Artículo de investigación
Recepción: 20 Julio 2016
Aprobación: 19 Marzo 2017
Resumen: Este trabajo muestra el procedimiento de diseño de engranajes cilíndricos rectos que emplea funciones especiales para el trazado del perfil de trabajo de los dientes. Los perfiles especiales generadores se especifican mediante funciones potenciales, mientras que los perfiles conjugados se representan mediante funciones polinómicas de ajuste, garantizando el cumplimiento de la ley fundamental de engranamiento. El desempeño de los engranajes con perfiles especiales se compara con respecto a un engranaje normalizado modular equivalente. Se utiliza el Software Ansys para el cálculo del esfuerzo máximo equivalente de von Mises, con el fin de realizar la estimación de vida por fatiga en los engranajes. Como característica principal de esta investigación, se obtiene que mediante la utilización de perfiles especiales, el esfuerzo máximo equivalente de von Mises para el sistema de transmisión puede reducirse hasta en un 5,4 %, lo cual es un elemento que mejora el factor de seguridad en la pareja de perfiles especiales, comparado con el perfil del sistema normal de modulo. Esto se traduce en una prolongación de la vida para que se ^ presente daño en el engranaje.
Palabras clave: ciclo de carga, engrane, fatiga, función potencial, perfil de diente.
Abstract: This paper shows the design of spur gears that uses special features in the layout of the job profile of the teeth. The special profiles are defined by mean of potential functions, while the conjugates profiles are calculated by polynomial functions, to ensuring compliance with the basic law of meshing. The designs of the gears with special profiles are compared to an equivalent standardized modular gear. The Ansys Software is used for modeling the equivalent Von Mises maximum stress, in order to perform the estimation of fatigue life in the gears. The main results of this research is found that the use of special profiles can reduce the equivalent von Mises maximum stress in the transmission system by up to 5.4 %, which is an element that enhances the safety factor in the couple of special profiles, compared with the profile of normal module system; it becomes in a prolongation of life to being gear damaged.
Keywords: fatigue, gear, loading cycle, potential function, tooth profile.
I. INTRODUCCIÓN
El artículo presenta los aspectos más significativos en la exploración y diseño de perfiles especiales, a partir de una reseña de investigaciones sobre aspectos concernientes al perfil del diente y su respectivo conjugado en sistemas de transmisión de potencia. Así mismo, para fundamentar la base matemática de las ecuaciones que rigen el trazado del perfil del diente en los engranajes, se exhiben las ecuaciones utilizadas para los perfiles del sistema normal de módulo y las ecuaciones de perfiles especiales que ofrecen similares condiciones geométricas. De acuerdo con la metodología empleada en esta investigación, se selecciona un mismo tipo de acero, AISI 1045, para hacer las comparaciones y establecer las diferencias dentro de la singularidad de cada uno de los diseños de los perfiles propuestos. Posteriormente, se desarrolla más en detalle el procedimiento de modelamiento por elementos finitos, lo cual permite obtener los resultados para comparar los tipos de diseño propuestos.
La sinopsis de investigaciones pertenecientes al diseño de los perfiles de dientes para engranajes es presentado por Martínez y Arzola [1] sobre perfiles de dientes para engranajes, donde se realiza una revisión sobre la metodología para el trazado de perfiles, la capacidad de carga, el error de transmisión, ángulo de presión, desgaste y análisis de falla más recurrente en los engranajes. Dicha revisión sirve como guía para la selección de los parámetros de diseño para perfiles de diente en engranajes.
Con respecto al diseño de nuevos perfiles, González [2] presenta las relaciones geométricas para el trazado del perfil del diente en engranajes cilíndricos y valora el grado de conjugación de los flancos activos de los dientes, aportes que contribuyen al mejoramiento de la eficiencia en el sistema de transmisión de potencia. Para el trazado de la curva en la base del diente, llamada trocoide, la mayoría de autores durante el modelamiento simplifican el análisis sustituyendo la trocoide por un arco de circunferencia. Otro aporte es el trazado del perfil del diente en tres partes: (I) cresta del diente entre los puntos 1 y 2, (II) perfil del diente con trazado entre los puntos 2 y 3, cuyas coordenadas se definen en función de la geometría externa de la rueda y el flanco del borde cortante de la herramienta de generación, y por último (III) trazado de la curva de trocoide entre los puntos 3 y 4, según se muestra en la Fig. 1.

