroxibenzoico, respiración.
Abstract: Due to the variability in the quality and shelf life of Honey Pineapple (MD2) in the national market, it is necessary to continue in the search for technologies that solve these problems. In the present study, entire fruits of pineapple MD2 we treated by immersion with wax (Cera), or with wax containing 500 ppm of 2-hydroxybenzoic acid (Cera+Ácido). A third batch of fruits we only submerged in distilled water (Testigo). Subsequently, we stored the lots at 10 °C for 18 days. We removed every 3 days the control, treated fruits from 10 °C, and stored at 20 °C for 3 days. Next, were evaluated fruit (visual) and pulp (ΔE*) color, pH, titratable acidity (%), Total Soluble Solids (% TSS), respiratory rate (mL CO2/kg.h), ethylene (µL/ kg. h), fructose, glucose, sucrose, α tocopherol and vitamin C content. After 9 days at 10 °C plus 3 days at 20 °C, the pineapple with Cera+Ácido showed differences (p≤0.05) with respect to Testigo, with less yellow color in the fruit, as well as a greater color difference (ΔE*) among them. The treatments did not affect the pH, nor the acidity, although these allowed reaching the acceptable minimum of 12% in TSS. The respiratory rate was higher in Testigo, followed by Cera and Cera+Ácido (58, 53 and 44 mL CO2 / kg.h), while ethylene showed no changes (0.02-0.05 µL / kg.h). Used conditions not affected sugar content, although sucrose was 6 times higher than in other studies. The content of vitamins α tocopherol and C in Cera+Ácido treatment was 21.3 and 27.1% lower than Testigo and Cera, however, the values were similar to those reported in other studies. Accord to the results obtained, Wax application with 500 ppm of salicylic acid in pineapple MD2 could benefit the extension of the shelf life by preserving the commercial characteristics after 9 days at 10 ° C plus 3 days at 20 ° C.
Keywords: wax, vitamins, 2-hydroxybenzoic acid, respiration rate.
Introducción
La piña (Ananas comosus L.) es una fruta tropical y subtropical no climatérica que produce pequeñas cantidades de etileno respecto a su maduración (Somogyi et al., 1996). Es una bromeliácea conocida por su textura jugosa, alto valor nutricional y sabor agradable (Liu et al., 2017). México ocupa el sexto lugar de los diez principales exportadores de piña a nivel mundial. En el 2017, se produjeron 945,210 toneladas a nivel nacional y el consumo per cápita al año fue de 6.3 kg (SAGARPA, 2017; SIAP, 2019). De la amplia variedad de piñas cultivadas en el mundo, los cultivares comerciales predominantes en México son Cayena (60 %), MD2 (30 %), las piñas criollas (4 %), Champaka (menos del 1 %) y las piñas ornamentales (menos del 0.005 %) (Uriza et al., 2018). La piña MD2 es un híbrido conocido como “Honey Golden”, “Golden Sweet” o “piña miel”, resultado de una mezcla compleja de variedades, donde más del 50 % corresponde a Cayena Lisa (Cerrato, 2013). En la hibridación de la piña miel se buscó mayor dulzura, así como la uniformidad y consistencia en tamaño y madurez. Sin embargo, daños como la desecación de brácteas, daños mecánicos, quemaduras solares, insectos (piojo harinoso rosado y gris), moho en pedúnculo (Penicillium, Fusarium spp.) y ataque de otros microorganismos (Thielaviopsis paradoxa, Dysmicoccus brevipes, Dysmicoccus neobrevipes Beardsley, entre otros) pueden reducir la calidad de este fruto. Estos factores, afectan además la apariencia, el color externo e interno, el valor nutricional (Raghav et al., 2016) y, en consecuencia, la comercialización de la piña. Tecnologías prometedoras y respetuosas con el medio ambiente como el encerado de grado alimenticio se utilizan para reemplazar algunas de las ceras naturales que se eliminan durante las operaciones de cosecha y clasificación (El-Ramady et al., 2015). Además, pueden ayudar a reducir la pérdida de agua durante el manejo y la comercialización, mejorando la apariencia cosmética y prolongando la vida de almacenamiento de frutas y verduras (Lin y Zhao, 2007; Benichou et al., 2018, Li et al., 2018). En el caso de la piña MD2 contiene hasta tres veces más vitamina C que otras variedades (Lu et al., 2014), por lo que también resulta importante conservar esta biomolécula antioxidante. Una ventaja sustancial de los recubrimientos comestibles es que varios ingredientes activos se pueden incorporar en la matriz del polímero y mejorar así algún atributo del fruto tratado (Dhall, 2013). El ácido 2-hidroxibenzoico, o ácido salicílico, es un regulador de crecimiento endógeno con naturaleza fenólica, que participa en la regulación de varios procesos fisiológicos en plantas, como el cierre de estomas, la absorción de iones, la inhibición de la biosíntesis de etileno y la transpiración (Khan et al., 2003; Shakirova et al., 2003). La aplicación exógena de este compuesto en concentraciones no tóxicas puede regular el estrés biótico y abiótico, jugando un papel importante en la protección de las plantas mediante la regulación del sistema antioxidante (He y Zhu, 2008; Elwan y El-Hamahmy, 2009; Hayat et al., 2009) y en la reducción de la actividad enzimática relacionada con el estrés por frío (Ahmad et al., 2013; Giménez et al., 2016; Nasr et al., 2016). Éste se puede incorporar a las ceras comestibles o aplicarlo en la fruta después de disolverlo en solución etanol-agua. En el presente estudio se aplicaron recubrimientos comestibles con y sin ácido 2-hidroxibenzoico con el objetivo de evaluar su efecto en la calidad de piña miel y preservar sus características comerciales.
