Reportes Verduras
Recepción: 10 Febrero 2019
Aprobación: 27 Marzo 2020
Publicación: 30 Junio 2020
Resumen: En las zonas hortícolas colombianas la siembra del calabacín es reciente y se perfila como un cultivo con demanda en aumento dadas sus características culinarias y nutricionales. Una situación característica del cultivo son las pequeñas áreas de siembra y que los cultivadores no posean la infraestructura de almacenamiento que les garantice el manejo adecuado en poscosecha. Con el objetivo de brindar alternativas que les permita a los productores conservar su producto en las mejores condiciones de calidad previo a la venta, se evaluaron dos condiciones de almacenamiento sobre la calidad poscosecha de cuatro variedades de calabacín cultivado en Antioquia – Colombia. Se evaluaron las variables peso, textura y daños causados por microorganismos. Los resultados indicaron que hay un efecto en la respuesta de los materiales respecto las condiciones en las que fueron almacenados, así, las variedades Cocozelle y Golden presentaron menores pérdidas de peso comparados con las demás variedades y no presentaron diferencias estadísticamente significativas para condición de almacenamiento, lo que sugiere que estas pueden ser almacenadas bajo las condiciones de temperatura y humedad relativa ambientales. En cuanto a la variable daños la variedad Golden corresponde al material que presenta mayores niveles de daños, restringiendo su almacenamiento a un tiempo máximo de siete días y de preferencia bajo condiciones ambientales, mientras que Amanda no presentó daños perceptibles en ninguna de las dos condiciones de almacenamiento, esto permite recomendar el almacenamiento de estas variedades por hasta siete días en las condiciones ambientales de la zona de producción.
Palabras clave: humedad, temperatura, daños, peso, textura.
Abstract: In Colombian horticultural areas, the planting of zucchini is recent and is emerging as a crop with increasing demand given its culinary and nutritional characteristics. A typical issue is the small planting areas and the farmers do not have the storage infrastructure that guarantees adequate post-harvest handling. In order to provide alternatives that allow producers to keep their product in the best quality conditions prior to sale, two storage conditions were evaluated on the post-harvest quality of four varieties of zucchini grown in Antioquia – Colombia. The variables weight, texture and damage caused by microorganisms were evaluated. The results indicated that there is an effect on the response of the materials with respect to the conditions in which they were stored, thus, the Cocozelle and Golden varieties showed lower weight losses compared to the other varieties and did not show statistically significant differences for storage condition, that suggests that these can be stored under ambient temperature and relative humidity conditions. Regarding the damage variable, the Golden variety corresponds to the material that presents the highest levels of damage, restricting its storage to a maximum time of seven days and preferably under environmental conditions, while that Amanda did not present any noticeable damage in either of the two conditions of storage, this allows to recommend the storage of these varieties for up to seven days in the environmental conditions of the production area.
Keywords: humidity, temperature, damage, weight, texture.
INTRODUCCIÓN
En las zonas productoras de hortalizas de Antioquia y Cundinamarca (Colombia), el cultivo del calabacín es reciente y se perfila como un cultivo con demanda en aumento dadas sus características culinarias y nutricionales, llegando a sustituir parcialmente el consumo regular de pepino en algunas regiones de Colombia.
El agua es el principal componente del calabacín, seguido por carbohidratos y fibra, los cuales suman un aporte moderado de calorías, lo que lo convierte en un alimento apto para las dietas hipocalóricas; en personas hipertensas es recomendable su consumo debido a la elevada relación de K+/Na+, (alto contenido de potasio y bajo de sodio) (Romojaro-Casado, 2016).