Por lo que se refiere al diseño del perfil del diente que utiliza la curva coseno como función generadora, donde toma la línea cero de la curva de coseno como círculo de paso la cual se muestra en la Fig. 2, Luo, et al. [3] confirman que la transmisión de engranaje con función coseno tiene un coeficiente de deslizamiento inferior al perfil de evolvente. Además, los esfuerzos de flexión y de contacto se reducen al ser comparado con el perfil de evolvente correspondiente al sistema normal de módulo. Lo anterior, de acuerdo a los resultados obtenidos mediante simulaciones de MEF.

En el trabajo desarrollado por Wang, et al. [4] se presenta un modelo matemático que incluye la ecuación de la línea de acción, donde se utiliza curvas parabólicas para el diseño del perfil del diente y la ecuación del perfil conjugado con base en la teoría de engranamiento. Según este método, el parámetro de parábolas se toma como una de las variables de diseño para determinar el perfil del diente. Entre los resultados obtenidos pueden destacarse:
La forma del perfil de los dientes en el círculo de paso es relevante para los parámetros de la parábola correspondiente. Esta propiedad permite al diseñador equilibrar el espesor del adendum del diente.
El número mínimo de dientes para evitar la interferencia se ve afectado por el parámetro de la parábola y se deriva de la ecuación de la línea de acción.
El esfuerzo de contacto y los esfuerzos de flexión son inferiores a los que aparecen en los engranajes de evolvente. Los resultados muestran que los engranajes desarrollados podrían tener aplicación en el campo de bombas de engranajes.
La metodología propuesta no solo se limita al empleo de curvas parabólicas. Por lo tanto, el uso de cualquier otra curva como línea de acción podría mejorar la libertad de diseño del perfil del diente para engranajes de aplicación específica.
Si bien es cierto que el diseño de perfiles de engranajes con función de involuta es el método más utilizado debido a su amplia estandarización, facilidad de mecanizado, también lo es que su punto de paso siempre coincide con la línea de engranamiento, lo cual genera que su curva de engranamiento sea una línea recta. Dicho efecto y la necesidad de conseguir un sistema de transmisión más eficiente, despierta el interés de investigar nuevos tipos de perfiles para aplicaciones muy particulares con aplicación a la industria de sistemas de transmisión de potencia.
El objetivo central en este artículo de investigación es desarrollar un análisis y evaluación del diseño de engranajes cilíndricos con nuevo tipo de perfil de trabajo del dentado, para lo cual se emplean funciones especiales de tipo potencial para el engranaje generador. Lo anterior se convierte en una alternativa de diseño para los sistemas de transmisión de potencia por engranajes.
II. METODOLOGÍA
Al construir un par de ruedas dentadas, el perfil del diente del primer engranaje puede elegirse arbitrariamente como lo presenta Pintor [5]. En tal caso, el perfil del diente del otro engrane se calcula mediante el método general para determinación del perfil conjugado. Por ello, en este trabajo se elige una función potencial para el trazado del perfil del diente en el engrane conductor. Esta función es muy flexible para el control de su convexidad y es posible alcanzar una desviación mínima respecto a los mismos puntos de trazo del perfil normalizado.
El procedimiento para la generación de la geometría y su modelamiento a fatiga se obtiene efectuando los pasos que se describen a continuación.
1. Determinar los parámetros de diseño para el perfil del sistema normal de módulo, constituido por las ecuaciones formuladas por Casilla [6], las cuales permiten establecer los diámetros para el trazado del perfil, de acuerdo a las expresiones que aparecen en la Tabla 1.