Materiales y Métodos
Materia prima
Las piñas miel (MD2) fueron obtenidas del centro de abastos en la localidad de Hermosillo, Sonora, México. En el laboratorio, la selección de los frutos se realizó por tamaño homogéneo, color de cáscara (Fig. 1 como escala de referencia), libres de daños visibles o de presencia de ataque microbiano. El lote fue de 85 frutos con un nivel 2 de color según la escala de referencia.
Tratamientos aplicados
Se elaboraron dos formulaciones para el recubrimiento de las piñas. La primera (Cera) a base de ácidos grasos (5 %), aceite mineral (1 %), carbohidratos (2.5 %), polipropilenglicol (0.4 %), emulsificante (0.03 %) carboximetil celulosa (0.001 %) y sorbato de potasio (0.05 %) como antimicrobiano. Se usaron ingredientes grado alimenticio, listados en el capítulo 21 CFR (Code of Federal Regulations) de FDA (Federal Drug Administration, USA). La segunda formulación se elaboró con los ingredientes anteriores y 500 ppm de ácido 2-hidroxibenzoico (Cera+Ácido). Se formó un tercer grupo de frutos que no recibió tratamiento con cera (Testigo). La aplicación se realizó sumergiendo los frutos durante 5 s en un recipiente sin tocar la corona o penacho. Para el caso de los frutos Testigo se sumergió en agua destilada. Posteriormente, se les retiró el exceso de las soluciones y se dejaron secar a temperatura ambiente en posición horizontal, girándolos ocasionalmente. Todas las piñas se almacenaron a 10 °C durante 18 días a 85 % HR. Se analizó la muestra por triplicado antes de pasar a 10 °C. Cada 3 días se retiró muestra de cada tratamiento a 10 °C y se almacenó por 3 días a 20 °C. Pasado el tiempo a 20 °C los frutos fueron examinados.
Análisis realizados
Los cambios en el color externo de la piña (Grado de Madurez) fueron registrados por triplicado por comparación visual utilizando la escala de la figura 1. Mientras que en el mesocarpio del fruto el color se registró con un colorímetro Minolta (CR-300, USA). Se midió el color en una porción de la pulpa de la parte ecuatorial de la piña, sin considerar el centro de la rodaja. Se utilizaron seis réplicas para los valores L*, a* y b* para calcular la variación o diferencia del color como ΔE* = √((L*1-L*2)2 + (a*1-a*2)2+(b*1-b*2)2).

Las variables físico-químicas como acidez titulable y pH fueron determinadas por triplicado en un titulador automático Mettler Toledo (DL21, USA) utilizando NaOH 0.1 N (Sigma, USA). Para los Sólidos Solubles Totales (% SST) fue utilizado un refractómetro digital Palette Atago (PR-101, Japón) expresando los resultados en porcentaje (AOAC, 1990). Las muestras se tomaron de un corte de 7 cm aproximadamente de la parte ecuatorial de la piña, dejando fuera la zona del centro. Estas se trocearon para homogenizarlas y tomar la porción requerida de acuerdo al análisis.
