Gestión Humana
Recepción: Agosto 2013
Aprobación: Diciembre 2014
DOI: https://doi.org/10.15446/innovar.v26n59.54367
Resumen: La preocupación de las empresas por el clima laboral ha sido creciente desde su concepción, pues se le atribuye impacto directo en el resultado de las organizaciones. El presente trabajo revisa los conceptos y constructos implicados en la medición de clima laboral, los que se vinculan con prácticas de recursos humanos de alto desempeño (PAR). A la vez se investiga la relación del clima laboral en el desempeño de una empresa de recursos naturales en Chile.
Clasificación JEL: J28, M12, C69.
Palabras clave: Gestión de recursos humanos, prácticas de recursos humanos de alto desempeño (PAR), clima laboral.
Abstract: The concern of organizations for work climate has been increasing since its inception, as it is credited with a direct impact on their performance. This work examines the concepts and constructs involved in measuring work climate, linked to high-performance HR practices. Likewise, the relationship of work climate on the performance of a natural resources company in Chile is studied. This research used the responses of 84 workers to a survey on work climate applied in order to evaluate a proposed model. In addition, the importance of climate factors in predicting outcome variables such as satisfaction, motivation and performance was analyzed. For this, statistical factor analysis and logistic regression techniques were used. Organizational environment factors identified in this sample are: Compensation and justice; self-managed teams, teamwork and leadership; quality and effectiveness; communication; environmental sustainability; reducing fear and increasing confidence; work safety and performance support. Results show that the first are the most important and influential: compensation and justice; self-managed teams, teamwork and leadership; quality and effectiveness.
Clasificación JEL: J28, M12, C69.
Keywords: Human Resource Management, high-performance HR practices, work climate.
Resumo: A preocupação das empresas pelo ambiente corporativo tem sido crescente desde sua concepção visto que é atribuído a ele impacto direto no resultado das organizações. Este trabalho revisa os conceitos e constructos implicados na medição do ambiente corporativo, os quais estão vinculados com práticas de recursos humanos de alto desempenho. Paralelamente, pesquisa-se sobre a relação do ambiente corporativo no desempenho de uma empresa de recursos naturais no Chile. Para avaliar um modelo proposto, este estudo utiliza a resposta de 84 trabalhadores que participaram de uma pesquisa de ambiente corporativo. Além disso, pesquisou-se a importância dos fatores de ambiente na previsão de variáveis de resultado, como satisfação, desempenho e motivação. Para isso, utilizaram-se as técnicas estatísticas de análise fatorial e regressão logística. Os fatores de ambiente organizacional identificados nessa amostra são: remuneração e justiça; equipes autogeridas, trabalho em equipe e liderança; qualidade e efetividade; comunicação; sustentabilidade ambiental; redução do medo e aumento da confiança; segurança no trabalho; apoio para o desempenho. Os fatores mais relevantes e inclusivos são os primeiros: remuneração e justiça; equipes autogeridas, trabalho em equipe e liderança; qualidade e efetividade.
Clasificación JEL: J28, M12, C69.
Palavras-chave: Gestão de recursos humanos, práticas de recursos humanos de alto desempenho, ambiente corporativo.
Résumé: La préoccupation des entreprises pour l'environnement de travail a augmenté depuis sa conception, puisqu'on lui attribue un impact direct sur les résultats des organisations. Ce document passe en revue les concepts et les constructions qui ont rapport à la mesure de l'environnement de travail et aux pratiques de ressources humaines à haute performance. En même temps, on étudie l'effet de l'environnement de travail sur la performance d'une entreprise de ressources naturelles au Chili. L'étude a utilisé les réponses de 84 travailleurs au sondage sur l'environnement de travail pour évaluer un modèle proposé. En plus, on a étudié l'importance des facteurs environnementaux sur la prédiction des variables de résultats comme la satisfaction, la performance et la motivation. Pour cela, on a utilisé des techniques statistiques d'analyse factorielle et régression logistique. Les facteurs de climat organisationnel identifiés dans ce prélèvement sont: rémunération et justice; équipes autogérées, travail d'équipe et leadership; qualité et efficacité; communication; durabilité environnementale; réduction de la peur et renforcement de la confiance; sécurité de l'emploi, et soutien de la performance. Les facteurs les plus importants et influents sont les premiers : rémunération et justice, équipes autogérées, travail d'équipe et leadership; qualité et efficacité.
Clasificación JEL: J28, M12, C69.
Mots-Clé: Gestion des ressources humaines, pratiques de ressources humaines à haute performance, environnement de travail.
Introducción
La necesidad de revisar el modelo organizacional de las empresas se hace cada vez más urgente, toda vez que las expectativas de los empleados y de los diversos stakeholders son crecientes y abarcan nuevas dimensiones. La motivación y compromiso intrínsecos de los empleados de las décadas pasadas ha dado paso a trabajadores que demandan inclusión, participación, desafío y reconocimiento (Ospina, 2010; Yu y Miller, 2005). Algunos autores indican que las metodologías de administración clásica no han cambiado significativamente en el último tiempo y no están siendo capaces de motivar que los empleados entreguen diariamente su esfuerzo y creatividad. A estos últimos les preocupan temas de las organizaciones que van más allá de la labor productiva en sí y de la remuneración financiera asociada (Hamel, 2008; Pink, 2009). Lo anterior, sumado a la presión del entorno a cumplir con la responsabilidad social empresarial y la necesidad de las empresas de ser más competitivas, innovadoras y flexibles, hace que el panorama global no sea auspicioso si no se generan los cambios necesarios a tiempo (Brion, Mothe y Sabatier, 2010; Hamel, 2012; Ospina, 2010; Pfeffer, 2007; Pink, 2009).
Una de las propuestas que se ha planteado para superar las situaciones de desmotivación y bajo compromiso es la implementación de prácticas de recursos humanos de alto desempeño (PAR) que, cuando son establecidas en conjunto, generan sinergia y son la base para generar compromiso, motivar a las personas y, por esa vía, mejorar los resultados de la compañía en el largo plazo (Ahmad y Schroeder, 2003; Delaney y Huselid, 1996; Luna y Camps, 2008; Subramony, 2009). La evidencia entre la relación de una adecuada gestión de personas y el desempeño de la organización ha llevado a que varios autores no duden en calificar un recurso humano administrado adecuadamente como un activo valioso e, incluso, una ventaja competitiva (Ahmad y Schroeder, 2003; Danvila y Sastre, 2007; Delaney y Huselid, 1996; Huselid y Becker, 1997; Lepak y Snell, 1999; Pereda, Berrocal y López, 2004; Pfeffer, 1998).
Otra de las propuestas que se ha planteado para superar las situaciones de desmotivación y bajo compromiso son las nuevas corrientes que reformulan la gestión radicalmente, en lo que algunos autores denominan gestión 2.0. Esta contiene entre sus pilares la innovación, la adaptabilidad y la flexibilidad, sumadas a no perder el foco, la excelencia y la orientación al resultado. Dichos pilares logran organizaciones más competitivas y preparadas para sobrevivir a los continuos cambios a los que la mayoría de las organizaciones están expuestas actualmente (Adner y Helfat, 2003; Brion et al., 2010; Hamel, 2012; Ospina, 2010; Pink, 2009).