2. Elegir un sistema coordenado y trazar los diámetros calculados de acuerdo con la Tabla 1..
3. Desarrollar el trazado del perfil normalizado de involuta. Los puntos (x, y) pueden determinarse con las funciones paramétricas propuestas por He y Zhang [7].
El perfil normalizado con módulo igual a 4 mm. se determina con las ecuaciones (5) y (6).


Donde: 0 ≤ t ≤ 0,64 la cual delimita la altura total del diente para un módulo m=4 mm.
4. Conocidos los valores (x, y) del sistema normal de módulo se remplazan en (7) con el fin de determinar los nuevos pares ordenados (xi, yi) que establecen la ecuación del perfil con función potencial que mejor se ajusta al perfil normalizado.

Donde:
y1 Perfil especial con función potencial.
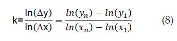
Para la ecuación (8), los valores de la constante k corresponden a números racionales.
Siendo:

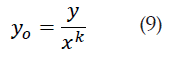
y0: Elemento del dominio, el cual es un número real diferente de cero, definido como:

Es necesario destacar que para obtener un perfil potencial equivalente al perfil modular, es necesario definir los dos valores extremos , los cuales cubren todo el rango de valores del perfil modular. Para este ejemplo, la ecuación del perfil potencial equivalente es:

La ecuación (10) describe los mismos puntos (pares ordenados) que el perfil paramétrico definido por las ecuaciones (5) y (6). A partir de la formula (10), se determinan las ecuaciones de los perfiles especiales Y-15 y Y+15, variando en el mismo porcentaje la base y el exponente de la función equivalente de M4 (YM4), cuya variación se limita a +/- 1,5%.
5. Trazado del perfil del diente conjugado YC+/- 15. El perfil conjugado se obtiene mediante el trazo de la curva tangente a la curva generadora. Las diferentes posiciones se obtienen a partir de la intersección del punto de contacto entre el perfil del engranaje y el perfil conjugado, la cual se realiza a lo largo de la línea de engranamiento, según se muestra en la Fig. 3.

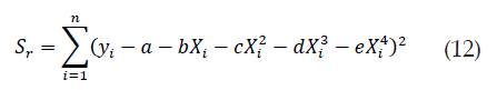
Para determinar la ecuación del perfil conjugado se establece un nuevo sistema de coordenadas correspondiente al engranaje conducido, cuyo origen (xo, yo) está ubicado a una distancia equivalente a la suma de los radios de paso del engranaje. Conocidos los valores discretos (xi, yi) del perfil conjugado Yc que se indican en la Fig. 3, puede representarse dicha función mediante un ajuste por regresión con una función algebraica polinómica de cuarto orden como se indica en (11). Para ello se emplea la ecuación presentada por Marvin [8] cuyo procedimiento de ajuste plantea un polinomio de orden m con una serie de puntos (xi, yi).

Donde:
yc: Función polinómica.
a, b, c, d, e: coeficientes del polinomio.
Sr: Sirve para calcular el error estándar de aproximación basado en la regresión polinomial.

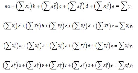
De (12) derivando y ordenando respecto a cada coeficiente se tiene un sistema de cinco ecuaciones con cinco incógnitas así:

Resolviendo la matriz 5x5 se pueden determinar los valores de los coeficientes a, b, c, d, e de (11).
Mientras que la desviación estándar se calcula mediante la ecuación (13).