Los valores de dióxido de carbono como tasa respiratoria (CO2 mL/kg.h) y el etileno producido (C2H4 µL/kg.h) se evaluaron mediante el sistema cerrado descrito por Watada y Massie (1981) con algunas modificaciones. El fruto se incubó durante 30 min en un recipiente plástico de 10 L. Posteriormente, se obtuvo 1 mL de gas del espacio de cabeza y se inyectó en un cromatógrafo de gases Varian (Star 3400, USA) con detector de ionización de flama (FID) y conductividad térmica (TCD). La separación se realizó en una columna metálica empacada con Hayesep N 80/100 (Supelco, USA). La medición se realizó por triplicado.
Carbohidratos
Se utilizó una modificación de la metodología propuesta por Arenas et al. (1995). Las muestras de piña fresca se pesaron y se extrajeron con etanol–agua [80:20], dejando macerar durante toda la noche a Temperatura Ambiente de 20-25 °C (TA). Posteriormente, se tomó un volumen pequeño del sobrenadante con una jeringa el cual fue filtrado a través de una membrana Nylon (Acrodisc 13 mm, 0.2 µm). La muestra se inyectó a un cromatógrafo de líquidos UltiMate 3000 (Thermoscientific, USA), acoplado a un detector de índice de refracción (ERC RefractoMax 520). Se utilizó una columna Microsorb 100-3 NH2 100 х 4.6 mm usando una guarda columna analítica Zorbax NH2 4.6 x 12.5 mm 5 Micron. La separación de los azúcares se realizó a 35 ºC a flujo isocrático de 1.0 mL/min con acetronitrilo-agua [80:20]. Se utilizaron estándares de fructuosa, glucosa y sacarosa (SIGMA-ALDRICH, St. Louis, MO, USA) para la caracterización y cuantificación de los carbohidratos presentes en las muestras.
Contenido de vitamina E y C
Para la extracción de vitamina E nos basamos en la metodología previamente reportada por Onibi et al. (1998). La cuantificación se realizó utilizando un sistema HPLC (1260 Infinity, Agilent Technologies, Santa Clara, CA, USA) equipado con un detector de arreglo de diodos a una longitud de onda de 290 nm. Para la separación de la vitamina se utilizó una columna C18 Agilent Microsorb (100-3 C18, 100 × 4.6 mm) acoplada a una guarda columna analítica zorbax SB-C18 4.6 x 12.5 mm 5 Micron, con fase móvil isocrática [metanol: agua (98:2, v/v)]. Se usó estándar de α tocoferol (SIGMA-ALDRICH, St. Louis, MO, USA) para el cálculo de las concentraciones. La extracción de vitamina C se realizó de acuerdo con Doner et al. (1981). La muestra (5 g) se mezcló con una solución de ácido metafosfórico al 3 % (25 mL) y se centrifugó a 3000 xg, durante 10 min a 4 ºC. El sobrenadante se filtró en una membrana de Nylon a un tamaño de poro de 0.22 μm antes del análisis. La separación de la muestra se realizó en una columna analítica μBondapak NH2 (3.9 x 300 mm, 10 μm, 125 A, Waters Co. Milford, MA). Se utilizó un detector Dionex Ultimate 3000 a 268 nm y una bomba Accela 600 (Thermo Scientific, San José, CA, USA).
Análisis de los datos
El diseño fue completamente al azar. Se bloqueó el tiempo y para cada variable analizada, después de probar la normalidad de los datos, se realizó ANOVA de una sola vía comparando las medias por la prueba de Tukey-Kramer. En los casos donde no se encontró normalidad de los datos se realizó la comparación de las medianas mediante Kruskal-Wallis. El nivel de confianza fue del 95 % utilizando el paquete estadístico NCSS 2011.
Resultados
Cambios en el color externo
El Grado de Madurez (GM) en la cáscara de la piña se incrementó, tanto en la fruta no tratada como la tratada, conforme pasaron los días de almacenamiento (Figura 2). El GM de 4, que corresponde a un color totalmente anaranjado (Figura 1), se alcanzó en la piña Testigo a partir del día nueve. Las diferencias (p≤0.05) solo se presentaron al día 3, donde los frutos Testigo desarrollaron un nivel más de color que los tratamientos y, al día 9, Testigo desarrolló medio nivel más de color respecto a Cera+Ácido. También, se observó un incremento de 1.33 en el GM de todos los frutos después de 6 días de almacenamiento (6 días a 10 °C + 3 días a 20 °C) respecto al color inicial. La tendencia resultante fue que Testigo incrementó primero el GM desde el día 3, Cera alcanzó los niveles de color de Testigo hasta el día 12, mientras que Cera+Ácido se aproximó más al Testigo hasta el día 15.