En el cultivo de calabacín se realizan siembras escalonadas, por lo que el proceso de cosecha, poscosecha y comercialización se hace de manera constante durante todo el año, es un fruto no climatérico lo que indica que posterior a su cosecha no continúa con el proceso de maduración y no presenta cambios relevantes en sus características organolépticas (Megías et al., 2016). Los frutos de esta especie se pueden consumir en diversos estados de madurez, dependiendo de la demanda y los requerimientos del mercado; sin embargo, se consumen principalmente sin que hayan alcanzado la madurez fisiológica (antes de endurecer o sin que se las semillas se hayan formado totalmente); el índice de cosecha para estos frutos inmaduros, se basa en el tamaño, el color y luminosidad de su epidermis (Barreiro, 2000; Fernández Lizarte, 2015; Mármol, 2000; McCollum, Squash, Gross, Wang, & Saltveit, 2016; Romojaro-Casado, 2016; Toca Garzón & Cabezas-Gutierrez). En Antioquia y Cundinamarca la cosecha se inicia en promedio entre 58 y 65 días después de la siembra y se tiene en cuenta las exigencias del comprador, quien típicamente solicita frutos en estado fisiológico inmaduro (Jaramillo Noreña et al., 2019). El estado fisiológico en que se cosecha el calabacín se caracteriza por poseer una elevada tasa metabólica, la cual se expresa como calor metabólico, respiración y transpiración relativamente altos en comparación a otras hortalizas, por tanto, puede perder agua y firmeza rápidamente, además de la aparición de algunas patologías poscosecha y daños por frio durante su conservación, por lo anterior, autores como (Cantwell & Kasmire, 2007; Hardenburg, Watada, & Wang, 1986; Romojaro Casado, 2016), recomiendan almacenarlo en refrigeración a temperatura de 10 °C y humedad relativa entre el 85 – 90 %, para reducir cambios indeseables en poscosecha. La temperatura de almacenamiento influye en calidad del calabacín, mayor temperatura produce pérdida de color verde de la cáscara por acción de las clorofilasas y la posterior degradación de las clorofilas, lo que se traduce en un amarilleamiento del producto y por ende la perdida de la apariencia de frescura ante el consumidor final; por el contrario, cuando se almacenan los frutos a temperaturas inferiores a la recomendada, aparecen daños por frio sobre la piel, que en fases avanzadas pueden generar daños sobre la pulpa y comprometer su integridad física y microbiológica (Kramer & Wang, 1989). No obstante, en las zonas cultivadoras colombianas, los productores usualmente no disponen de cuartos fríos o refrigeradores de gran capacidad para almacenar su producción, por lo tanto, deben entregar el producto al comprador, el día de la recolección; de lo contrario, lo deben almacenar temporalmente en la finca bajo las condiciones las ambientales predominantes.
La información sobre las condiciones de almacenamiento de las diferentes variedades de calabacín es escasa para el sistema productivo colombiano y no se han aprovechado las condiciones ambientales de la zona de cultivo como una opción de almacenamiento transitorio para el producto. Debido a lo anterior, el objetivo de esta investigación fue establecer la influencia de dos condiciones de almacenamiento (refrigeración y ambiente), sobre la calidad poscosecha de cuatro variedades de calabacín cultivado en Antioquia – Colombia
MATERIALES Y MÉTODOS
Ubicación
Las cuatro variedades de calabacín se establecieron en el municipio de Rionegro, departamento de Antioquia, Centro de Investigación La Selva, de la Corporación Colombiana de Investigación Agropecuaria, Agrosavia (Colombia), localizado en la zona de vida ecológica Bosque Húmedo Montano Bajo, en latitud norte 6º 7' 49" y longitud oeste 75º 24' 49" a 2.090 msnm, con temperatura promedio anual de 17 ºC, precipitación promedio anual de 1.917 mm, humedad relativa (HR) promedio de 78 %, brillo solar promedio de 1.726 horas/año, evapotranspiración promedio de 1.202 mm, se realizaron las labores agronómicas y de fertilización recomendadas por Jaramillo Noreña et al. (2019).
Material biológico
Para las evaluaciones se utilizaron los materiales de calabacín: Mila F1 verde, Amanda F1 verde, Golden F1 amarillo distribuidos por la casa comercial Impulsemillas. y Cocozelle de fondo verde y rayas claras, procedente de cultivos de productores de la zona del Oriente Antioqueño (Tabla 1).

Condiciones de almacenamiento en poscosecha
La cosecha se realizó con cuchillo entre las 7 y las 8 am, tal como sugiere Wills, McGlasson, Graham, and Joyce (2007), dejando aproximadamente 3 cm de pedúnculo para evitar problemas fitosanitarios; seguidamente, se hizo una inspección de daños a los frutos, seleccionando aquellos que no presentaran signos de ataque de insectos, hongos, daños mecánicos o fisiológicos, se secaron y se eliminó todo tipo de suciedad usando papel absorbente según recomienda (Loaiza-Higuera, 2017).