Este trabajo propone un modelo de medición de clima organizacional que considera dimensiones prácticas y un listado enriquecido y complementado de ideas clásicas (Ashton y Sung, 2002; Delaney y Huselid, 1996; Evans y Davis, 2005; Huselid, 1995; Luna y Camps, 2008; Pfeffer, 1998, 2007; Walton, 1985), y otras más disruptivas de autores considerados revolucionarios (Grant, 2008; Hamel, 2008, 2012; Pink, 2009; Tamkin, 2004). El modelo propuesto considera las siguientes dimensiones: "organización con un propósito", "selección", "reducir el miedo e incrementar la confianza", "alto nivel de remuneración y vínculo con el desempeño", "formación", "equipos autogestionados, trabajo en equipo y liderazgo", "compartir información", "equidad y justicia" y "organización sustentable".
Además, en este trabajo se evalúa el modelo propuesto con base en medidas presentes en una empresa de recursos naturales de Chile y se investiga cuáles tienen mayor impacto en ciertas variables de resultado organizacional. Finalmente, se identifican en este trabajo los desafíos que involucra la implementación exitosa de las prácticas de recursos humanos de alto desempeño y, con base en los resultados encontrados, se proponen acciones que permitan mejorar la percepción del clima laboral de la organización y consecuentemente alinear aún más a los empleados con los objetivos de la organización.
Marco teórico
Existe evidencia de que los buenos resultados empresariales se obtienen por el modo como las empresas gestionan su recurso humano y el contexto en el cual se desenvuelven. Es así como surge el concepto de PAR en su modo más clásico y las nuevas ideas de realizarlo a través de la gestión 2.0. Adicionalmente, el impacto de la gestión del recurso humano se ve influenciado por el clima laboral imperante en la organización y factores como la cultura, tanto de la organización como de la industria y el país (Ahmad y Schroeder, 2003; Combs, Liu, Hall y Ketchen, 2006).
La búsqueda de las PAR que expliquen los buenos resultados de las empresas ha sido una preocupación creciente y dinámica desde los años 80, no solo porque evolucionan los mercados y cambian las condiciones económicas, sino también porque la fuerza laboral se comporta de modo distinto según la generación a la que pertenece y al periodo en el cual ha estado empleada (Kooij, Guest, Clinton, Knight, Jansen y Dikkers, 2013; Marchington y Wilkinson, 2005; Yu y Miller, 2005).
Las PAR son conceptos, prácticas, variables, ideas y componentes que en su conjunto logran comprometer y empoderar a la fuerza laboral de una organización con alto desempeño (Moreno, 2011; Tamkin, 2004). Las medidas de desempeño de las PAR son las consecuencias benéficas de su implementación. Algunas son fácilmente cuantificables; por ejemplo, la valorización financiera de la empresa, rendimiento o productividad de la organización, menor ausentismo y rotación del personal, ventas, ganancias, calidad de productos, reducción de fallas, etc. Otras, igualmente importantes, que no son directamente cuantificables son: compromiso, motivación y satisfacción de los empleados, creatividad, innovación, flexibilidad, satisfacción del cliente, prestigio o reputación de la marca, entre otras. (Becker y Gerhart, 1996; Conci, 2012; Hamel, 2009; Katzenbach, Steffen y Kronley, 2012; Marchington y Wilkinson, 2005; Pfeffer, 2007; Tamkin, 2004).
Considerando que el impacto de la gestión del recurso humano se ve influenciado por el clima laboral, es importante para este trabajo definir dicho concepto. Schneider, Ehrhart y Macey (2013) definen clima organizacional como las percepciones compartidas respecto de prácticas, procedimientos y políticas que experimentan los empleados, y los comportamientos que ellos observan son recompensados y que se esperan y promueven al interior de la organización. La definición anterior rescata la idea de "percepciones" y se complementa con la influencia en "rendimiento o performance en el trabajo" que establecen otros autores (Boada, De Diego y Agulló, 2004; Cuadra y Veloso, 2007; Durán, 2003; Kouzes y Posner, 2011). Chiavenato (2002) es explícito en reconocer que en las empresas existe preocupación por el clima organizacional y el impacto que este puede tener, de ahí el interés en medir y compararse con otras empresas o con el mercado. Los instrumentos más utilizados para medir clima son las encuestas, siendo más importante la forma y el contexto en que se miden sus resultados que el tipo de instrumento propiamente dicho (Patterson, West, Shackleton, Dawson, Lawthom, Maitlis, Robinson y Wallace, 2005; Schneider et al., 2013). Varios autores proponen una diversidad de encuestas y distintas dimensiones o factores que afectarían el clima laboral, de ahí el interés de identificarlos y medirlos a través de este tipo de instrumentos.
Existe una vinculación directa entre clima laboral, PAR y desempeño que ha sido estudiada y presentada por diversos autores. Por ejemplo, Ahmad y Schroeder (2003) proponen que los gerentes deben promover un clima organizacional que genere compromiso de los empleados; su estudio comprobó la vinculación directa entre las PAR y uno de los resultados del clima organizacional: el compromiso. Patterson et al. (2005) relacionan prácticas de administración con predicción de clima, razón por la que se consideran ciertas prácticas, incluyendo prácticas de alto desempeño, como factores de clima laboral. Gelade e Ivery (2003) y Neal, West y Patterson (2005) encontraron una relación significativa entre el clima organizacional, las prácticas de recursos humanos y el desempeño organizacional; en particular sus estudios demostraron el efecto mediador del clima organizacional, medido a través de encuestas, en el impacto de las prácticas de recursos humanos sobre el desempeño organizacional.
A pesar de la diversidad de PAR o factores que influyen en el clima, la revisión de los aportes teóricos de distintos autores y los trabajos empíricos que se han realizado permite identificar los más relevantes e incorporar a esa lista conceptos más innovadores, tales como los provenientes de la Gestión 2.0. Es así que, basándose en las dimensiones que propone Pfeffer (1998, 2007) e ideas de Gestión 2.0 de Hamel (2009, 2012), se elaboró el modelo propuesto en este trabajo, que consta de nueve factores:
Organización con un propósito
Este factor fue identificado por autores como Boada et al. (2004), quienes lo vincularon con la importancia que tiene la significancia del trabajo para la motivación de las personas. Pink (2009), por su lado, describe que los seres humanos por naturaleza buscan un propósito en la vida, algo que les dé trascendencia. Hamel (2009) describe la necesidad de las empresas de "posibilitar comunidades de pasión", e indica que la "pasión" es un multiplicador de la realización humana cuando individuos que piensan similar se unen en una causa noble. Las metas de la administración generalmente están descritas en palabras como "eficiencia", "ventaja", "valor", "superioridad", "foco" y "diferenciación", su importancia es indiscutible; sin embargo, poco logran encantar a las personas. Los negocios deben asociarse con ideales profundos, motivadores y de sentimiento tales como honor, verdad, amor, justicia y belleza.