Donde:
,: Desviación estándar.
: suma de los cuadrados de los residuos.
n: Número de datos.
m: Grado del polinomio.
6. Selección del material para los engranajes. Son muchos las clases de aceros utilizados en sistemas de transmisión de potencia para engranajes, como se muestra en la Tabla 2. La elección del tipo de acero está basada fundamentalmente en la aplicación tecnológica, condiciones de operación, ambiente y grado de responsabilidad de la transmisión bajo la cual es concebido dicho sistema de transmisión. En este estudio se elige como material para los engranajes un acero de bajo costo y aplicación generalizada como es el acero al carbono SAE 1045 [9], [10]. Los parámetros y propiedades mecánicas para este tipo de acero se muestran en el Apéndice 1.
7. Formulación del modelo de elementos finitos. Para el diseño por fatiga y simulación por elementos finitos (FEA) se emplea el Software Ansys y para el modelo geométrico se emplea el modelo en 3D de Solid Works. El procedimiento para el análisis de predicción de la vida a fatiga de los engranajes se muestra en la Fig. 4, la cual se define a continuación.
7.1. Propiedades del material: Desarrollado el paso 6, correspondiente a materiales y método, se registran las propiedades para el acero normalizado SAE 1045 (Apéndice 1). Por otro lado, el comportamiento del esfuerzo alternante a fatiga para el acero AISI 1045 se registra en el Apéndice 2.
7.2. Condiciones de frontera y de cargas: Corresponde a la aplicación de la carga, par torsor, velocidad de rotación del engranaje, sitio de restricción del movimiento y apoyo de los elementos. Es decir, las condiciones de frontera definidas como las limitaciones de los desplazamientos de los nodos del contorno en el modelo del diente del engranaje objeto de estudio. Las fuerzas concentradas en el cuerpo del diente del engranaje en una posición radial conocida simulan la carga, de manera que el momento total con que es cargado el diente mallado es igual al momento en el eje del engranaje.
Los siguientes parámetros corresponden a las variables cinemáticas empleadas: par torsor
, velocidad angular constantes del perfil conductor co= 188 rad/s.
7.3. Geometría de los perfiles: El diseño geométrico de los diferentes tipos de perfiles de diente para el engranaje modular M4 y perfiles especiales Y+15, Yc+15, Y-15 y Yc-15 se muestran en la Tabla 2. Cada pareja de engranes es asociada al respectivo modelo en el banner de geometría.
7.4. Modelo de elementos finitos: El análisis por elementos finitos es el método numérico que consiste en discretizar una geometría compleja en pequeñas partes de un tamaño predefinido denominados elementos.
El modelo geométrico para el sistema de engranamiento está conformado por dos engranes (conductor y conducido). La asignación del mallado en las superficies de contacto se hace mediante un mallado triangular con una dimensión mínima de 93,73 ¡im, cuya conexión se hace por contacto en las superficies de trabajo de los perfiles. Así mismo para el ajuste del análisis estático estructural se tienen en cuenta los parámetros de velocidad angular constante de 188 rad/s, un par torsor de 7,9 N.m y hasta 31,6 N.m y un sistema de apoyo sin fricción, el cual se muestra en la Fig. 5.
7.5. Modelo de predicción de vida: El cambio estructural permanente, progresivo y localizado que ocurre en un punto del material sujeto a esfuerzos de amplitud variable, producen discontinuidades en el material de donde surgen y se propagan grietas que conducen a la fractura total luego de determinado número de ciclos. Estas circunstancias generan la fatiga, la cual es la causante de la rotura de los elementos de máquinas en servicio, y donde la rotura se produce bajo cargas que están aún dentro del rango elástico del comportamiento del material.
La rotura por fatiga es arriesgada porque no suele presentar indicios de fallo inminente, sino que se producen de modo repentino y sin deformaciones plásticas apreciables según lo estudiado por Eva [16]. Existen varias teorías para predecir la falla por fatiga en engranajes o en cualquier otro componente de máquina. En la Fig. 6 se presentan las fronteras de falla para tres de las teorías de falla por fatiga más utilizadas: Goodman, Gerber y Soderberg respectivamente. Una cuarta curva para limitar la falla por fluencia es representada junto a las fronteras de falla por fatiga. Cuando el punto representativo del estado tensional más crítico, definido por los esfuerzos equivalentes de von Mises amplitud y medio respectivamente
, está situado por debajo de cualquiera de las curvas de falla, se tiene bajo el respectivo criterio de falla la seguridad de operación para la duración que se considere; mientras que si está por encima, el fallo se producirá antes de la duración definida. Para esta investigación se emplea como criterio de resistencia a la fatiga la curva de Goodman modificada, es decir considerando también la frontera de falla por fluencia para el material.