De cada variedad se seleccionaron 18 frutos (con peso entre 600 y 800 g), que fueron sometidos a dos condiciones de almacenamiento, nueve de ellos en condiciones controladas 8 °C y 90 % de HR, según recomendaciones de Blanco Díaz (2015) y los restantes en condiciones no controladas o ambientales (Tabla 2).

El experimento estuvo conformado por dos fases: almacenamiento (hasta el día 17) y pos-almacenamiento a partir del día 17, cuyas condiciones se presentan en la Tabla 2; para la fase pos-almacenamiento aquellos frutos que se encontraban en condiciones controladas fueron extraídos de la cámara climática y sometidos a condiciones ambientales, simulando así su canal de comercialización.
Pérdida de peso
Se realizó un análisis de medidas repetidas en el tiempo, para lo cual se registró el peso de cada fruto en los días: cero (cosecha), siete, 14 y 17 Días Después de Cosecha (DDC) y cinco días posteriores a retirar los frutos del almacenamiento controlado, la variable se registró en una balanza analítica (Delta Range, Mettler® PE 3600). Los datos fueron reportados como la relación porcentual entre el peso de calabacín inicial y el peso perdido en cada tiempo de almacenamiento evaluado.
Análisis de textura
Se realizó en tres momentos: el primero correspondió al día cero, el segundo momento a siete DDC y el tercero luego de cumplir el tiempo de pos-almacenamiento. Para las lecturas se tomaron tres frutos de cada variedad y condición de almacenamiento y sus análisis se realizaron por triplicado en cada fruto.
La prueba de textura fue realizada en un texturómetro (TA.XT Plus®), mediante la metodología propuesta por Lin and Chang (2005), se utilizó una sonda P/0-25 cilíndrica, con las siguientes condiciones: modo de ensayo: compresión; velocidad pre ensayo: 1,5 mm seg-1; velocidad del ensayo: 2,0 mm seg-1; velocidad post ensayo: 10 mm seg-1; distancia de penetración: 6 mm. Posteriormente se determinó la fuerza máxima de ruptura de la epidermis del fruto, el pico máximo de resistencia fue reportado en g fuerza.
Evaluación de daños
Para la evaluación de los daños, se utilizaron las escalas de Martınez-Tellez, Ramos-Clamont, Gardea, and Vargas-Arispuro (2002) y García Galiano (2015) (Tabla 3), con modificaciones; mediante la valoración cualitativa de síntomas visuales, se determinó el daño en los frutos, registrando el número de ellos con afecciones en cada momento de evaluación y su respectiva escala.

Análisis estadístico
En cada una de las variables evaluadas se obtuvieron los estadísticos de tendencia central, varianza y dispersión. Se aplicaron las pruebas de hipótesis para cumplimiento de supuestos, Shapiro-Wilk y Bartlett para normalidad y homogeneidad de varianzas respectivamente. Para determinar si existían diferencias significativas entre la interrelación de almacenamiento, variedades de calabacín y tiempo de almacenamiento, se aplicó a las variables estudiadas un análisis de varianza multifactorial (ANOVA), seguido de una prueba de rangos múltiples de LSD (Least Significant Difference) de Fisher.
Para el análisis de los datos cualitativos de daños se utilizó una tabulación cruzada, sumada a un análisis de correlación Chi cuadrado de Pearson, con cálculo del coeficiente de contingencia y Lambda para medir la capacidad predictiva de los factores fila y columna respectivamente. En todas las pruebas estadísticas se tomó como referencia para la determinación de diferencias significativas y relevancia un nivel de significancia (P) ≤0,05.