Selección
La variable selección, considerando su espectro completo desde reclutamiento hasta desvinculación, es una de las PAR que presenta una de las más altas incidencias (impacto) en el desempeño (resultado financiero) según los resultados del estudio realizado por Luna y Camps (2006) a directivos de empresas españolas. Pfeffer (1998), a su vez, indica que las organizaciones con altas expectativas necesitan asegurar que su reclutamiento se realice con las personas correctas en los puestos de trabajo precisos, o sea, indica que la contratación debe ser selectiva.
Hoy la preparación técnica estaría perdiendo importancia como elemento de selección frente a otras competencias, tales como las asociadas a materias de relaciones sociales. Un ejemplo de esto es la adaptación a la cultura de la empresa, que sería un indicador de permanencia en la organización y consecución de éxito en la carrera de los empleados (Delaney y Huselid, 1996; Evans y Davis, 2005; Pfeffer, 2007).
Reducir el miedo e incrementar la confianza
Una de las causas de las actitudes negativas en el trabajo es el temor a ser despedido. La tendencia a la reducción de las empresas o el temor a que las ideas y creatividad causen la prescindencia de puestos de trabajo atentan contra el compromiso, la motivación y la innovación (Hamel, 2008; Pfeffer, 2007). A la vez, los sistemas de control de la administración clásica reflejan desconfianza en el compromiso y competencias de los empleados y tienden a focalizarse en las sanciones para asegurar cumplimiento, atentando contra la adaptabilidad, la innovación y el compromiso (Boada et al., 2004; Hamel, 2008; Luna y Camps, 2006; Pfeffer, 2007). En este sentido, los autores recomiendan que no debe estigmatizarse el error y su ocurrencia debe ser motivo de análisis y no de castigo.
Alto nivel de remuneración y vínculo con el desempeño
La remuneración siempre ha estado incluida en las listas de PAR de los autores más reconocidos (Walton, 1985; Huselid, 1995; Delaney y Huselid, 1996; Luna y Camps, 2008; Ashton y Sung, 2002; Evans y Davis, 2005; Pfeffer, 2007; Moreno, 2011). Tiene un impacto directo en el empleado, especialmente cuando se perciben problemas asociados al nivel, percepciones comparativas negativas o poca transparencia en su determinación. Además, aunque los mercados laborales están lejos de ser perfectos, se ha comprobado una relación importante entre lo que la firma paga y la calidad de la fuerza de trabajo que atrae (Marchington y Wilkinson, 2005; Pfeffer, 1998).
Equidad y justicia
La percepción de equidad y justicia como un factor importante para el clima laboral de los empleados ha sido reconocida por varios autores. Pfeffer (1998) indica que las organizaciones funcionan a un alto nivel cuando se envían señales a los trabajadores de que son valiosos y valorados, reduciendo las diferencias entre los niveles de la organización. Esto se puede lograr simbólicamente a través de una comunicación directa y transparente, espacios físicos comunes, vestimenta similar. En este factor se identifica también un aspecto muy ligado al ítem remuneración con un énfasis en su aspecto de ecuanimidad, es así como una reducción del grado de diferencias en la remuneración, una política de beneficios, ascensos y evaluación del desempeño conocidas, claras y transparentes que justifiquen las compensaciones, ascensos o despidos, son consideradas como básicas para generar compromiso y satisfacción. Además con ello las ganas de emigrar de la organización decrecen ampliamente (Durán, 2003; Pfeffer, 2007).
En particular, cuando la remuneración financiera asociada al desempeño es considerada justa y equitativa por los empleados, posee la ventaja que moviliza a entregar mayor esfuerzo. Entonces, el desafío para los administradores es establecer sistemas de medición del desempeño adecuados. A menudo los sistemas de medición de desempeño tienen muchas falencias y tienden a sobre-enfatizar el cumplimiento de objetivos con beneficios de corto plazo y no valorar otros objetivos importantes, como crear plataformas para nuevos crecimientos o satisfacer clientes en el largo plazo. Para enfrentar estas limitaciones se deben crear sistemas de medición holísticos (Hamel, 2008).
Formación
La formación o entrenamiento es vital para el desempeño de las organizaciones. Las empresas japonesas tienen más horas de entrenamiento que sus competidores del resto del mundo y esto sería una de las explicaciones para su rendimiento superior (Hamel, 2008; Pfeffer, 1998). El entrenamiento mejora habilidades y competencias, además que activa la norma de reciprocidad; cuando un empleado recibe entrenamiento siente cierta obligación de retribuir con mayor esfuerzo y compromiso. El vínculo es aún más fuerte cuando el entrenamiento es inesperado, ya sea por el tipo de negocio o nivel jerárquico del empleado (Delaney y Huselid, 1996; Luna y Camps, 2006; Pfeffer, 1998, 2007).
Equipos autogestionados, trabajo en equipo y liderazgo
Los trabajadores que participan en equipos autogestionados disfrutan de una mayor autonomía y discreción, afectando positivamente la satisfacción en el trabajo. Ellos prefieren este método de control y su resultado supera ampliamente al control o supervisión directa. Las ventajas de trabajar de este modo radican en una reducción de energía y recursos de control, la organización se torna más plana y se destina más tiempo a activar las relaciones sociales promoviendo intercambio de información y facultando a los empleados de todos los niveles a tomar decisiones más adecuadas. El rol de los líderes es facilitar que se establezcan las sinergias anteriores, generando instancias de participación e información oportuna a todo nivel, equipos con roles claros y flexibles, ambientes de trabajo percibidos como justos, promover el respeto, entre otros (Boada et al., 2004; Durán, 2003; Hamel, 2008; Pfeffer, 2007).
Compartir información
Compartir temas como el rendimiento financiero, la estrategia y las medidas de operaciones lleva a que las personas sientan que se cree realmente en ellas y que no hay secretos. Adicionalmente, las personas entrenadas y motivadas no pueden contribuir a mejorar el desempeño organizacional si los empleados no tienen la información sobre las dimensiones importantes del desempeño y si no reciben entrenamiento para manejar adecuadamente dicha información. Las empresas o sus líderes generalmente argumentan dos razones por las que no se comparte la información: primero, se piensa que la información es poder (y compartirla distribuye el poder); segundo, algunas empresas creen que dicha información se puede filtrar a su competencia creando una desventaja para su organización (Pfeffer, 1998).
Hamel (2008) plantea derechamente crear una democracia de la información. Indica que esta es útil justamente en la interfase entre los empleados y clientes. Los empleados de primera línea deben estar informados y empoderados de tal forma que ellos puedan hacer lo correcto sin tener que consultar o pedir permiso.
Organización sustentable
Si bien los pilares económico y ambiental de la sustentabilidad están bastante internalizados por las empresas o controlados por ley en la mayoría de las naciones, el aspecto social ha tomado relevancia más recientemente. Autores como Durán (2003) vinculan este pilar al sentir de los empleados a través del concepto de conciencia social. Hamel (2008) establece que en el mundo interdependiente del futuro prevalecerán los objetivos colaborativos de ganar-ganar; profundiza indicando que las estructuras corporativas de administración actual exacerban el conflicto, promoviendo los intereses de ciertos grupos, como los de ejecutivos-sénior o los capitalistas, a expensas de otros, como los trabajadores o las comunidades locales.
