Artículos originales
Recepción: 17 Abril 2016
Aprobación: 10 Septiembre 2017
DOI: https://doi.org/10.14482/inde.36.1.10941
Resumen: Se investigó el residuo de café tostado y molido como un material ligno- celulósico absorbente capaz de remover el colorante naranja de metilo, a partir de disoluciones acuosas mediante experimentos de adsorción por lotes. Se estudiaron los efectos de parámetros experimentales en el comportamiento de la adsorción, tales como la concentración inicial del colorante, la dosis del adsorbente, el ph inicial y la temperatura. Se observó una mejor adsorción del colorante a ph ácido, baja temperatura y con una dosis de adsorbente de 6 g/l. Se encontró una cinética de seudosegundo orden según el modelo cinético de Lagergren. Se calculó una capacidad máxima de adsorción de 1,3 mg de naranja de metilo por cada gramo de adsorbente, por medio de un ajuste al modelo de Langmuir. Se encontró que la adsorción del naranja de metilo en el adsorbente analizado presenta una naturaleza exotérmica. Se comprobó que el residuo de café tostado y molido es viable para el tratamiento primario de aguas residuales contaminadas con compuestos de tipo azóico.
Palabras clave: Café tostado molido, cinética, isotermas de adsorción, remoción de colorante, sorción.
Abstract: Residue of roast and ground coffee as a lignocellulosic adsorbent material was investigated, in the removal of methyl orange dye from aqueous solutions by batch adsorption experiments. The effects of experimental parameters such as initial dye concentration, biosorbent dose, initial ph and temperature on dye biosorption were studied. The adsorption amount of methyl orange decreased with increasing ph and tempera- ture. The experimental data fitted very well to the pseudo second-order kinetic Lagergren model. A maximum adsorption capacity of 1,3 mg of methyl orange per gram of biosorbent through an adjustment to the Langmuir model was calculated. It was found that the biosorption of methyl orange in the analyzed biosorbent is of exothermic nature. It was found that the roasted and ground coffee residue is viable for the primary treatment of wastewater contaminated with azoic compounds.
Keywords: Dye removal, ground roasted coffee, isotherms, kinetics, sorption.
I. INTRODUCCIÓN
Aguas residuales coloreadas las descargan, principalmente, las industrias textiles, cosméticas, alimentarias y del papel. El color es la primera evidencia de la contaminación generada, pues estos residuos también provocan la reducción del oxígeno disuelto y la disminución en la penetración de la luz, lo que afecta los procesos fotosintéticos de los acuíferos. Muchos de los colorantes y pigmentos industriales poseen características tóxicas y no biodegradables y, por lo tanto, son persistentes en el medio ambiente. Los colorantes están clasificados como catiónicos, aniónicos y no iónicos, de- pendiendo de la carga iónica en la molécula, y son los colorantes catiónicos los que han reportado mayor toxicidad [1]-[3].
Existen procesos físicos, químicos y biológicos para la remoción de colorantes de las aguas residuales, los cuales tienen sus propias limitaciones económicas y técnicas.
Estos procesos aplicados de manera individual no alcanzan a degradar o mineralizar completamente las moléculas que aportan color. Si bien los procesos biológicos se han considerado efectivos, la necesidad de grandes áreas, los altos tiempos de residencia y de aclimatación, así como el carácter recalcitrante de algunos colorantes son la gran limitante para su implementación [4], [5].
La degradación de contaminantes por medio de procesos químicos o biológicos puede producir pequeñas cantidades de subproductos tóxicos y carcinogénicos; es por esto que se recomiendan métodos convencionales tales como coagulación, floculación, ósmosis inversa, electroflotación o filtración por membrana, los cuales capturan el contaminante de la matriz acuosa y se eliminan como un residuo sólido. La tecnología más utilizada es la adsorción con carbón activado, pero este absorbente tiene un elevado costo de manufactura y un alto consumo de energía en su regeneración. En razón a lo anterior, se han probado muchos absorbentes naturales que reduzcan la concentración de colorantes en soluciones acuosas de forma eficiente, entre los que se encuentran arcillas, zeolitas, sílices y, en mayor proporción, residuos de la industria agrícola debido a su alto contenido en material lignocelulósico (además, porque están disponibles en grandes cantidades y conducen a la minimización de un tratamiento térmico posterior) [4], [6], [7].
Varios adsorbentes se han reportado en estudios (barbas de maíz, cascarilla de arroz, polvillo de cáscara de coco, cáscaras de huevo y cáscara de yuca) que se pueden considerar como una alternativa al carbón activado como absorbente o complemento a los actuales métodos de tratamiento de efluentes industriales coloreados [4], [7]-[11].
La capacidad de adsorción de estos materiales depende, en gran medida, de las fuerzas iónicas que se generan en la solución, de la composición química del adsorbente y del ph de la solución; también la pueden afectar la concentración del contaminante, la temperatura, el tiempo de contacto, el tamaño de la partícula del biomaterial, su porosidad y la presencia de otras especies en la solución. El análisis de los procesos de adsorción requiere un estudio termodinámico que se expresa normalmente con “isotermas de adsorción”, las cuales son esenciales para el diseño, el cálculo de eficiencias y los costos del proceso. Las isotermas de adsorción pueden proporcionar información acerca de la humedad de la capa monomolecular (monocapa) y la fuerza, por medio de las entalpías de adsorción-desorción; también permiten determinar el grado de adsorción que puede alcanzarse, la cantidad de sorbente requerido y el efecto de otras variables [12], [13], [14].
Un ejemplo de un colorante peligroso soluble en agua es naranja de metilo, un derivado azóico que se usa desde aplicaciones farmacéuticas hasta como colorante de teñido al 5 % [15]. Presenta una toxicidad oral aguda con una DL50 en rata de 60 mg/kg, y ha sido probado como cancerígeno [1].
La creciente preocupación por la protección ambiental y la preservación de los recursos naturales ha hecho que se impulsen nuevas tecnologías que reduzcan el consumo de agua, se controlen los vertimientos de efluentes y se generen menores impactos ambientales.
El presente trabajo muestra resultados de la capacidad de adsorción del residuo de café tostado y molido (CTM), probado sobre disoluciones de naranja de metilo como adsorbato. Esto representaría un aprovechamiento de este residuo para el tratamiento de aguas residuales industriales contaminadas con compuestos azóicos. Se evaluó la influencia de varios parámetros como la dosis de adsorbente, pH, concentración del colorante y temperatura en la capacidad de adsorción. Se estudió la termodinámica de la adsorción y los cambios en la energía libre de Gibbs, entalpía y entropía, como parámetros requeridos para el escalado del proceso. Los datos de equilibrio se analizaron por medio de las isotermas de adsorción. Se trabajó como hipótesis del proyecto que el residuo de café tostado y molido tiene actividad adsorbente sobre compuestos de tipo azóico, la cual se ve afectada por parámetros como el ph, ya que estos modifican las características superficiales del adsorbente.
II. METODOLOGÍA
A. Sorbato
El naranja de metilo es un azoderivado. Su nombre de compuesto comercial es sal sódica de ácido sulfónico de 4-dimetilaminoazobenceno (Fig. 1). El naranja de metilo utilizado proviene de la casa comercial Merck.