RESULTADOS Y DISCUSIÓN
Pérdida de peso
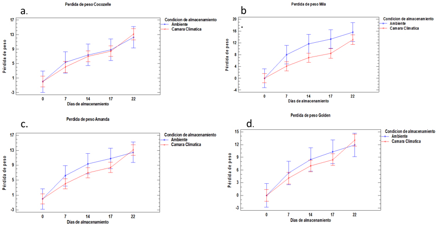
En la figura 1 se visualiza la cinética de la pérdida de peso para las dos condiciones de almacenamiento de las cuatro variedades de calabacín evaluadas, en esta se aprecia que la variedad en que menos pérdida de peso se registró fue Golden, seguida por Amanda, Cocozelle y Mila. Para las variedades Cocozelle, Amnada y Golden. Las pérdidas acumuladas de peso al día final del almacenamiento (día 17) fueron superiores al 8 % en ambos sistemas; los frutos (refrigeración y ambiente), no presentaron síntomas evidentes de marchitez, con excepción de la variedad Golden en refrigeración. Lo anterior presenta un escenario benevolente para la comercialización de las variedades Golden, Amanda y Cocozelle, que no genere sobre costos por refrigeración; por su parte para la variedad Mila el efecto de la refrigeración sobre la pérdida de peso solo es significativo si se mantiene bajo condiciones controladas hasta el momento de la comercialización.

(Línea azul: Ambiente; Línea Roja: Cámara climática). a. Cocozelle; b. Mila; c. Amanda; d. Golden.
Fuente: Elaboración propiaLa Tabla 4 consolida los resultados del análisis de varianza multifactorial en la que se reporta la significancia de los factores: condición de almacenamiento, días de almacenamiento y variedad de calabacín y sus interrelaciones, sobre las variables respuesta pérdida de peso y textura.

Se observa para pérdida de peso un efecto significativo (P<0.05) de las condiciones de almacenamiento, días de almacenamiento y la variedad de calabacín. Sin embargo, las interrelaciones entre estas variables no fueron estadísticamente significativas (P<0.05). La pérdida de peso es una consecuencia de la respiración y del proceso de transpiración natural del vegetal fuertemente influenciada por efecto de la temperatura, humedad relativa y diferencial de la presión de vapor entre el agua libre del alimento y el ambiente (Carvajal Moreno, 2014; Kader & Pelayo-Zaldivar, 2011). Para el caso del calabacín, su recolección en estado de inmadurez fisiológica produce un alto calor de respiración y susceptibilidad a los daños por frío, sumado a lo manifestado por (Romojano Casado, 2016), quien indica que esta condición acelera la pérdida de peso y la sensibilidad al marchitamiento; condiciones que obligan al manejo de temperaturas de conservación desde 7 hasta los 12 ºC según la variedad.
Los resultados de este estudio muestran que existe una influencia del tipo almacenamiento sobre los materiales evaluados, confirmando para las condiciones de trópico bajo los resultados obtenidos por García Galiano (2015) y Urías Orona et al. (2012) para otros países. El tiempo y la temperatura ocasionaron una creciente pérdida de peso en frutos de calabacín, la cual fue mayor cuando se almacenaron al ambiente, debido una mayor tasa de respiración y vías metabólicas activas, que se puede deber a una falencia en la concentración de rafinosa en los frutos, la cual actúa como protector del calabacín contra la deshidratación según indican Palma, Carvajal, Lluch, Jamilena, and Garrido (2014).
En la figura 1a. se observa que no existe diferencia significativa (P<0.05), para la variedad Cocozelle entre la evolución de las cinéticas de pérdida de peso para las dos condiciones de almacenamiento, Mila (Figura 1b), corresponde a la variedad que presenta mayor diferencia en pérdida de peso entre las condiciones de almacenamiento controladas y ambientales, por su parte en las figuras 1c. (Amanda) y 1d. (Golden) son similares puesto que la pérdida de peso en el almacenamiento en cuarto frío es ligeramente inferior al almacenamiento al ambiente. Sin embargo, después del día 17 (pos-almacenamiento), no se presentaron diferencias significativas; comportamiento similar al descrito por Megias et al. (2013), Megías et al. (2016) y Álvarez Gómez (2019), quienes indican que en su ensayo hay diferencias de las cinéticas de pérdida de peso entre variedades.
Las mayores pérdidas de peso en todas las variedades se produjeron durante la primera semana de almacenamiento, situación que concuerda con lo encontrado por Jia et al. (2018) y Vidaña Sánchez (2016), no obstante, Palma, Carvajal, Ramos, Jamilena, and Garrido (2015), observaron las mayores pérdidas después de los siete días de almacenamiento contrario a lo encontrado en este trabajo.