Para los engranajes objeto de estudio se tiene un comportamiento pulsante de los esfuerzos equivalente von Mises amplitud y medio, que pueden ser calculado según:

El límite de resistencia a fatiga corregido se determina de acuerdo a la expresión:

Donde los factores ki que afectan el límite de resistencia a fatiga se determinan de acuerdo a (16-19).

Donde:
ks: Factor de superficie.
kb: Factor de tamaño.
kg: Factor de concentración de esfuerzos a la fatiga.
kc : Factor de confiabilidad.
oe: Limite de resistencia a fatiga corregido (MPa).
out: Resistencia última del material de los engranes (MPa).
Deq: Diámetro equivalente de la sección transversal del diente en la posición de análisis (mm).
III. RESULTADOS
Las formas geométricas obtenidas para los perfiles especiales se ilustran en la Fig. 7 por medio de la superposición de los tres tipos de perfiles: M4, Y+15 y Y-15. Puede observarse la convexidad de los perfiles especiales, la cual se ve afectada por la variación porcentual que se hace al valor establecido en la base y exponente del perfil potencial equivalente descrito en la ecuación (10), cuyo valor no debe exceder +/-1,5%. El empleo de una función potencial garantiza un manejo adaptativo flexible de la geometría del perfil de trabajo del diente. Lo anterior permite que la forma del perfil del diente sea suave y continua, y tan próxima a la función de involuta como se desee.

por superposición.
En la Tabla 3 se muestran las ecuaciones que determinan la geometría de los perfiles M4, Y+15, Y-15 respectivamente.

En la Tabla 4 se muestran los resultados de la simulación de los diferentes tipos de perfiles, utilizando el análisis por medio de MEF. En este registro se evidencia la deformación mínima y máxima generada en el par de engranajes, el esfuerzo máximo de flexión generado en el engranaje, número de ciclos en los cuales se puede presentar daño y factor de seguridad conforme a la relación entre el esfuerzo último del material y el esfuerzo máximo equivalente.

En la Fig. 8 se muestran los resultados para el esfuerzo máximo equivalente en la base del diente, obtenidos mediante simulación de elementos finitos para una relación de transmisión 1:1. En a) aparecen los resultados para el perfil modular, en b) para el perfil especial potencial E+1,5, y finalmente en c) para el perfil especial potencial E-1,5. Los resultados corresponden a un par torsor T= 15,8 N.m y velocidad de giro de 188 rad/s y coeficiente de fricción entre las superficies de contacto μ=0,06. El contacto de engra-namiento se garantiza justo para el polo del engranaje, estando un único par de dientes en contacto para esta posición.