En el futuro, los sistemas de administración deben reflejar los valores de comunidad y ciudadanía reconociendo la interdependencia de todos los grupos de partes interesadas.
Metodología
Para evaluar el modelo propuesto en este trabajo se utilizó la base de datos de la encuesta de clima laboral aplicada por la empresa de recursos naturales en estudio en el año 2010; debido a la limitación de recursos, no se generó un instrumento específico que midiera particularmente cada uno de los factores propuestos por el modelo en este trabajo. La encuesta utilizada cuenta con 77 preguntas que se crearon originalmente para medir 17 factores: 1) calidad de vida laboral, 2) compromiso general, 3) comunicación, 4) cultura e innovación, 5) direccionamiento estratégico, 6) gestión del desempeño, 7) gestión del talento, 8) imagen externa, 9) medio ambiente, 10) oportunidades de desarrollo, 11) reconocimiento y respeto, 12) recursos, 13) remuneración y beneficios, 14) satisfacción con el cargo, 15) seguridad y salud ocupacional, 16) superior inmediato y 17) trabajo en equipo, y que a su vez se agrupan para medir cuatro dimensiones (efectividad de la empresa, efectividad individual, desarrollo y reconocimiento, y compromiso). Esta estructura se puede ver en la Figura 1.

Los ítems están fraseados como afirmaciones para los cuales el encuestado debe expresar su acuerdo en una escala de tipo Likert de cinco puntos, con la posibilidad de abstenerse y con los extremos "muy en desacuerdo" y "muy de acuerdo", siendo lo adecuado para este tipo de estudios (Hinkin, 1995).
El universo de la muestra está constituido por todos los trabajadores de los cinco niveles jerárquicos de la empresa con antigüedad laboral superior a un año, es decir un total de 84 personas. La participación en la encuesta fue voluntaria; sin embargo, alcanzó al 100% de los facultados para participar. Si bien la base de respuestas no se vinculó con datos demográficos debido a que de parte de la empresa se indicó que podía inferirse la identificación de algunos participantes, estos fueron proporcionados en forma general y correspondieron a 69 hombres y 15 mujeres, edad media de 38 años y antigüedad promedio de 9 años en la empresa.
Para lograr los objetivos de este trabajo se seleccionaron y reclasificaron las preguntas de la encuesta de Clima 2010 que, de acuerdo a la propuesta teórica, representaban mejor a cada factor propuesto. Paralelamente se identificó un grupo de preguntas como variables dependientes; es decir, sus respuestas representaban resultados o desempeño de la empresa asociable a las PAR. Estas variables son: satisfacción del cargo, satisfacción general, resultado, motivación con el cargo, motivación y compromiso.
Para el análisis de datos en esta investigación se utilizó análisis factorial exploratorio (AFE) y así se evaluó el ajuste del modelo propuesto para medir el constructo o factor no observable (clima laboral) a través de un conjunto de variables observables. El AFE tiene la ventaja de reducir la multiplicidad de pruebas y medidas, llevándolas a una mayor simplicidad; además, indica qué medidas pertenecen a un conjunto y en qué medida lo hace, por ello se escogió este método (Hair, 1999).
Para el tratamiento inicial de los datos se adoptó la metodología sugerida por Hinkin (1995), se excluyeron las preguntas e individuos con altas abstenciones (mayores al 30%) y se analizó la correlación entre preguntas considerando para excluir las menores a 0,3. Luego de verificar la confiabilidad de los ítems para medir los factores propuestos a través del alfa de Cronbach y la pertinencia del AFE según lo recomendado en la literatura (Hair, 1999), se realizó este último análisis (Hinkin, 1995; Tabachnick, Fidell y Osterlind, 2001).
Para analizar la vinculación del clima laboral con las variables dependientes, satisfacción del cargo, satisfacción general, desempeño, motivación y compromiso, se utilizó regresión logística binaria de las variables dependientes con las variables independientes obtenidas del AFE. Se utilizó este método porque, a pesar de que existían 5 categorías inicialmente, estas se agruparon y se creó una variable dicotómica (aprueba o desaprueba), concentrando las medidas negativas en las respuestas 1, 2 y 3 y las positivas en 4 y 5. A modo de ejemplo, satisfacción con la empresa, medido con la pregunta "siento orgullo de trabajar en la empresa", las respuestas 1, 2 y 3 se agruparon asignando valor 1 (no cumple las expectativas de la empresa), mientras que las respuestas 4 y 5, en cambio, representan el cumplimiento de lo esperado.
Además, se evaluó la significancia del modelo con las pruebas recomendadas (-2 Log de verosimilitud, R cuadrado de Cox y Snell y R cuadrado de Nagelkerke), se revisó el impacto de cada factor en la variable dependiente mediante análisis de su significancia (prueba de Wald) y, finalmente, se identificó el factor que influye de mayor forma a través de la revisión de la magnitud del factor EXP B.
Tanto el análisis de correlaciones, el AFE y la Regresión Ordinal descritas anteriormente se realizaron utilizando el software SPSS Statistics versión 17.0.
Resultados
Con la base de datos completa se realizó un AFE; para efectuarlo se excluyeron las abstenciones sobre el 30% (datos perdidos), se eliminó tanto a un individuo como cuatro preguntas, y para los demás datos perdidos se reemplazó por la media de la pregunta. En resumen se consideraron 73 preguntas y 83 individuos.
Adicionalmente, se realizó un análisis de correlaciones del cuestionario completo, lo que permitió comprobar si las preguntas presentaban correlaciones adecuadas entre ellas. Este proceso permitió separar de la base tres preguntas que presentaban baja correlación con todas las demás, el resto presentaba correlaciones superiores a 0,3, lo mínimo recomendable (Hinkin, 1995).
Posteriormente se seleccionaron y reagruparon las preguntas en los factores del modelo propuesto en este trabajo. Resultó que solo ocho de los nueve factores (la excepción es selección, el factor 2) se podrían medir con las preguntas disponibles en la base de datos. Con lo anterior se estructuró un nuevo set con 47 preguntas distribuidas en dos bloques: el primero consta de 40 preguntas que miden los factores propuestos por el modelo: organización con un propósito, reducir el miedo e incrementar la confianza, alto nivel de remuneración y vínculo con el desempeño, formación, equipos autogestionados, trabajo en equipo y liderazgo, compartir información, equidad y justicia, y organización sustentable (tal como se indicó, el factor selección no quedó representado). El segundo bloque de siete preguntas mide el compromiso, resultado o desempeño en el trabajo, motivación y satisfacción del cargo y empresa.
Así, la base de datos obtenida integró 83 observaciones para cada una de las 40 preguntas, haciendo una razón de observaciones de 83/40 = 2,08, lo que se considera bajo, ya que la recomendación es que este índice sea superior a cinco; sin embargo, se aminora ese problema debido a que se trata prácticamente de un censo.