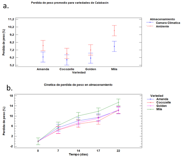
En la figura 2a se presenta la información del promedio de peso perdido durante el total del tiempo de almacenamiento y pos-almacenamiento, en esta se observa un efecto de la condición de almacenamiento de las variedades Amanda y Mila (P<0.05); a partir de las gráficas es posible concluir que Mila corresponde al material con mayor pérdida de peso en ambas condiciones de almacenamiento, mientras que Cocozelle y Golden presentan menores pérdidas y son independientes de la condición de almacenamiento, lo que permite sugerir que ambas variedades pueden ser almacenadas bajo las condiciones de temperatura y humedad relativa evaluadas en este experimento. Resultados similares fueron reportados por Carvajal, Martinez, Jamilena, and Garrido (2011) y Palma et al. (2014), quienes manifiestan que la temperatura de almacenamiento, el tiempo y la variedad tuvieron un efecto significativo en pérdida de peso en frutos de calabacín; sin embargo, esto contrasta con lo expresado por Megías et al. (2016), quienes observaron mayor pérdida de peso en materiales de calabacín almacenados en refrigeración a 4 ºC.

Análisis de textura
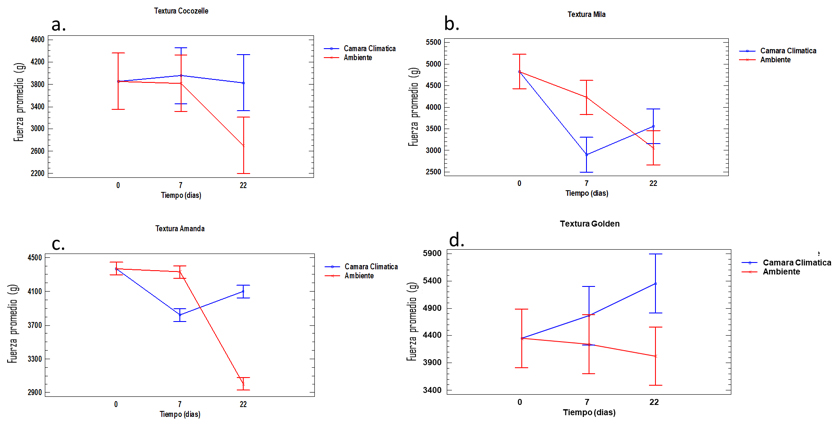
En la Tabla 4 se observa que los factores días de condición de almacenamiento y variedad, mostraron tener efecto significativo sobre la variable de respuesta textura, al igual que las interacciones entre condición de almacenamiento vs días de almacenamiento y días de almacenamiento vs variedad; diferente a lo encontrado por Megías et al. (2016), quienes observaron que la pérdida de firmeza durante el almacenamiento de nueve variedades de calabacín fue diferente, sin embargo no dependió de la temperatura de almacenamiento, como en este caso. El cambio de la textura para la condición de almacenamiento al ambiente se incrementa luego del día 7 para todas las variedades a diferencia de lo reportado por Urías Orona et al. (2012), quienes encontraron que después de tres días de almacenamiento se presenta la mayor pérdida de textura.
La Figura 3 muestra la evolución en el tiempo para la textura en las dos condiciones de almacenamiento y las cuatro variedades de calabacín; en la figura 3a, se observa que la variedad Cocozelle tiene una evolución estable de la textura en ambas condiciones de almacenamiento hasta el día 7; sin embargo, después del día 14 y durante el pos-almacenamiento se notan diferencias según el tratamiento aplicado, presentando una disminución más marcada en los frutos que se dejaron al ambiente; lo que según Leshem et al., (1986) y Brady (1987), los puede hacer más delicados a daños físicos por manipulación y problemas fitosanitarios, además de disminuir la aceptabilidad por parte del consumidor, por su parte, las variedades Mila y Amanda muestran una tendencia similar, en ambas condiciones de almacenamiento la textura disminuye hasta el séptimo día, para luego aumentar (figura 3b y 3c) (Álvarez Gómez, 2019; Carvajal Moreno, 2014; García Galiano, 2015; Glowacz, Colgan, & Rees, 2015) , la variedad Golden (figura 3d), presentó menor fuerza de ruptura de epidermis en condiciones ambientales y mayor en condiciones controladas, tanto en almacenamiento y pos-almacenamiento, esto hace que su fibra sea más resistente posiblemente por su elasticidad, reduciendo la crocancia, debido a la solubilización de protopectinas insolubles que inducen el ablandamiento, la alteración de la estructura intercelular, la degradación del material de la pared celular (Glowacz et al., 2015), a la pérdida de agua, a la mayor resistencia a la desintegración de los tejidos del fruto o como manifiesta Álvarez Gómez (2019), Carvajal Moreno (2014) y García Galiano (2015), al aumento de lignina, lo que produce elasticidad de los tejidos y, por lo tanto, la sonda debe realizar mayor fuerza para penetrar el vegetal, lo que posiblemente afecte una evaluación de calidad del consumidor final, situación que según se debe a una mayor firmeza del fruto si no que estos a través del tiempo se vuelven más elásticos en sus tejidos.