B. Sorbente
El material utilizado se obtuvo del dispensador de café de la Institución Universitaria Colegio Mayor de Antioquia, el cual es un residuo de café tostado y molido (CTM).
Tamaño de partícula
El material obtenido se tamizó con mallas de 710 μm, 500 μm, 425 μm y 355 μm durante10 minutos; resultó un mayor porcentaje retenido en la malla de 425 μm.
Tratamiento térmico
A fin de obtener el producto final se trató el material con el siguiente procedimiento: secado por dos horas a 110 °c para evitar el crecimiento microbiano, tratamiento vía soxhlet con agua destilada durante cinco horas por tres veces para liberarlo de impurezas [10], y secado por 24 horas a 110 ° C. El material tratado se almacenó en un desecador.
Caracterización
Se clasificó el residuo como: sin activar, activado y postratamiento. Los materiales se caracterizaron por análisis termogravimétrico (TGA), calorimetría diferencial de barrido (DSC) y área específica superficial (BET).
C. Cinéticas de adsorción
Los experimentos de cinética de adsorción se realizaron por medio de un diseño experimental por lotes y se llevaron a cabo estableciendo la influencia de varios parámetros (concentración inicial del colorante, concentración del adsorbente, temperatura y pH). Todas las pruebas se realizaron en vasos de precipitado con un volumen de 100 ml de agua destilada, y fueron agitadas magnéticamente a 200 rpm. La concentración de naranja de metilo se midió inicialmente y luego cada 15 minutos en el proceso de adsorción por medio de un espectrofotómetro (Lab Scient UV-1100), a una longitud de onda de absorbancia máxima de 462 nm; las muestras tomadas se filtraron previamente a través de un filtro de celulosa de tamaño de poro de 0,45 μm (Whatman). La concentración del colorante se calculó por medio de una regresión lineal de una curva de calibración realizada con anterioridad (A=0,0606C, R2=0,9994).
La cantidad de colorante adsorbido en cualquier tiempo t, qt (mg/g), se calculó por medio de la relación de balance de masa [11]:

Donde Co y Ct son las concentraciones iniciales, y en un tiempo t para el naranja de metilo (ppm), respectivamente; V es el volumen de la disolución (L) y W es la masa del adsorbente (g).
Efecto de la concentración de adsorbente
La dosis del adsorbente es un parámetro muy importante en un estudio de adsorción ya que determina la capacidad del adsorbente para tratar una solución coloreada de una concentración inicial dada. El estudio se realizó a 25±0,5 °C, una concentración de 20 ppm de naranja de metilo y a pH de 6; se varió la concentración del adsorbente en cuatro niveles de 4 a 10 g/L. Se analizó una gráfica que presenta la cantidad adsorbida con respecto al tiempo para cada uno de los niveles de dosificación de adsorbente.
Efecto de la concentración del adsorbato
La adsorción del colorante depende de la relación entre su concentración y los sitios de enlace disponibles en la superficie del adsorbente. El estudio se realizó a 25±0,5 °C, a pH de 6 y una concentración de adsorbente de 6 g/L; se varió la concentración de naranja de metilo en cuatro niveles: 10, 15, 20 y 25 ppm. Se realizó una gráfica que presenta la cantidad de adsorción con respecto al tiempo para cada uno de los niveles deconcentración de adsorbato.
Efecto del ph
Para el sistema, a una temperatura de 25±0,5 °C, una concentración de adsorbente de 6 g/L y una concentración de naranja de metilo de 20 ppm, se varió el pH en cinco niveles: 2, 4, 6, 8 y 10. Se realizó una gráfica del grado de adsorción con respecto al tiempo para cada uno de los niveles de pH.
Efecto de la temperatura
El efecto de la temperatura se evaluó a un pH de 6, una concentración de adsorbente de 6 g/L y una concentración de adsorbato de 20 ppm; se varió la temperatura en cinco niveles: 25, 30, 35, 40 y 45 °c. Se analizó una gráfica del porcentaje de adsorción con respecto al tiempo para cada uno de los niveles de temperatura.
Cinética de adsorción
Se analizó el mecanismo de adsorción del sistema adsorbente-adsorbato por medio de una evaluación de la cinética de adsorción. Para esto se utilizan los modelos de Lagergren para seudoprimer y seudosegundo orden [11].
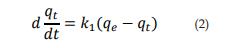
El modelo de seudoprimer orden supone que la velocidad de adsorción con respecto al tiempo es proporcional a la diferencia entre la capacidad de adsorción en el equilibrio (qe) y la cantidad adsorbida en un tiempo determinado (qt) [11], tal como se muestra en la ecuación 2.