Es probable que la tendencia mencionada hubiera adquirido mayor relevancia (p≤0.05) si las evaluaciones se hubieran realizado al momento de salir del almacenamiento a 10 °C. Así, la respuesta observada en el fruto, por ejemplo al día 9, es de uno almacenado durante 12 días. Se destaca que, para ese día, Cera+Ácido presentó menor nivel de color que Testigo, como lo muestra la figura 3.

Respecto al color en pulpa, se apreció que la diferencia de color (ΔE*) entre Testigo y Cera+Ácido se incrementó con el tiempo de almacenamiento (Figura 4). Este comportamiento concuerda con lo que se vio en la cáscara de la piña, donde el tratamiento Cera+Ácido mantuvo el GM más bajo que Testigo durante almacenamiento.

La línea de tendencia de ΔE* entre Testigo y Cera presentó una pendiente menor (m=0.01) que la ΔE* entre Testigo y Cera+Ácido (m=1.37). En otros términos, la tendencia a semejar el color fue 3.7 veces más alta en Testigo y Cera que entre Testigo y Cera+Ácido. La diferencia de color entre los tratamientos con Cera y Cera-Ácido durante el almacenamiento tendió a disminuir, acentuándose este efecto después del día 9. Para el día 12 en la piña Testigo, la pulpa se encontraba en el grado 4 de color y traslucidez de acuerdo a la Norma mexicana NMX-FF-028-SCFI-2008. A ese grado la pulpa tiene un 87 % de color amarillo o ¾ de madurez.
Pruebas físico-químicas
El desarrollo del pH y la acidez en la pulpa de la piña no se vieron afectados (p≥0.05) por los tratamientos aplicados (Tabla 1). A medida que la piña tiende a la senescencia, la tendencia normal en el pH es a un ligero aumento, mientas que los ácidos disminuyen ligeramente, por ser una fruta no climatérica. El tratamiento Cera+Ácido presentó un mayor pH (p≤0.05) respecto a Testigo y Cera durante los días 3 y 6. Al día 15 las diferencias se presentaron en Cera con un menor valor de pH respecto a los demás. Mientras que, en acidez para ese mismo día, Cera+Ácido presentó un valor mayor respecto a Testigo. Estos resultados no permitieron observar una correspondencia entre estas dos variables en función de los tratamientos aplicados. Sin embargo, una acidez máxima de 1 % asegura un sabor mínimo aceptable para los consumidores (PRODOCA, 2019).

Los frutos de piña destinados para el mercado fresco de exportación, antes de ser cosechados, deben haber alcanzado su plena madurez fisiológica y tener al menos 12 °Brix (sólidos solubles totales) o más (Uriza-Ávila et al., 2018; PRODOCA, 2019). En nuestro experimento, a pesar de no haber encontrado diferencias significativas entre tratamientos para cada día de almacenamiento (Tabla 2), sí se observó que los tratamientos con Cera y Cera+Ácido mantuvieron el mínimo aceptable hasta el día 9. Posterior a ese día, la tendencia fue a la disminución de los grados Brix bajo las condiciones ensayadas.