IV. CONCLUSIONES
Para el engranaje del sistema modular, siempre le corresponde un perfil conjugado de forma geométrica similar, lo cual no sucede con el perfil especial, debido a que el perfil con función potencial requiere un engranaje conjugado de condiciones geométricas diferentes para cumplir con la ley fundamental de engranamiento. De esta circunstancia, se requiere que el perfil conjugado sea disenado utilizando una ecuación polinómica.
Para una relación de transmisión 1:1, el esfuerzo máximo promedio generado en los perfiles especiales E+15 y Ec+15 disminuye aproximadamente 5,27% respecto al esfuerzo generado en el perfil modular M4; mientras que para los perfiles especiales E-15 y Ec-15, el esfuerzo máximo se incrementa en 12,54%.
Para sistemas de transmisión de potencia de perfil especial E+15 y Ec+15 comparado con el sistema de engranamiento modular con relación 1:1, puede desarrollarse una gran variedad de aplicaciones muy especiales en servomecanismos de perfil especial, el cual permite minimizar su tamaño y obtener mayor capacidad de carga portante, como bien lo demuestran los resultados en las simulaciones obtenidas.
La deformación máxima en los perfiles especiales E-15 y Ec-15 disminuye 1,57% respecto a la deformación máxima generada en el perfil modular M4.
El factor de seguridad (FS) en todos los diseños de perfiles está directamente relacionado con el par torsor aplicado a los perfiles de diente, obteniéndose un FS>1 aun para cualquier relación de transmisión aplicado a los engranajes.
Para el perfil especial, el error cuadrático medio para el engranamiento entre el perfil generador y el conjugado no supera (0,7%) cuando se compara con la línea teórica de engranamiento del perfil normalizado del sistema normal de módulo.
La alternativa de emplear perfiles especiales en sistemas de transmisión de potencia puede ser una alternativa de diseño en aplicaciones muy particulares para servomecanismos donde se requiera una mejora en la capacidad de carga portante.
Para la obtención de perfiles especiales, los centros de mecanizado CNC o los equipos de corte por hilo o equipos de corte por láser actualmente son una ventaja que ofrecen un alto rendimiento y alta precisión de mecanizado, la cual no se puede obtener con un sistema convencional de mecanizado como por ejemplo utilizando una fresadora, la cual requiere una herramienta especial para cada perfil de diente.
REFERENCIAS
[1] P. N. Martínez, N. Arzola, "Estado del arte sobre perfiles de dientes para engranajes", Prospectiva, vol. 12, no. 2, pp. 29-40, Julio-Diciembre 2014.
[2] R. G. González, "Relaciones geométricas para trazado del perfil de los dientes de engranajes", CUJAE, Facultad de Ingeniería Mecánica, Habana, Cuba, 2005.
[3] S. Luo, Y. Wu, J. Wang, "The generation principle and mathematical models of a novel cosine gear drive", Mechanism and Machine Theory, vol. 43, no. 12, pp. 1543-1556, 2008.
[4] J. Wang, H. Liang, S. Luo, R. Wu, "Active design of tooth profile using parabolic curve as the line of action", Mechanism and Machine Theory, vol. 67, no. 9, pp. 47-63, 2013.
[5] J. M. Pintor B., Teoría de Máquinas-Apuntes de Clase. Universidad Pública de Navarra, Navarra, España, 2014.
[6] L. A. Casillas, Máquinas - Cálculos de Taller, 40 ed. Madrid-España: Hispanoamericana, 2008, p. 643.
[7] J. He, W. Zhang, "Optimum design and research on the involute gear tooth profile", International Conference on Electronic & Mechanical Engineering and Information Technology, pp. 837-840, 2011.
[8] H.C. Marvin. (2008) Regresión lineal y regresión polinómica, vol. CM3201, [En línea]. Disponible en: http://www.google.com.co/?gfe_rd=cr&ei= Lx xmU7qbDMbd8getk4DACQ#q=ajuste+por+regresion+lineal+polin%C3%B 3mica
[9] Cia. General de Aceros S.A., SAE 1020 y SAE 1045 - Aceros Ingeniería al Carbono, Cia. General de Aceros S.A., Bogotá, D.C., Colombia, 2015.
[10] Universidad Tecnológica Nacional de Argentina, "IV. Principios generales de los tratamientos térmicos de los aceros", Metalografía y Tratamientos Térmicos, 2015.
[11] F. Spotts M., Proyecto de Elementos de Máquina. México: Reverte, 1977.
[12] F. C. Rodríguez, Tablas y Gráficas Para el Diseño de Elementos de Máquinas, Facultad de Estudios Superiores, Cuautitlan, Mexico, 2007.
[13] Ansys y Esss, «2013 ESSS Conference & Ansys users meeting,» ANSYS-Convergence, Atibaia, Brazil, 2013.
[14] B. Amol, K. Padmanagan, "Design for fatigue and simulation of glass fibre/ epoxycomposite automobile leaf spring", ARPN Journal of Engineering and Applied Sciences, vol. 9, no. 3, pp. pp.196-203, 2014.
[15] M. R. Adrian, Simulación Mediante el Método de los Elementos Finitos de una Estructura Metálica. Madrid: Universidad Carlos III de Madrid, 2010.
[16] M. E. Eva, Metodología Para el Análisis a Fatiga Mediante el Código Proengineer, Universidad Carlos III de Madrid, p. 142, 2010.