Y que integrando se convierte en:

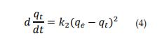
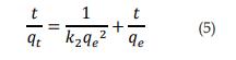
El modelo de seudosegundo orden supone que el paso limitante de la velocidad implica una quimisorción,

que integrando se convierte en:

Se graficaron los órdenes propuestos con los datos obtenidos para la evaluación del efecto de la concentración inicial del adsorbato.
D. Validación de la cinética de adsorción
Se utilizó la distribución Chi cuadrado (ecuación 6) como una función de error para validar el modelo cinético. Un menor valor de este análisis de error indicará un mejor ajuste de la curva [16]methylene blue (MB. Las variables qexp y qcal son las cantidades de adsorción en el equilibrio determinadas experimentalmente y calculadas por medio del modelo, respectivamente

E. Isotermas de adsorción
Las isotermas de adsorción describen cómo los contaminantes interactúan con los materiales adsorbentes y relacionan el equilibrio dado entre ellos. Se utilizaron las isotermas de Freundlich, Temkin y Langmuir para investigar el comportamiento de adsorción.
El modelo de isoterma de Freundlich describe la adsorción en superficies heterogéneas con sitios que tienen diferentes energías de adsorción [4]. La ecuación de Freundlich está dada como:

Con su forma lineal:

Donde KF es la constante de adsorción de Freundlich relativa a la capacidad de adsorción del adsorbente (l/g), qe la cantidad de adsorción en el equilibrio (mg/g), Ce es la concentración del adsorbato en el equilibrio (mg/l), y n es una constante adimensional que puede explicar la intensidad de adsorción del sistema. Los valores de KF y n pueden calcularse del intercepto y la pendiente de la gráfica log(qe ) contra log(Ce )
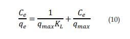
El modelo de isoterma de Langmuir asume que la adsorción ocurre en sitios homogéneos específicos en el adsorbente (adsorción monocapa con capacidad finita) [3]. La ecuación de Langmuir [3] está dada como:

Con su forma lineal:


Donde KL es la constante de adsorción de Langmuir (l/mg), qe la cantidad de adsorción en el equilibrio (mg/g), y qmax es la capacidad de adsorción máxima teórica (mg/g). Una gráfica de Ce /qe contra Ce arroja los valores de 1/qmax (intercepto) y 1/qmax KL (pendiente). KL es una herramienta importante para el cálculo del parámetro de equilibrio adimensional que explica la favorabilidad del proceso de adsorción y se calcula según la ecuación 11 [3].
El modelo de isoterma de Temkin se aplica a sistemas en los cuales la entalpía de adsorción es inversamente proporcional a la capacidad de adsorción. La ecuación de Temkin está dada como [3]:

Donde B1 es una constante relativa al calor de adsorción y está definida por la expresión B1 = RT/b, con b la constante de Temkin (j/mol), T en Kelvin y R = 8,314J/molk; y KT es la constante de enlace en el equilibrio o constante térmica de Temkin (l/g). De una gráfica de qe contra lnCe se pueden calcular B1 (pendiente) y KT (el intercepto es B1 lnKT).
F. Estudio termodinámico
Con base en el concepto fundamental de la termodinámica se asume que en un sistema aislado no puede ganarse o perderse energía, y el cambio de la entropía es la única fuerza motriz. Es posible determinar la espontaneidad de un proceso con el cálculo de estos dos factores. Los cambios de entalpía y entropía se obtendrán respectivamente de la pendiente e intercepto de la gráfica lineal de lnKd con respecto a 1/T de la ecuación:

Donde Kd = qe/Ce , T es la temperatura en Kelvin y R es la constante de gases. El cambio en la energía libre de Gibbs se calcula por medio de la ecuación 14 o bien con la 15 [3].