Tasa respiratoria y contenido de etileno
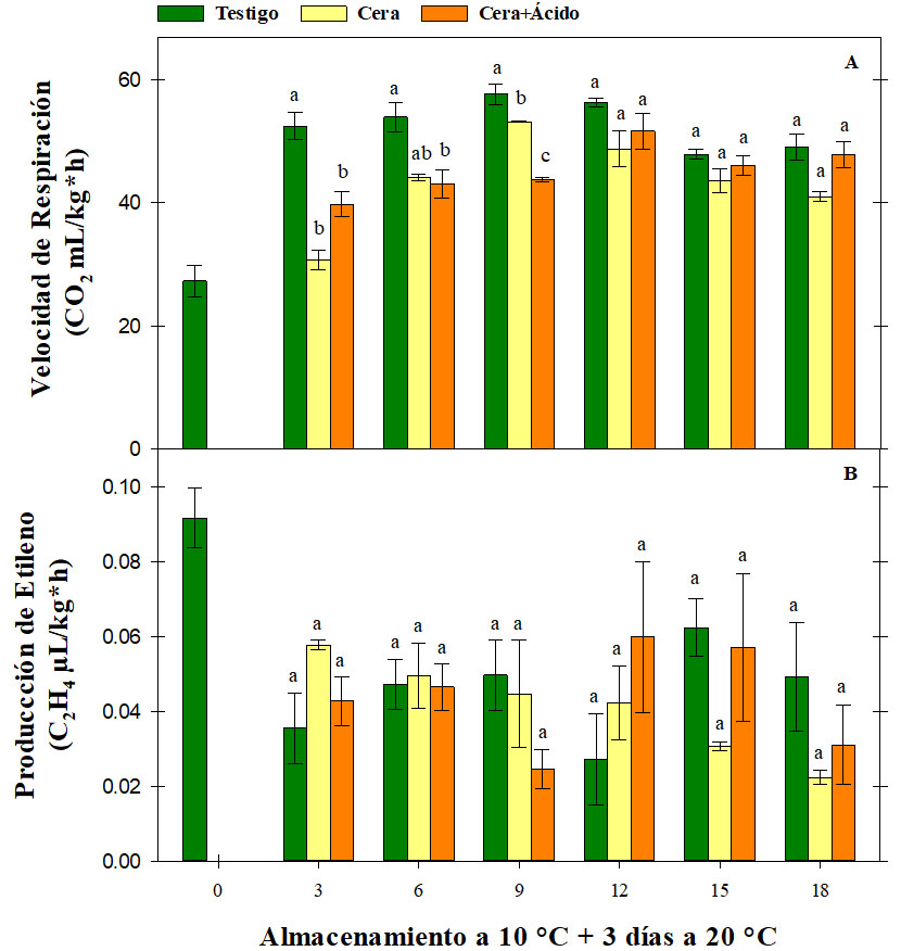
El comportamiento de estas variables siguió el patrón típico de los frutos no climatéricos (Kader, 1992) al no presentar cambios abruptos en la producción de los gases (Figura 5). Aun así, se destacó la diferencia (p≤0.05) entre Testigo (58 mL/kg.h) y Cera+Ácido (44 mL/kg.h) hasta el día 9 con valores menores de CO2 (Figura 5A). El tratamiento Cera (53 mL/kg.h) también fue diferente (p≤0.05) de Cera-Ácido para ese día, así como de Testigo solo al día 3 y 9. Después del día 12, tanto Testigo como los tratamientos no presentaron diferencias significativas alcanzado en promedio valores de 50 mL CO2/kg.h. Abdullah et al. (2002), observaron valores cercanos a 30 mL CO2/kg.h después de 13 días a 24 °C en piñas cv Gandul en estado verde maduro. El hecho de reportar valores de CO2 más altos a los de la literatura no podría adjudicarse a los tratamientos aplicados ya que los frutos Testigo también los presentaron, incluso ligeramente mayores. Respecto a la producción de etileno, esta se vio disminuida por las condiciones de almacenamiento desde el día 3 (Figura 5B). Aunque no se presentaron diferencias significativas entre el Testigo y los tratamientos, los valores generados fueron entre 0.03 a 0.06 µL C2H4/kg.h. En general, se ha reportado para piña valores de etileno menores a 0.2 µL/kg.h a 20 °C (Ethylenecontrol, 2019), diez veces más de lo obtenido experimentalmente en nuestro estudio. En parte esto se podría explicar por efectos del almacenamiento previo a 10 °C sobre la actividad metabólica, a las condiciones propias del fruto como la variedad, entre otras causas. Por otra parte, valores de etileno en piña cercanos a cero fueron reportados por Abdullah et al. (2002), a pesar de los tratamientos aplicados.

La presencia de hongos, principalmente Fusarium spp. y Penicillium spp. en frutos y corona de piña (Coates et al., 1997), es uno de los problemas más comunes observados en la variedad MD2, después de haber pasado todo el proceso de cosecha, empaque y comercialización. Esto fue observado en algunos frutos de este experimento, por lo que también podría ser la causa de los valores altos en CO2.