En la Tabla 1 se presenta el número de preguntas por factor y el alfa de Cronbach entre las mismas. Este mide la fiabilidad o, dicho de otra forma, el grado de asociación entre las preguntas consideradas en cada factor. El total de los factores utilizados muestran un alfa de Cronbach superior a 0,65, valores que se encuentran sobre 0,6, límite recomendado para trabajar con ellas (Leech, Barret y Morgan, 2005). En la misma tabla se incluye el resultado evaluado en la encuesta, es decir, el promedio de la evaluación de las preguntas asociadas al correspondiente factor.

Con la clasificación descrita y con la solidez de fiabilidad entre los factores, se evaluó la pertinencia del análisis factorial para agrupar las preguntas en factores comunes mediante los siguientes análisis:
La matriz de correlaciones entre las variables, para la cual lo deseable es que haya una mayoría de correlaciones significativas entre ellas, lo que sucede en este caso.
El valor del determinante, calculado con los elementos de la matriz, resultó cercano a cero (9,26E-018).
La prueba de esfericidad de Bartlett, cuyo coeficiente ha resultado en 2.150 con significación de 0,000.
El coeficiente KMO (Kaiser-Meyer-Olkin), que ha sido de 0,862, resultando adecuado e indicando suficientes ítems para cada factor.
La matriz anti-imagen, con sus coeficientes de correlaciones parciales entre las diferentes variables, cuyos valores han sido pequeños en su mayoría.
Los coeficientes de adecuación de la muestra (MSA), los que han resultado mayores de 0,7.
Las comunalidades, que señalan la relación de una variable con las restantes y que todas han sido superiores a 0,5.
Estas siete pruebas señalan de manera contundente que el análisis factorial es apropiado para aplicarse a esta serie de preguntas con el objeto de reducir o agruparlas en factores.
Primero se procedió a obtener una solución sin rotación. Se obtuvieron ocho factores con eigenvalores mayores que la unidad, con el primero explicando 42,68% de la varianza (los detalles se presentan en la Tabla 2). En total la varianza explicada por los ocho factores asciende a 73,48% que, al ser un valor alto, señala que la solución encontrada es aceptable. Sin embargo, debido a las cargas factoriales asociadas, esta solución no satisface el objetivo de reducir las preguntas a un conjunto de factores explicables.

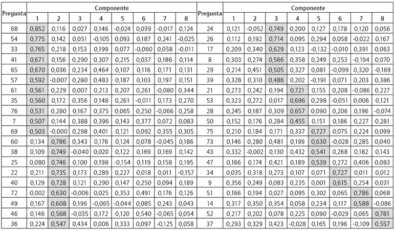
En consecuencia, aun cuando el análisis factorial es recomendable, la solución actual sin rotar no resulta satisfactoria, por lo que se procede a buscar una solución rotada, utilizando el método Varimax, que representa una rotación ortogonal de los ejes y que arroja resultados con 13 iteraciones. Con dicho procedimiento, la nueva solución sí separa las variables; el resultado se presenta en la Tabla 3.

Al analizar la agrupación que arroja el AFE con Varimax y el tipo de preguntas asociadas a cada factor, se aprecia que existe una relación entre el modelo propuesto y los resultados. El factor 1 concentra todas las preguntas vinculadas a dos factores que originalmente correspondían a "alto nivel de remuneración" y "equidad y justicia", que se denominará "remuneración y justicia". En el factor 2, se encuentran la mayoría de las preguntas asociadas a "equipos autogestionados, trabajo en equipo y liderazgo" coincidiendo con el modelo propuesto. El factor 3, asocia aspectos relacionados con "organización con un propósito" y "formación", y se denominará en adelante "calidad y efectividad". El factor 4, con aspectos sociales de "organización sustentable" y "compartir información" se denominará "comunicación". El factor 5, se relaciona con elementos de sustentabilidad, concentrándose en uno de sus aspectos, y se denominará "sustentabilidad ambiental". El factor 6, "reducir el miedo e incrementar la confianza", calza perfecto con el modelo propuesto. El factor 7, separa otro aspecto de sustentabilidad aislando el concepto de "seguridad laboral". Finalmente el último (factor 8), que agrupa los conceptos de equipos autogestionados, trabajo en equipo y liderazgo, se denominará "apoyo para el desempeño".
Luego se procedió a la estimación de los parámetros de la regresión logística binaria, para lo cual se utilizaron seis de las siete variables independientes identificadas. Como se observa en la Tabla 4, el modelo de la regresión predice un porcentaje elevado de las respuestas; los valores mínimos corresponden a 34,3% para satisfacción con el cargo, si consideramos el valor de R cuadrado de Cox y Snell, y 57,2%, si consideramos el de Nagelkerke, lo que corresponde a la medida de "motivación con el cargo".

En la Tabla 5 se ilustra la salida de la regresión, que resultó ser significativa para todas las variables dependientes. Se presentan los resultados por cada factor de clima siendo significativo en la explicación del modelo cuando la probabilidad es menor a 0,1 (10%). Se destacan los factores que tendrían influencia en la explicación de la correspondiente variable dependiente. De lo anterior, y presentado en la Tabla 6, se infiere que en esta muestra los factores que influyen en la probabilidad de obtener respuestas positivas (chance de elegir los niveles satisfactorios) y por ende que impactan en el resultado de la variable dependiente indicada son los siguientes:


"Me gusta lo que hago en la empresa". Esta pregunta se asocia a satisfacción con el cargo y los factores que la afectan son: remuneración y justicia; equipos autogestionados, trabajo en equipo y liderazgo; calidad y efectividad, y seguridad laboral. La evaluación de esta pregunta fue buena, alcanzando un 83%.
"Siento orgullo de trabajar en la empresa". Esta pregunta se asocia a satisfacción general con la empresa y los factores que la afectan son: remuneración y justicia; calidad y efectividad; sustentabilidad ambiental; equipos autogestionados, trabajo en equipo y liderazgo, y comunicación. Esta pregunta fue evaluada con un 65%.
"Creo que la empresa es eficiente para responder a los cambios del entorno (mercado, competidores, tecnología, etc.)". Esta pregunta se asocia a resultado de la empresa y los factores que la afectan son: remuneración y justicia; calidad y efectividad; reducir el miedo e incrementar la confianza; comunicación; apoyo para el desempeño y seguridad laboral. Su evaluación ascendió a 63%.
"Me siento motivado por hacer más de lo que mi cargo me exige". Este ítem se asocia a motivación por el trabajo o cargo y proactividad, y se ve afectado por los factores: remuneración y justicia; equipos autogestionados, trabajo en equipo y liderazgo; reducir el miedo e incrementar la confianza y apoyo para el desempeño. Fue evaluado con un 61%.
"La empresa me motiva para dar un esfuerzo extra en mi trabajo". Esta afirmación se asocia a motivación por la empresa y se ve afectada por los factores: remuneración y justicia; seguridad laboral y reducir el miedo, e incrementar la confianza. La evaluación de esta pregunta fue muy pobre, alcanzando solo un 23%.