III. RESULTADOS Y DISCUSIÓN
A. Caracterización del adsorbente
El área superficial específica calculada por el método BET (Brunauer- Emmett-Teller) para el residuo tamizado por la malla 32, tiene un valor de 0,2648±0,0144 m2/g, el cual aumenta considerablemente para el residuo tratado térmicamente hasta 0,6558±0,0219 m2/g.
El estudio de tga revela dos etapas endotérmicas en la región entre 0 °c y 250°c, correspondientes a la pérdida de la humedad retenida en el material [17] thermogravimetric analysis (TGA, y de compuestos volátiles que componen el adsorbente, los cuales están representados a los 290 °C aproximadamente; dado que la primera señal en el adsorbente sin activar (Fig. 2) es superior al activado (Fig. 3), se puede concluir que la señal corresponde a la liberación de humedad contenida en el material. Dado lo anterior, se deduce que la temperatura de tratamiento no alcanza a retirar toda la humedad contenida en el material. En la región por encima de 300 °C se observan dos eventos exotérmicos para el adsorbente sin activar y el activado (figuras 2 y 3); estas señales corresponden a la descomposición final del material. En la Fig. 4 se observa la desorción exotérmica del biosorbato en aproximadamente 480 °C, lo que indica una fuerte afinidad del naranja de metilo a ser adsorbido en el material estudiado.



B. Efecto de la dosis del adsorbente CTM
El efecto de la dosis del adsorbente CTM en la cantidad de colorante removido se presenta en la Fig. 5. Se observa que la cantidad de colorante removido es muy baja en cualquiera de las dosis aplicadas, y que, en general, la adsorción al inicio es relativamente rápida y luego alcanza un equilibrio debido a la disminución de los sitios superficiales vacantes. Se evidencia un máximo de remoción con 6 g/L, de lo cual se deduce que se presenta un mayor número de sitios de interacción con el colorante y menos efectos de desorción. En razón a lo anterior, 6 g/L fue la cantidad utilizada para los demás experimentos.

C. Efecto de la concentración del adsorbato
El efecto de la concentración inicial del colorante en la adsorción se examinó en cuatro niveles de concentración (10, 15, 20 y 25 ppm). La Fig. 6 muestra que la concentración de 20ppm de naranja de metilo proporciona una importante fuerza motriz y aumenta la adsorción, sin embargo, una concentración mayor presenta problemas posiblemente debido a la existencia de fuerzas repulsivas entre las moléculas del soluto y el adsorbente.

D. Efecto de la temperatura
La Fig. 7 muestra que la adsorción del naranja de metilo disminuye con el incremento en la temperatura; se propone entonces que se trata de un pro- ceso exotérmico, lo cual se atribuye a que la adsorción surge de las fuerzas de Van der Waals y dipolo asociadas con calores bajos de adsorción [11].

E. Efecto del pH inicial
La adsorción está determinada por la carga superficial del adsorbente y el estado del adsorbato en la disolución. La Fig. 8 muestra como a un ph de 4 se obtiene el mayor porcentaje de remoción del colorante. Se observa una elevada adsorción en ph 2 y 4, pero decrece hacia ph de 6. El naranja de metilo con un ka de 1,6x10-4 puede estar en su forma neutra (switterion) a ph ácido (Fig. 9), o en su forma disociada a ph básico y presentarse en iguales concentraciones a un ph de 3,8. Por tanto, la alta adsorción a ph inferior a 4 puede deberse a que el adsorbente tenga características aniónicas y sus cargas están siendo neutralizadas por el polo positivo del switterion. La disminución en la adsorción a ph superiores a 4 puede deberse a la repulsión entre especies con la misma carga [16].


F. Cinética de adsorción
De acuerdo con las representaciones de las figuras 10 y 11, se puede inferir que el modelo de seudosegundo orden describe la cinética de adsorción del naranja de metilo sobre el adsorbente a base de café molido. Los parámetros calculados de los modelos cinéticos y los resultados de la validación con χ2 se encuentran reportados en la Tabla 1, en la cual se observa que, según los valores de R2 y de Χ2 para el seudosegundo orden, la suposición de que este modelo rige la cinética de adsorción es adecuada [18].