Contenido de carbohidratos, vitamina E y C
El contenido de los azúcares fructosa, sacarosa y glucosa del inicio del experimento (20 °C), no se vio afectado (p≥0.05) por los tratamientos aplicados después de 9 días a 10 °C + 3 días a 20 °C (Tabla 3). La excepción fue en la glucosa de los frutos con Cera, con 28.5 % menos (p≤0.05) que Testigo y Cera+Ácido. Esto no se pudo relacionar con el comportamiento fisiológico arriba señalado ya que los frutos Testigo presentaron mayor actividad. De Ancos et al. (2016), reportaron valores semejantes de azúcares en la variedad MD2, al menos en glucosa (1.70 g/100 gpf) y fructosa (2.15 g/100 gpf), mientras que en sacarosa fue mucho menor (6.47 g/100 gpf). En otro estudio (Hounhouigan et al., 2014) con MD2 se reportaron valores similares (glucosa 2.36, fructosa 2.28 y sacarosa 5.7 g/100 gpf) a los obtenidos por De Ancos et al. (2015) y Lu et al. (2014), pero este último en la variedad Cayena Lisa (glucosa 2.45, fructosa 2.10 y sacarosa 6.48 g/100 gpf). Es probable que los valores obtenidos de sacarosa, más de seis veces de lo reportado en literatura, se deban al estado de madurez de la piña utilizada para este experimento.

Respecto al contenido de vitaminas en los frutos analizados, observamos pocos cambios respecto a los valores del tiempo inicial (día 0). La cantidad de vitamina E solo fue diferente (p≤0.05) en los frutos con Cera-Ácido con 21.3 % menos contenido que Testigo y Cera. Este comportamiento también se observó en vitamina C, donde la piña tratada con Cera-Ácido presentó un 27.1 % menos que Testigo y Cera. Aparentemente, el comportamiento podría relacionarse con la tasa respiratoria que resultó menor para estos frutos. Pero también, puede ser causa natural de la regulación que ejerce el ácido salicílico en el sistema antioxidante bajo condiciones de estrés (He y Zhu, 2008; Elwan y El-Hamahmy, 2009; Hayat et al., 2009). En piña se han reportado valores de α tocoferol entre 0.02 mg/100 gpf (Almeida et al., 2011; USDA, 2019) y 0.15 mg/100 gpf (Freitas et al., 2015). Los valores de ácido ascórbico encontrados en piña MD2, al menos para los tratados con Cera+Ácido, fueron semejantes a los que reportan Hounhouigan et al. (2014), con 63.6 mg/100 gpf y Lu et al. (2014), con 56.4 mg/100 gpf. Ramsaroop y Saulo (2007) encontraron una cantidad menor de este micronutriente (33.57 mg/100 gpf) en la misma variedad de piña. Podría especularse que un menor contenido de vitaminas en los frutos tratados con Cera+Ácido guarda relación con el color externo y de pulpa observado, así como la tasa respiratoria presentes durante el día 9. No obstante, habría que realizar estudios de repetición en igualdad de condiciones y con otros grados de madurez que manejan los distribuidores para asociar adecuadamente estas respuestas. En función de los resultados obtenidos, el tratamiento con Cera+Ácido podría favorecer la extensión de la vida de anaquel de la piña MD2.
Conclusiones
La aplicación de Cera con 500 ppm de ácido 2-hidroxibenzóico o salicílico en piña MD2 preservó las características comerciales del fruto, al menos después de 9 días a 10 °C más 3 días a 20 °C.
Referencias
Abdullah, H., Rohaya, M., Latifah, M., Mohammed, M. y Underhill, S. 2002. Respiration rate, ethylene production and chlorophyll content of the fruit and crown of pineapple stored at low temperatures. Journal of Tropical Agriculture and Food Science, 30: 99-107.
Ahmad, S., Singh, Z. y Iqbal, Z. 2013. Effect of preharvest sprays of salicylic acid on the shelf life and quality of 'Lane Late' sweet orange (Citrus sinensis L.) cold storage. Acta Horticulturae, 1012: 103-112.
Almeida, M.M., de Sousa, P.H., Arriaga, Â.M., do Prado, G.M., Magalhães, C.E., Maia, G.A. y de Lemos, T.L. 2011. Bioactive compounds and antioxidant activity of fresh exotic fruits from northeastern Brazil. Food Research International, 44(7): 2155–2159.
AOAC.1990. Fruits and fruit products. Official Methods of Analysis of AOAC. Association of Official Analytical Chemists (ed.) Washington, USA. Pp. 829-830.
Arenas, M.L., Marín, M., Castro, C.R. y Sandoval, L. 1995. Determinación por HPLC de los azúcares en los frutos de guayaba (Psidium guajava L.) de una plantación comercial del Municipio Mara. Revista de la Facultad de Agronomía. (LUZ), 12: 467-483.
BANCOMEXT. 1999. Norma de calidad para piña fresca. CIAD, A.C. Tecnología de Alimentos de Origen Vegetal. Hermosillo, Sonora, México.