En general en condiciones ambientales se observó una disminución constante en la fuerza de ruptura de la epidermis durante el almacenamiento y pos-almacenamiento, tal como lo observaron Jia et al. (2018) y Álvarez Gómez (2019) cuando almacenó calabacín a 10 ºC.
Evaluación de daños
La Tabla 5, consolida los resultados estadísticos de las pruebas de independencia y grado de asociación entre los factores variedad, condición de almacenamiento y la incidencia de daños en el tiempo. La prueba Chi cuadrado, para las variedades Cocozelle, Mila, y Golden; mostró que existe una interrelación estadísticamente significativa (P<0.05) entre la condición de almacenamiento y la incidencia de daños en estas variedades. Por su parte la variedad Amanda no presentó una relación significativa de asociación entre los factores estudiados y la incidencia de daños en poscosecha. También se pueden observar los valores obtenidos del coeficiente de contingencia, el cual mide el grado de asociación en una escala desde cero (0) hasta uno (1), tal que, se pueda determinar qué tan útil es el factor condición de almacenamiento, para predecir la incidencia de daños en las diferentes variedades.

En las variedades Cocozelle, Mila, y Golden el hecho que fueran sometidas a condiciones controladas de almacenamiento, condiciona directamente una respuesta en su índice de daños en el tiempo. Por su parte el Lambda solo mostró influencia de la condición de almacenamiento sobre el índice de daños de la variedad Golden, la cual como se muestra en las Figuras 4g y 4h, se ve negativamente afectada cuando se somete a condiciones controladas de temperatura y humedad relativa, mostrando daños con severidad 1 y 3 en más del 50% de los frutos después del día 14 y en el 100% hacia el día 22 lo que indica que esta se puede considerar susceptible a la aparición de daños poscosecha, cuando se somete a temperaturas de refrigeración, contrario a lo observado en la variedad Amanda, donde las condiciones de almacenamiento evaluadas no generaron ningún efecto sobre la incidencia de daños poscosecha logrando llegar al final del experimento (día 22) sin daños perceptibles (Figuras 4e y 4f).
En el caso de la variedad Cocozelle (figuras 4a y 4b), se observa que en condiciones de almacenamiento controladas no tuvo incidencia de daños perceptibles hasta el día 17, mientras que en condiciones ambientales desde el día siete se empezaron a detectar deterioros con grado 1 de severidad; por su parte la variedad Mila (figura 4c y 4d), mostró que en condiciones de almacenamiento controlado puede alcanzar siete días sin ninguna alteración perceptible de su calidad, mientras que en condiciones ambientales para el día siete ya se visualizan daños incipientes.

Los resultados permiten concluir que cuando los frutos alcanzaron una pérdida de peso entre 6 y 10 % se comenzaron a hacer visibles los primeros síntomas de deshidratación, confirmando los resultados obtenidos por Urías Orona et al. (2012) quienes determinaron que los primeros síntomas de marchitez del fruto aparecen cuando el fruto tiene 6 % de pérdida de peso.
CONCLUSIONES
Se observa un efecto diferencial en la respuesta de los materiales respecto las condiciones en las que fueron almacenados, por lo que se deben precisar estas condiciones para cada material con el fin de minimizar las pérdidas de peso durante el almacenamiento.
Las variedades Cocozelle y Golden presentaron menores pérdidas de peso, además de no presentar diferencias estadísticamente significativas para la condición de almacenamiento, esto sugiere que ambas variedades pueden ser almacenadas bajo las condiciones de temperatura y humedad relativa ambientales.