F. Isotermas de adsorción
En la Tabla 2 se reportan los valores de los parámetros calculados para las isotermas de los modelos de Freundlich, Langmuir y Temkin. El valor R menor que 1 indica que el proceso de adsorción fue favorable, al igual que el valor de n superior a 1. La isoterma de Langmuir es la que más describe la adsorción del naranja de metilo en el adsorbente ctm (R2=0,9997), lo que sugiere que se caracteriza por una adsorción homogénea (monocapa) y su capacidad fue calculada en 1,3031 mg/g por el ajuste del modelo, el cual es un valor no despreciable si se considera la naturaleza azóica del compuesto [19].

G. Termodinámica de adsorción
Los valores de ΔH, ΔS y ΔG se muestran en la Tabla 3. El valor negativo del cambio de entalpía (ΔH) muestra que este proceso de adsorción efectivamente es exotérmico. El valor negativo del cambio de entropía (ΔS) refleja una disminución en la aleatoriedad en la interfase adsorbente/solución durante el proceso. Los valores del cambio en la energía libre de Gibbs (ΔG) son negativos, lo cual indica que el proceso de adsorción ocurre espontáneamente. Los valores de ΔG aumentan con incremento en la temperatura, lo que sugiere que el proceso de adsorción es menos espontáneo a altas temperaturas.