Benichou, M., Ayour, J., Sagar, M., Alahyane, A., Elateri, I. y Aitoubahou, A. 2018. Postharvest technologies for shelf life enhancement of temperate fruits. In: Mir S.A., Shah M.A. y Mir M.M. (eds.), Postharvest Biology and Technology of Temperate Fruits. Springer International Publishing AG part of Springer Nature, Switzerland, 77-100.
Cerrato I. 2013. Parámetros de comercialización de la piña MD2 en los principales mercados hondureños. Secretaría de Agricultura y Ganadería. Programa Nacional de Desarrollo Agro-alimentario.
Coates, L.M., Johnson, G.I. y Dale, M. 1997. Chap. 33. Postharvest diseases of fruit and vegetables. In: J. Brown and H. Ogle, ed. Plant Pathogens and Plant Diseases, 536-537.
De Ancos, B., González-Peña, D., Colina-Coca, C. y Sánchez-Moreno, C. 2015. Uso de películas/recubrimientos comestibles en los productos de IV y V gama. Revista Iberoamericana de Tecnología Postcosecha, 16(1): 8-17.
De Ancos, B., Sánchez-Moreno, C. y González-Aguilar, G.A. 2016. Pineapple composition and nutrition. Handbook of Pineapple Technology, 221–239.
Dhall, R.K. 2013. Advances in Edible Coatings for Fresh Fruits and Vegetables: A Review. Critical Reviews in Food Science and Nutrition, 53(5): 435-450.
Doner, L.W. y Hicks, K.B. 1981. High-Performance Liquid Chromatographic Separation of Ascorbic Acid, Erythorbic Acid, Dehydroascorbic Acid, Dehydroerythorbic Acid, Diketogulonic Acid, and Diketogluconic Acid. Analytical Biochemistry, 115(1, 15): 225-230.
El-Ramady, H.R., Domokos-Szabolcsy, E., Abdalla, N.A., Taha, H.S. y Fari, M. 2015. Postharvest Management of Fruits and Vegetables Storage. In: E. Lichtfouse (ed.), Sustainable Agriculture Reviews, Springer International Publishing Switzerland. Sustainable Agriculture Reviews 15, Pp. 59.
Elwan, M.W. y El-Hamahmy, M.A. 2009. Improved productivity and quality associated with salicylic acid application in greenhouse. Scientia Horticulturae, 122: 521-526.
Ethylenecontrol. 2019. Ethylene control Inc. Selma, CA. Revisado en noviembre del 2019 en: https://www.ethylenecontrol.com/produce-storage/pineapple/.
Food and Drug Administration (FDA). 2012. CFR Title 21: Foods and Drugs, CFR Part 172: Food additives permitted for direct addition to food for human consumption, CFR Subpart C: Coatings, films and related substances. Silver Spring, MD. http://www.accessdata.fda.gov/scripts/cdrh/cfdocs/cfCFR/CFRSearch.cfm.
Freitas, A., Moldão-Martins, M., Costa, H.S., Albuquerque, T.G., Valente, A. y Sanches-Silva, A. 2015. Effect of UV-C radiation on bioactive compounds of pineapple (Ananas comosus L. Merr.) by-products. Journal of the Science of Food and Agriculture, 95(1): 44–52. https://doi.org/10.1002/jsfa.6751.
Giménez, M.J., Serrano, M., Valverde, J.M., Martínez-Romero, D., Castillo, S., Valero, D. y Guillén, F. 2016. Preharvest salicylic acid and acetylsalicylic acid treatments preserve quality and enhance antioxidant systems during postharvest storage of sweet cherry cultivars. Journal of the Science of Food and Agriculture, 97(4): 1220-1228.
Hayat, Q., Hayat, S., Irfan, M. y Ahmad, A. 2009. Effect of exogenous salicylic acid under changing environment: a review. Environmental and Experimental Botany, 68(1): 14-25.
He, Y. y Zhu, Z.J. 2008. Exogenous salicylic acid alleviates NaCl toxicity and increases antioxidative enzyme activity in Lycopersicon esculentum. Biologia Plantarum, 52: 792-795.
Hounhouigan, M.H., Linnemann, A.R., Ingenbleek, P.T., Soumanou, M.M., van Trijp, H.C. y van Boekel, M.A. 2014. Effect of physical damage and storage of pineapple fruits on their suitability for juice production. Journal of Food Quality, 37(4): 268–273. https://doi.org/10.1111/jfq.12094.