"Estoy comprometido con el éxito de la empresa". Esta pregunta mide compromiso y se ve influida por los factores: remuneración y justicia; comunicación; equipos autogestionados, trabajo en equipo y liderazgo; calidad y efectividad; sustentabilidad ambiental; apoyo para el desempeño, y seguridad laboral. Esta pregunta fue evaluada con un 77%.
Esto muestra que el clima laboral se relaciona con las siguientes variables que influyen en el resultado organizacional: a) motivación general y en el cargo, b) satisfacción general y en el cargo, c) desempeño o resultado y d) compromiso.
El factor de remuneración es el de mayor importancia en la definición de clima laboral y a su vez es el que tiene mayor impacto en los modelos predictivos de las variables "motivación general y en el cargo", "satisfacción general y en el cargo", "resultado o desempeño", "compromiso".
Discusión y conclusiones
A partir del análisis en detalle de los ítems, se puede inferir que el cuestionario original aplicado por la empresa contiene preguntas que no serían relevantes para la medición del modelo de clima laboral propuesto y no constituirían realmente prácticas de alto desempeño. Por lo anterior, se considera que los factores y dimensiones con las cuales la empresa agrupa y evalúa el clima laboral, además de ser muchos, no se ajustan a las propuestas teóricas encontradas durante esta investigación.
El tener un modelo con factores robustos es fundamental para establecer acciones que mejoren la percepción de clima laboral de los empleados. Esto no significa necesariamente que las acciones que esté emprendiendo la empresa no colaboren en el propósito de mejorar el clima laboral (con el intento final de mejorar el desempeño), sino que probablemente no se logra el impacto, las sinergias u optimización de los recursos que se están invirtiendo.
El AFE para el modelo propuesto en este trabajo agrupa, aunque no exactamente, factores de clima laboral. El análisis posterior de los resultados y el contraste con la teoría mostraron que era predecible que se entremezclaran conceptos tales como las ideas de remuneración y justicia, por ejemplo en el aspecto en que debe ser percibida como justa y equitativa.
Los factores que emergen adicionalmente al modelo propuesto (calidad, preocupación por el medio ambiente y accidentabilidad) permiten inferir que el contexto, esfuerzos de la compañía y cultura de la empresa tienen un fuerte impacto en las percepciones de los empleados (ha habido una fuerte inversión en los temas ambientales y seguridad laboral en la última década). En la Tabla 7 se presenta el resultado del AFE con la evaluación obtenida en la encuesta.

El primer factor "remuneración y justicia" asocia las PAR más importantes para los empleados, idea que se corrobora con los resultados de la regresión logística binomial. Sweeney (1990) asocia estos mismos conceptos en un estudio de satisfacción de pago y justicia. Tal como se ha descrito en el presente trabajo, para mantener un buen clima laboral no es necesario solo un alto nivel de remuneración, sino también se requiere que esté asociado a conceptos de justicia, considerando, por ejemplo, que no existan grandes diferencias en los niveles de remuneración por jerarquía, ni en estatus. Es muy recomendable que el incentivo remunerado se asocie al trabajo del equipo como un todo y que sea lo más transparente e informado posible (Pfeefer, 1998, 2007; Sweeney, 1990). La evaluación en la encuesta del factor "remuneración" es la más baja de los factores identificados (21%), lo que debería atenderse debido a que es lo más influyente para los trabajadores en las circunstancias actuales de la empresa.
El segundo factor más relevante corresponde a "equipos autogestionados, trabajo en equipo y liderazgo". Cabe destacar que este factor se identifica con fuerza en los análisis factoriales realizados. Se considera importante también, pues influencia a cinco de las seis medidas de desempeño evaluadas en la regresión logística binaria. Cuadra y Veloso (2007) describieron el impacto directo del liderazgo en clima y satisfacción laboral en Chile. En su trabajo, el liderazgo transformacional (cuyo discurso incluye un propósito de largo plazo) supera al transaccional o clásico en cuanto a lograr buenos índices, tanto de clima como de los asociados a satisfacción de los empleados.
El factor tres asocia aspectos relacionados con la calidad y efectividad, pero no se incluyó en el modelo propuesto; sin embargo, es importante para la organización e incorpora las ideas de formación y entrenamiento. Este factor además incluye el concepto descrito de organización con un propósito; es asimismo el segundo factor más importante para explicar la variable dependiente "desempeño" después de "remuneración y justicia". Si bien en este concepto se mezclan ideas que eran independientes en el modelo propuesto, se estima que obedece al tipo, número y formulación de las preguntas.
El factor "comunicación" incorpora aspectos tanto del interior de la empresa como hacia afuera de la misma, destacando su impacto en las variables de resultado desempeño y satisfacción, coincidiendo con otros estudios (Muoria, Gakure y Kyambi, 2011). La evaluación de este factor en la empresa es baja, por lo que debe ser una variable a considerar en la definición del plan de trabajo a futuro. Las preguntas individuales relacionadas con este factor (algunas fueron filtradas en etapas previas) tienen una mala evaluación pese a los esfuerzos desplegados por la compañía en este aspecto (principalmente correos electrónicos informativos y boletines en medios impresos y electrónicos). Es por ello que la organización debe poner atención acerca de qué tipo de comunicación es la que le importa a los empleados; además, se hace necesario proporcionar información relevante para su gestión y motivación tales como resultados financieros y desempeño global e individual.
Sustentabilidad ambiental es un factor asociado a satisfacción en la regresión realizada. El aspecto ambiental de sustentabilidad es relativamente bien calificado al interior de la empresa (70%) lo que muestra que las personas perciben favorablemente los esfuerzos que realiza la organización en este ámbito.
El factor identificado como "reducir el miedo e incrementar la confianza" tiene una clara relación con motivación según el análisis de regresión, de ahí su importancia. La empresa debería poner énfasis en este factor, ya que, si bien su evaluación es media, el aspecto relacionado con expresar libremente ideas y opiniones tiene una mala evaluación. Es fundamental mejorar este aspecto para asegurar la participación y el compromiso de los empleados, pilares para la innovación y mayor productividad (Hamel, 2008; Pfeffer, 2007).
La seguridad laboral que incluye aspectos relacionados a la evaluación de prevención de riesgos y seguridad ocupacional aparece como un factor relevante para la satisfacción, motivación y desempeño de la organización. De los factores identificados es el mejor evaluado (79%), reflejando el esfuerzo dispuesto por la organización.
El último factor identificado por el AFE corresponde al apoyo para el desempeño y considera aspectos asociados a impedimentos en el trabajo y a coordinación y colaboración de otras áreas de la empresa. Predeciblemente influye en las variables dependientes desempeño de la organización, además de satisfacción, el que no se hayan agrupado en el modelo propuesto como era previsto, probablemente se deba a la forma como se preguntaban estos aspectos.