Golden presentó menor fuerza de ruptura de epidermis en condiciones ambientales comparada con condiciones controladas, tanto en almacenamiento como en pos-almacenamiento, esto se traduce en perdida de crocancia, lo que posiblemente afecte la evaluación de calidad por el consumidor final.
En cuanto a la variable daños los resultados indican que la variedad Golden corresponde al material que presenta mayores niveles de daños en el tiempo, restringiendo su almacenamiento a un tiempo máximo de siete días y de preferencia bajo condiciones ambientales.
La variedad Amanda no presentó daños perceptibles en ninguna de las dos condiciones de almacenamiento, la pérdida de peso fue intermedia siendo levemente más alta al ambiente.
Los productores del Oriente antioqueño, después de la cosecha, tienen un tiempo de hasta siete días bajo las condiciones ambientales de la zona de producción, para comercializar calabacín de las variedades Cocozelle y Amanda sin que presente una disminución estadísticamente significativa de peso, textura o que se observen daños significativos causados por microorganismos.
Agradecimientos
Corporación Colombiana de Investigación Agropecuaria (AGROSAVIA), Ministerio de Agricultura y Desarrollo Rural de Colombia e Impulsemillas.
LITERATURA CITADA
Álvarez Gómez, J. 2019. Efecto del almacenamiento sobre las propiedades fisicoquímicas de zapallo (Cucúrbita moschata Duch Var. Bolo verde) fresco y mínimamente procesado. (Magister). Universidad Nacional de Colombia-Sede Palmira, Palmira- Colombia.
Barreiro, M. 2000. La calabaza y la calabacita mexicanas en el mercado norteamericano. Claridades Agropecuarias. pp. 3-21.
Blanco Díaz, M. T. 2015. Estudio del potencial de variedades de calabacín para ser transformadas en un producto IV Gama. Suitability of summer squash cultivar to be processed as fresh-cut products.
Cantwell, M., & Kasmire, R. 2007. Sistemas de manejo postcosecha: Hortalizas de frutos. En: Tecnología postcosecha de cultivos hortofrutícolas.
Carvajal, F., Martinez, C., Jamilena, M., & Garrido, D. 2011. Differential response of zucchini varieties to low storage temperature. Scientia Horticulturae. 130(1): 90-96.
Carvajal Moreno, F. 2014. Mejora de la vida comercial, calidad y conservación del fruto de calabacín (Cucurbita pepo L.): estudio comparativo en variedades comerciales. Universidad de Granada.
Fernández Lizarte, A. 2015. Análisis comparativo de la expresión sexual y la postcosecha de diferentes variedades de calabacín bajo condiciones de agricultura ecológica.
García Galiano, J. M. 2015. Efecto de diferentes tratamientos sobre la calidad en la vida poscosecha de frutos de calabacín (Curcubita pepo ssp. pepo L.). Universidad de Almería.
Glowacz, M., Colgan, R., & Rees, D. 2015. Influence of continuous exposure to gaseous ozone on the quality of red bell peppers, cucumbers and zucchini. Postharvest biology and technology, 99: 1-8.
Hardenburg, R. E., Watada, A. E., & Wang, C. Y. 1986. The commercial storage of fruits, vegetables, and florist and nursery stocks. U.S. Department of Agriculture, Agricultural Research Service 66.
Impulsemillas. 2017a. Amanda F1 (Ficha técnica). Retrieved from http://www.impulsemillas.com/documentos/fichas/CALABACIN-AMANDA.pdf
Impulsemillas. 2017b. Golden F1 (Ficha técnica). Retrieved from http://www.impulsemillas.com/documentos/fichas/CALABACIN-GOLDEN.pdf.
Impulsemillas. 2017c. Mila F1 (Ficha técnica). Retrieved from http://www.impulsemillas.com/documentos/fichas/CALABACIN-MILA.pdf
Jaramillo Noreña, J., Aguilar Aguilar, P. A., Villarreal Navarrete, A. d. P., Saldarriaga Cardona, A., Grisales Vásquez, N. Y., Quintero Vásquez, L. M., . . . Macías Vivares, A. d. J. 2019. Modelo productivo de calabacín (Cucurbita pepo) para los departamentos de Cundinamarca y Antioquia. Agrosavia, Mosquera, Colombia.