Kader, A.A. 1992. Postharvest biology and technology: An overview. In: Postharvest Technology of Horticultural Produce. University of California, p. 15–20.
Khan, W., Prithiviraj, B. y Smith, D.L. 2003. Photosynthetic response of corn and soybean to foliar application of salicylates. Journal of Plant Physiology, 160: 485.
Li, X., Zhu, X., Wang, H., Lin, X., Lin, H. y Chen, W. 2018. Postharvest application of wax controls pineapple fruit ripening and improves fruit quality. Postharvest Biology and Technology, 136: 99–110.
Lin, D. y Zhao, Y. 2007. Innovation the development and application of edible coating for fresh and minimally processed fruits and vegetables. Comprehensive Reviews in Food Science and Food Safety, 6: 60–75.
Liu, J., He, C., Shen, F., Zhang, K. y Zhu, S. 2017. The crown plays an important role in maintaining quality of harvested pineapple. Postharvest Biology and Technology, 124: 18–24.
Lu, X.H., Sun, D.Q., Wu, Q.S., Liu, S.H. y Sun, G.M. 2014. Physico-chemical properties, antioxidant activity and mineral contents of pineapple genotypes grown in China. Molecules, 19(6): 8518–8532. https://doi.org/10.3390/molecules19068518.
Nasr, I.S., Korkar, H.M. y Hamid, A.A. 2016. Effect of salicylic acid and polyethylene glycol application on physiological and chemical changes of ‘Valencia’ oranges during cold storage. Journal of Horticultural Science y Ornamental Plants, 8(2): 55–65.
NMX-FF-028-SCFI-2008. Productos alimenticios no industrializados para consumo humano – fruta fresca– piña (Ananas comosus var. comosus) – especificaciones.
Onibi, G.E, Scaife, J.R, Murray, I. y Fowler, V.R. 1998. Use of α-tocopherol acetate to improve fresh pig meat quality of full-fat rapeseed-fed pigs. Journal of the American Oil Chemists' Society, 75:189–98.
PRODOCA. 2019. Mercado de abastos Estrella, San Nicolás de los Garza, N.L. Revisado el 13 de junio de 2019 en: http://prodoca.com.mx/home/mapa/pina/.
Raghav, P.K., Agarwal, N. y Saini, M. 2016. Edible coating of fruits and vegetables: A review. International Journal of Scientific Research and Modern Education, 1(1): 188–204.
Ramsaroop, R.E. y Saulo, A.A. 2007. Comparative consumer and physicochemical analysis of del Monte Hawai`i Gold and Smooth Cayenne pineapple cultivars. Journal of Food Quality, 30(2): 135–159. https://doi.org/10.1111/j.1745-4557.2007.00111.x
SAGARPA. 2017. Piña Mexicana. Planeación Agrícola Nacional 2017-2030. Recuperado de: https://www.gob.mx/cms/uploads/attachment/file/257084/Potencial-Pi_a.pdf
Servicio de Información Agroalimentaria y Pesquera. 2019. Anuario estadístico de la producción agrícola. México: SIAP. Recuperado de: https://nube.siap.gob.mx/cierreagricola/
Shakirova, F.M., Sakhabutdinova, A.R., Bezrukova, M.V., Fatkhutdinova, R.A., y Fatkhutdinova, D.R. 2003. Changes in the hormonal status of wheat seedlings induced by salicylic acid and salinity. Journal Plant Science, 164(3): 317–322.
Somogyi, L.P., Ramaswamy, H.S. y Hui, Y.H. 1996. Processing fruits science and technology. vol.1 ed. CRC PRESS, p. 510.
Uriza-Ávila D.E., Torres-Ávila A., Aguilar-Ávila J., Santoyo-Cortés V.H., Zetina-Lezama R. y Rebolledo-Martínez A. 2018. La piña mexicana frente al reto de la innovación. Avances y retos en la gestión de la innovación. Colección Trópico húmedo. Chapingo, Estado de México: UACh.
USDA. 2019. National Nutrient Database for Standard Reference. Basic Report 09266, Pineapple, Raw, All Varieties. The National Agricultural Library (2019). Recuperado de: https://fdc.nal.usda.gov/fdc-app.html#/food-details/169124/nutrients
Watada A. y D. Massie. 1981. A compact automatic system for measuring CO2 and C2H4 evolution by harvest horticultural crops. Journal of the American Society for Horticultural Science. (USA) 16:39–41.
Notas de autor
Correo electrónico de autor para la correspondencia: rbaez@ciad.mx.