Tanto el análisis factorial exploratorio como la regresión logística binaria revelan una guía para mejorar la lectura de los resultados de la encuesta de clima 2011 de la empresa y, de este modo, se pueden organizar y reorientar los esfuerzos para la mejora. Sin perjuicio de lo anterior, debe revisarse tanto los factores a evaluar como el cuestionario a aplicar. El cuestionario que se usó en el estudio adolece de algunos ítems relevantes para medir la implementación de prácticas de recursos humanos de alto desempeño en la empresa y, por lo tanto, no permite comprobar el modelo propuesto en este trabajo a cabalidad.
Sería deseable contar con un instrumento más acotado y simple que considere entre tres a siete preguntas por factor, de manera que cubra los aspectos relevantes de cada una de las PAR o factores, esta vez usando los del modelo propuesto. En la Tabla 8 se presentan las consideraciones para cada aspecto.

Recomendaciones
Basado en los resultados de esta investigación y la experiencia propia del autor, se identificaron implicaciones para la gestión de la organización en su búsqueda de mejora del clima laboral. Para abordarlas se proponen las siguientes medidas:
Si bien no se evaluó el factor "selección", basado en las recomendaciones generales y nuevas prácticas, se propone realizar una profunda y minuciosa descripción de cargos, incluyendo luego en la formulación de los mismos la participación de pares y clientes internos. Además, se recomienda que otros miembros de la organización, no solo jefaturas, participen en los procesos de selección. Respecto de las contrataciones previas, se sugiere realizar una revisión tanto de los aciertos como de las equivocaciones con la idea de identificar factores que ayuden a mejorar el proceso.
Una de las problemáticas que enfrenta actualmente la empresa es el escaso número de postulantes por cargo. Es fundamental revisar los medios que actualmente se están usando para comunicar las ofertas laborales y qué tan atractivas son las ofertas, pues si los postulantes no cumplen con los requerimientos del cargo, ni el mejor proceso de selección logrará ser efectivo en el largo plazo, entendiendo la efectividad del proceso de selección como el grado de éxito del seleccionado en el puesto. Además, como sugiere Durán (2003), es importante elaborar políticas de desvinculación claras y equitativas para las personas que dejen la organización en forma voluntaria o involuntaria.
Buenas descripciones son también necesarias para abordar temas de entrenamiento y formación. La planificación adecuada del entrenamiento, tanto en temas técnicos como en habilidades sociales, es fundamental para implementar de forma efectiva una política de sucesión y en general cualquier plan de gestión del talento. Los empleados de la empresa perciben que esta tiende a disminuir el nivel de entrenamiento cuando los resultados no son auspiciosos; sin embargo, la investigación (Pfeffer, 2007) afirma que es importante emprender programas de capacitación justamente en esos momentos difíciles, donde hay tiempo para hacerlo y se pueda lograr tener las capacidades y competencias al momento de la recuperación.
Respecto al factor "equipos autogestionados, trabajo en equipo y liderazgo", se recomienda que la empresa posea una mayor independencia de la organización central (la empresa en estudio es filial de un holding), lo que permitiría menor formalidad y burocracia, contribuyendo a la formación de redes de colaboración informal y favoreciendo de este modo la creatividad, flexibilidad e integración de la organización, mejorando así su capacidad de reacción a los crecientes desafíos que enfrenta la organización. Además, es recomendable identificar y potenciar liderazgos naturales o jefes de proyecto sin necesidad que estén avalados por una posición o cargo. Es parte de la cultura de la empresa sobreponderar la línea de mando con las consecuencias negativas de limitar los nuevos pensamientos e innovación supeditándolos a la experiencia, así como no permitir la formación de equipos para la gestión, reprimir y desmotivar a los empleados bajo estructuras y control jerárquico excesivo. La alternativa es una organización más flexible, organizada por proyectos e impulsando tanto el autocontrol o control del equipo completo de trabajo (evaluación en 360°) como por resultados, así el rol del líder será entregar las condiciones y recursos para que lo anterior se pueda realizar.
Se debe empoderar a los empleados, esto es, entregarles los recursos y atribuciones para que sean capaces de tomar las decisiones correctas. Muchas veces el orgullo de los ejecutivos o el afán de concentrar el poder evita que se concrete lo anterior; se hace necesario capacitar no solo a los trabajadores de base sino también a los líderes para poder implementarlo de modo adecuado. Distribuir el poder sin el adecuado entrenamiento y compromiso podría ser contraproducente.
Las comunicaciones y el compartir información forman parte fundamental de las PAR identificadas, y tienen relación con transparencia y flujo de información necesaria tanto dentro como hacia afuera de la organización. De acuerdo a la experiencia del autor, los empleados de la empresa perciben que la comunicación hacia afuera estaría sobreponderada, pues han notado esfuerzos de la compañía en comunicar hechos relevantes y distinguen que las deficiencias en la información se refieren a calidad y frecuencia de feedback e información de los resultados de proyectos internos de la empresa. En este aspecto, se sugiere indagar más profundamente qué información es relevante para los empleados, tanto en temas técnicos como de transparencia; mientras el primero apunta hacia el resultado o desempeño de la organización, el segundo cubre aspectos de satisfacción del empleado.
Al igual que la comunicación, la justicia o equidad se hace presente en otros factores como la remuneración o la evaluación del desempeño, la empresa no posee grandes diferencias de estatus evidentes, lo que debe mantenerse.
Finalmente, la empresa debe aprovechar el gran capital y esfuerzos que han realizado por temas de índole ambiental y social. Si se destacan y se comunican adecuadamente, pueden originar una motivación especial en las personas. Deben incorporarse aspectos respecto de la sustentabilidad económica para que sean difundidos a toda la organización y se perciba una preocupación de la organización por ser sustentable en todos los aspectos.
Dentro de las limitaciones de este estudio, se considera relevante el no disponer de datos de caracterización de la muestra asociados a las respuestas. Existe información valiosa que podría haber sido usada para vincular con los resultados. Datos como antigüedad en la empresa, sexo, edad, nivel educacional, nivel jerárquico, entre otros no se pudieron asociar, lo que habría permitido evaluar y proponer acciones o medidas dirigidas a grupos identificables y evitar esfuerzos infructuosos. Por otra parte, se utilizó un cuestionario que no fue preparado para medir los factores del modelo propuesto, ya que en la encuesta se miden ciertos ítems que no serían tan útiles y queda fuera el factor "selección".
Finalmente cabe destacar que, si bien los resultados del presente trabajo son válidos para la empresa, según la observación del autor existe una evidente influencia de la cultura de la organización a la hora de identificar los factores. Aunque sería ambicioso considerar esta como una muestra representativa de la realidad nacional, se trata de un buen acercamiento, dada la escasez de investigación al respecto.
Referencias bibliográficas
Adner, R., & Helfat, C. (2003). Corporate effects and dynamic managerial capabilities. Strategic Management Journal, 24(10), 1011-1025.
Ahmad, S., & Schroeder, R. (2003). The impact of human resource management practices on operational performance: recognizing country and industry differences. Journal of Operations Management, 21(1), 19-43.
Ashton, D., & Sung, J. (2002). Supporting workplace learning for high performance working. Genova: International Labour Organization.