IV. CONCLUSIONES
Se investigó el potencial del residuo de café tostado y molido como mate- rial adsorbente en la remoción de naranja de metilo de diluciones acuosas. Se estudiaron los efectos de parámetros experimentales tales como la concentración inicial del colorante, las dosis del adsorbente, el ph inicial y la temperatura. El pH y la dosis de adsorbente fueron los parámetros de mayor efecto en la adsorción del naranja de metilo. La mayor adsorción se presentó con una dosis de adsorbente de 6g/L y para valores de ph igual o inferior a 4. Los datos experimentales mostraron una disminución en la adsorción al aumentar la temperatura, lo que sugiere un proceso de adsorción exotérmico, lo cual fue luego comprobado por los cambios en la entalpía y en la energía libre de Gibbs. Los procesos de adsorción resultantes mostraron un mejor ajuste a la cinética de seudosegundo orden según el modelo de Lagergren, lo cual implica que dichos procesos ocurren por adsorción química con los grupos funcionales existentes en la superficie del adsorbente. La máxima capacidad de adsorción de naranja de metilo se estimó en 1,3 mg por cada gramo de adsorbente de acuerdo con el modelo de isoterma de Langmuir. Se pudo concluir que el adsorbente ctm puede ser una alternativa viable para la remoción de colorantes azóicos en tratamientos primarios de efluentes industriales.
REFERENCIAS
[1] A. K. Kushwaha, N. Gupta, and M. C. Chattopadhyaya, “Removal of cationic methylene blue and malachite green dyes from aqueous solution by waste materials of Daucus carota,” J. Saudi Chem. Soc., vol. 18, no. 3, pp. 200-207, Jul. 2014.
[2] T. Smitha, T. Santhi, A. L. Prasad, and S. Manonmani, “Cucumis sativus used as adsorbent for the removal of dyes from aqueous solution,” Arab. J. Chem., Aug. 2012
[3] A. A. Inyinbor, F. A. Adekola, and G. A. Olatunji, “Kinetics, isotherms and thermodynamic modeling of liquid phase adsorption of Rhodamine B dye onto Raphia hookerie fruit epicarp,” Water Resour. Ind., vol. 15, pp. 14-27, 2016.
[4] U. J. Etim, S. A. Umoren, and U. M. Eduok, “Coconut coir dust as a low cost adsorbent for the removal of cationic dye from aqueous solution,” J. Saudi Chem. Soc., Oct. 2012.
[5] M. C. Somasekhara Reddy, V. Nirmala, and C. Ashwini, “Bengal Gram Seed Husk as an adsorbent for the removal of dye from aqueous solutions - Batch studies,” Arab. J. Chem., Sep. 2013.
[6] E.-K. Guechi and O. Hamdaoui, “Sorption of malachite green from aqueous solution by potato peel: Kinetics and equilibrium modeling using non-linear analysis method,” Arab. J. Chem., May 2011.
[7] H. Acosta, C. Barraza, and A. Albis, “Adsorción de cromo ( VI ) utilizando cáscara de yuca ( Manihot esculenta ) como biosorbente : Estudio cinético Adsorption of chromium ( VI ) using cassava peel ( Manihot esculenta ) as biosorbent : A kinetic study,” Ing. y Desarro., vol. 35, no. 1, pp. 58-76, 2017.
[8] R. Ahmad, R. Kumar, and S. Haseeb, “Adsorption of Cu2+ from aqueous solution onto iron oxide coated eggshell powder: Evaluation of equilibrium, isotherms, kinetics, and regeneration capacity,” Arab. J. Chem., vol. 5, no. 3, pp. 353-359, Jul. 2012.
[9] N. Gupta, A. K. Kushwaha, and M. C. Chattopadhyaya, “Application of potato (Solanum tuberosum) plant wastes for the removal of methylene blue and malachite green dye from aqueous solution,” Arab. J. Chem., Jul. 2011.
[10] K. Shen and M. A. Gondal, “Removal of hazardous Rhodamine dye from water by adsorption onto exhausted coffee ground,” J. Saudi Chem. Soc., Nov. 2013.
[11] R. Slimani et al., “Calcined eggshells as a new biosorbent to remove basic dye from aqueous solutions: Thermodynamics, kinetics, isotherms and error analysis,” J. Taiwan Inst. Chem. Eng., vol. 45, no. 4, pp. 1578-1587, Jul. 2014.
[12] M. Shirzad-Siboni, A. Khataee, A. Hassani, and S. Karaca, “Preparation, characterization and application of a CTAB-modified nanoclay for the adsorption of an herbicide from aqueous solutions: Kinetic and equilibrium studies,” Comptes Rendus Chim., vol. 18, pp. 203-216, 2015.
[13] O. Abdelwahab and N. K. Amin, “Adsorption of phenol from aqueous solutions by Luffa cylindrica fibers: Kinetics, isotherm and thermodynamic studies,” Egypt. J. Aquat. Res., vol. 39, no. 4, pp. 215-223, 2013.
[14] A. R. Netzahuatl-Muñoz, G. Pineda-Camacho, B. E. Barragán-Huerta, andE. Cristiani-Urbina, “Remoción de cromo hexavalente y cromo total por la corteza de Pyrus communis,” Rev. CENIC. Ciencias Químicas., vol. 41, pp. 1-10, 2010.
[15] L. Alicia, R. Llamas, A. J. Azuara, and J. M. M. Rosales, “Adsorción del naranja de metilo en solución acuosa sobre hidróxidos dobles laminares,” vol. 25, no. 3, pp. 3-12, 2015.
[16] M. K. Dahri, M. R. R. Kooh, and L. B. L. Lim, “Application of Casuarina equisetifolia needle for the removal of methylene blue and malachite green dyes from aqueous solution,” Alexandria Eng. J., vol. 54, no. 4, pp. 1253-1263, 2015.
[17] D. L. Postai, C. A. Demarchi, F. Zanatta, D. C. C. Melo, and C. A. Rodrigues, “Adsorption of rhodamine B and methylene blue dyes using waste of seeds of Aleurites Moluccana, a low cost adsorbent,” Alexandria Eng. J., 2016.
[18] R. Slimani et al., “Calcined eggshells as a new biosorbent to remove basic dye from aqueous solutions: Thermodynamics, kinetics, isotherms and error analysis,” J. Taiwan Inst. Chem. Eng., vol. 45, no. 4, pp. 1578-1587, 2014.
[19] F. P. Sejie and M. S. Nadiye-tabbiruka, “Removal of Methyl Orange ( MO) from Water by adsorption onto Modified Local Clay ( Kaolinite ),” Phys. Chem., vol. 6, no. 2, pp. 39-48, 2016
Notas de autor
aCorrespondencia: Gina Hincapié Mejía, Carrera 78 n.o 65-46, Robledo, Medellín, Colombia. Tel móvil: 3117009032.