Jia, B., Zheng, Q., Zuo, J., Gao, L., Wang, Q., Guan, W., & Shi, J. 2018. Application of postharvest putrescine treatment to maintain the quality and increase the activity of antioxidative enzyme of cucumber. Scientia Horticulturae. 239: 210-215.
Kader, A. A., & Pelayo-Zaldivar, C. 2011. Tecnología postcosecha de cultivos hortofrutícolas. UCANR Publications, California, U.S.A.
Kramer, G. F., & Wang, C. Y. 1989. Correlation of reduced chilling injury with increased spermine and spermidine levels in zucchini squash. Physiologia Plantarum. 76. 4: 479-484.
Lin, C.-H., & Chang, C.-Y. 2005. Textural change and antioxidant properties of broccoli under different cooking treatments. Food Chemistry. 90:1-2, 9-15.
Loaiza-Higuera, F. D. 2017. Actualización de la Herramienta HACCP de Elaboradora de Productos Vegetales. Universidad Austral de Chile,
Mármol, J. R. 2000. Cultivo intensivo del calabacín. (Hojas divulgadoras N.˚ 2105 HD). Españá: Ministerio de Agricultura, Pesca y Alimentación.
Martınez-Tellez, M., Ramos-Clamont, M., Gardea, A., & Vargas-Arispuro, I. 2002. Effect of infiltrated polyamines on polygalacturonase activity and chilling injury responses in zucchini squash (Cucurbita pepo L.). Biochemical and biophysical research communications. 295. 1: 98-101.
McCollum, G., Squash, E., Gross, K., Wang, C., & Saltveit, M. 2016. The Commercial Storage of Fruits, Vegetables, and Florist and Nursery Stocks. United States Department of Agriculture (USDA), Springfield, EE. UU. 1: 556-558.
Megias, Z., Manzano, S., Martínez, C., Barrera, A., Garrido, D., Valenzuela, J., & Jamilena, M. 2013. Effects of 1-MCP on different postharvest quality parameters in zucchini. Paper presented at the VI International Conference on Managing Quality in Chains.
Megías, Z., Manzano, S., Martínez, C., García, A., Aguado, E., Garrido, D., . . . Jamilena, M. 2016. Breeding for postharvest cold tolerance in zucchini squash. Paper presented at the VIII International Postharvest Symposium: Enhancing Supply Chain and Consumer Benefits-Ethical and Technological. Issues 1194.
Palma, F., Carvajal, F., Lluch, C., Jamilena, M., & Garrido, D. 2014. Changes in carbohydrate content in zucchini fruit (Cucurbita pepo L.) under low temperature stress. Plant Science. 217: 78-86.
Palma, F., Carvajal, F., Ramos, J. M., Jamilena, M., & Garrido, D. 2015. Effect of putrescine application on maintenance of zucchini fruit quality during cold storage: Contribution of GABA shunt and other related nitrogen metabolites. Postharvest biology and technology. 99: 131-140.
Romojano Casado, A. M. 2016. Tratamiento poscosecha para el control de los daños por frío en frutos climatéricos y no climatéricos. (Doctoral). Universidad de Murcia, Orihuela, Alicante.
Romojaro-Casado, M. D. C. 2016. Tratamientos poscosecha para el control de los daños por frío en frutos climatéricos y no climatéricos. Proyecto de investigación.
Toca Garzón, J. R., & Cabezas-Gutierrez, M. Evaluación del ciclo de crecimiento y desarrollo de dos variedades de calabacín (Cucurbita pepo L.) y determinación del efecto de aplicaciones de nitrato de calcio sobre la calidad de los frutos.
Urías Orona, V., Rangel, D., Osuna Enciso, T., Sañudo Barajas, A., Báez Sañudo, M., Valdez Torres, B., . . . Campos Sauceda, J. 2012. Estado hídrico y cambios anatómicos en la calabacita (Cucurbita pepo L.) almacenada. Fitotecnia Mexicana. 35. 3: 221-228.
Vidaña Sánchez, J. M. 2016. Efectos del etileno y el 1-mcp sobre la calidad post-cosecha de los frutos de calabacín muc-16 conservados en frío.
Wills, R. B. H., McGlasson, W., Graham, D., & Joyce, D. 2007. Postharvest: an introduction to the physiology and handling of fruit, vegetables and ornamentals: CABI.
Notas de autor