Becker, B., & Gerhart, B. (1996). The impact of human resource management on organizational performance: Progress and prospects. Academy of Management Journal, 39(4), 779-801.
Boada, J., De Diego, R., & Agulló, E. (2004). El burnout y las manifestaciones psicosomáticas como consecuentes del clima organizacional y de la motivación laboral. Psicothema, 16(1), 125-131.
Brion, S., Mothe, C., & Sabatier, M. (2010). The impact of organisational context and competences on innovation ambidexterity. International Journal of Innovation Management, 14(02), 151-178.
Chiavenato, I. (2002). Gestión del talento humano. Bogotá: McGraw-Hill.
Combs, J., Liu, Y., Hall, A., & Ketchen, D. (2006). How much do high-performance work practices matter? A meta-analysis of their effects on organizational performance. Personnel Psychology, 59(3), 501-528.
Conci, G. (2012). Resultados percibidos obtenidos por las empresas asociados al uso de las prácticas de alta implicación (HIWP). Working Papers on Operations Management, 3(1), 1-15.
Cuadra, A., & Veloso C . (2007). Liderazgo, clima y satisfacción laboral en las organizaciones. Universum (Talca), 22(2), 40-56.
Danvila, I., & Sastre, M. (2007). Capital humano y ventaja competitiva sostenible: un análisis de la relación entre la formación y los resultados empresariales. Esic market, 128, 145-223.
Delaney, J., & Huselid, M. (1996). The impact of human resource management practices on perceptions of organizational performance. Academy of Management Journal, 39(4), 949-969.
Durán, P. (2003). Mejores empresas para trabajar. La importancia del clima organizacional en el éxito de las empresas. Recuperado el 20/6/2012 desde: Recuperado el 20/6/2012 desde: http://www.gestiopolis.com/canales/derrhh/articulos/59/mept.htm.
Evans, W., & Davis, W. (2005). High-performance work systems and organizational performance: The mediating role of internal social structure. Journal of Management, 31(5), 758-775.
Fernández, I., & Baeza, R. (2001). Tendencias de compensaciones en el mercado chileno. Ponencia presentada en el XXVIII Congreso Interamericano de Psicología, Santiago, Chile.
Gelade, G., & Ivery, M. (2003). The impact of human resource management and work climate on organizational performance. Personnel Psychology, 56(2), 383-404.
Grant, R. (2008). The future of management: Where is Gary Hamel leading us? Long Range Planning, 41(5), 469-482.
Hair, J. (1999). Análisis multivariante. Madrid: Prentice Hall.
Hamel, G. (2008). El Futuro de la Administración. Bogotá: Norma.
Hamel, G. (2009). Moon shots for management. Harvard Business Review, 87(2), 91-98.
Hamel, G. (2012). Lo que Ahora Importa. Barcelona: Deusto.
Hinkin, T. (1995). A review of scale development practices in the study of organizations. Journal of Management, 21(5), 967-988.
Huselid, M. (1995). The impact of human resource management practices on turnover, productivity, and corporate financial performance. Academy of Management Journal, 38(3), 635-672.
Huselid, M., & Becker, B. (1997). The impact of high performance work systems, implementation, effectiveness, and alignment with strategy on shareholder wealth. Academy of Management Proceedings, 1, 144-148.
Katzenbach, J., Steffen, I., & Kronley, C. (2012). Cultural Change That Sticks. Harvard Business Review, 90(7), 110-117.
Kooij, D., Guest, D., Clinton, M., Knight, T., Jansen, P., & Dikkers, J. (2013). How the impact of HR practices on employee well-being and performance changes with age. Human Resource Management Journal, 23(1), 18-35.
Kouzes, J., & Posner, B. (2011). Credibility: How leaders gain and lose it, why people demand it (Vol.244). San Francisco: Jossey-Bass.
Leech, N., Barrett, K., & Morgan, G. (2005). SPSS for intermediate statistics: Use and interpretation. New York: Routledge.
Lepak, D., & Snell, S. (1999). The human resource architecture: Toward a theory of human capital allocation and development. Academy of Management Review, 24(1), 31-48.
Luna, R., & Camps, J. (2006). Las Prácticas de Alto Rendimiento en Recursos Humanos: el Caso Español. TEC Empresarial, 1(1), 26-30.
Luna, R., & Camps, J. (2008). Prácticas de alto rendimiento: un enfoque configuracional aplicado al caso español. Cuadernos de Estudios Empresariales, 18, 243-257.
Marchington, M., & Wilkinson, A. (2005). Human resource management at work: people management and development. London: CIPD Publishing.
Moreno, R. (2011). El impacto de las prácticas de recursos humanos en el desarrollo de capacidades estratégicas: una aplicación empírica en el sector hotelero. Disertación Doctoral, Universidad de La Laguna, Tenerife.
Muoria, E., Gakure, R., & Kyambi, J. (2011). An evaluation of the contribution of communication and information sharing to high performance in the Kenyan banking sector. In proceedings of 2011 Karabak University First Annual International Research (p. 238).
Neal, A., West, M., & Patterson, M. (2005). Do organizational climate and competitive strategy moderate the relationship between human resource management and productivity? Journal of Management, 31(4), 492-512.
Ospina, H. (2010). Nuevos paradigmas en gestión humana. Revista Ciencias Estratégicas, 18(23), 79-97.
Patterson, M., West, M., Shackleton, V., Dawson, J., Lawthom, R., Maitlis, S., Robinson, D., & Wallace, A. (2005). Validating the organizational climate measure: links to managerial practices, productivity and innovation. Journal of Organizational Behavior, 26(4), 379-408.
Pereda, S., Berrocal, F., & López, M. (2004). Gestión de recursos humanos por competencias. Madrid, Editorial Centro de Estudios Ramón Areces S. A.
Pfeffer, J. (1998). Seven practices of successful organizations. California Management Review, 40(2), 96-124.
Pfeffer, J. (2007). Human resources from an organizational behavior perspective: Some paradoxes explained. The Journal of Economic Perspectives, 21(4), 115-134.
Pink, D. (2009). Drive: The surprising truth about what motivates us. New York: Canongate.
Schneider, B., Ehrhart, M., & Macey, W. (2013). Organizational Climate and Culture. Annual Review of Psychology, 64, 361-388.
Subramony, M. (2009). A meta-analytic investigation of the relationship between HRM bundles and firm performance. Human Resource Management, 48(5), 745-768.
Sweeney, P. (1990). Distributive justice and pay satisfaction: A field test of an equity theory prediction. Journal of Business and Psychology, 4(3), 329-341.
Tabachnick, B., Fidell, L., & Osterlind, S. (2006). Using multivariate statistics. Needham Heights, MA, USA: Allyn & Bacon.
Tamkin P. (2004). High Performance Work Practices. UK: Institute for Employment Studies.
Walton, R. (1985). From Control to Commitment in the Workplace. Harvard business review, March-April.
Yu, H., & Miller, P. (2005). Leadership style: The X Generation and Baby Boomers compared in different cultural contexts. Leadership and Organization Development Journal, 26(1), 35-50.
Notas