Artículos originales
Recepción: 28 Abril 2017
Aprobación: 22 Septiembre 2017
DOI: https://doi.org/10.14482/inde.36.1.10943
Resumen: Se presenta la formulación de un nuevo modelo matemático a través de la metodología de análisis dimensional, con el fin de cuantificar la capacidad de pirólisis de materiales orgánicos y polímeros termoplásticos por medio del índice de pirólisis. La importancia de este índice radica en que se puede cuantificar la capacidad que tiene un polímero pos consumo o reciclado a ser pirolizado para la obtención de fracciones combustibles útiles en la actual sociedad. El nuevo modelo se compara con tres modelos de la literatura por medio de información del análisis termogravimétrico no isotérmico (dinámico) para el caso de estudio del poliestireno virgen y reprocesado. Este polímero se reprocesa cinco veces en una extrusora monohusillo. El polímero virgen y el reprocesado se caracterizaron por análisis próximo, elemental y termogravimetría dinámica en atmósfera de nitrógeno a cuatro velocidades de calentamiento. Se obtuvo una correlación adimensional para calcular el índice de pirólisis en función de la velocidad de calentamiento, temperaturas características y conversión. Se encontró que la capacidad de pirólisis aumenta con la velocidad de calentamiento y el número de reprocesamientos en extrusión. Además, el nuevo modelo ajusta mejor los datos a una tendencia lineal entre el índice de pirólisis con la velocidad de calentamiento y el número de reprocesamientos.
Palabras clave: Degradación térmica, extrusión, índice de pirólisis, poliestireno, reprocesamiento.
Abstract: Formulation of a new mathematical model, through the dimensional analysis methodology, to quantify the pyrolysis capacity of organic materials and thermoplastic polymers by means of the pyrolysis index is presented. The importance of this index is that it is possible to quantify the capacity of the polymer post-consumption or recycling to be pyrolyzed to obtain useful fuel fractions in the actual society. The new model is compared with three models of the literature, using nonisothermal (dynamic) thermogravimetric analysis data for the raw and reprocessed Polystyrene case study. This polymer is reprocessed five times in a single screw extruder. The raw and reprocessed polymer were characterized by proximate, elemental analysis and dynamic thermogravimetry under nitrogen atmosphere at four heating rates. A non-dimensional correlation was obtained to calculate the pyrolysis index as a function of the heating rate, characteristic temperatures, and conversion. It was found that the pyrolysis capacity increases with the heating rate and number of reprocessing in extrusion. In addition, the new model better fits the data to a linear trend between pyrolysis index with the heating rate and number of reprocessing.
Keywords: Extrusion, polystyrene, pyrolysis index, reprocessing, thermal degradation.
I. INTRODUCCIÓN
La mayoría de los residuos industriales de origen petroquímico, carboquímico y orgánico se pueden aprovechar como combustibles en forma directa por incineración [1]. Sin embargo, a partir de los mismos residuos se puede obtener una variedad de combustibles, en diferentes estados de agregación, a través de procesos térmicos de licuefacción [2], gasificación o pirólisis [3]. De estos procesos térmicos el más interesante es la pirólisis, dado que por medio de este se obtienen tres fracciones combustibles (un gas de síntesis o biogás, un bio-aceite y un bio-sólido) que se utilizan en muchos procesos químicos [4]. Esto muestra la importancia de establecer la capacidad o posibilidad de pirolizar un material y conocer su análisis termogravimétrico. Esta capacidad se establece a través del denominado “índice de pirólisis” (Ip), el cual está relacionado con la influencia de la transferencia térmica, la transferencia de masa y las propiedades térmicas del material. Estas propiedades térmicas se determinan mediante las curvas termogravimétricas obtenidas por termogravimetría diferencial (DTG) [5]. Por medio de las curvas DTG se determina la temperatura (Tm, temperatura pico) y el tiempo (tm) a la máxima velocidad de pérdida de peso, la temperatura de inicio de la degradación (Ti), la temperatura de fin de la degradación (Tf) y la máxima velocidad de pérdida de peso dado por el cambio de la conversión () con el tiempo ((dα/dt)max) [6]. El índice de pirólisis es adicionalmente empleado para comparar dos o más materiales, de tal manera que el material con el mayor valor de este índice se deja pirolizar más fácilmente que aquel material que presente un menor [7]. Este parámetro se ha establecido a través de modelos o correlaciones matemáticas como las que se muestran en Tabla 1, las cuales emplean información obtenida del análisis termogravimétrico (TGA) [7]-[11]. En estas correlaciones wo es el peso inicial de la muestra, ∆T, así como α∆T y ∆t son las diferencias de temperatura, conversión y tiempo entre Ti y Tf,.

Uno de los modelos para determinar el Ip, dado por Ghetti et al. [10] (correlación 1), involucra (dα/dt)max y Tm como un cociente entre estos parámetros, pero no tiene en cuenta el grado de conversión en la etapa de pérdida de peso (α∆T). Otro de los modelos -dado por la correlación 2- se basa en la relación entre (dα/dt)max y el productoTm y ∆T, y modifica la correlación anterior al introducir en el denominador una diferencia de temperatura [9]. La diferencia de temperatura se establece al restar la temperatura medida a una conversión de 95 y la temperatura cuando el material ha experimentado una conversión del 5% [9]. Este modelo ignora el efecto directo que tienen las temperaturas Tm y Ti sobre la pirólisis. Deng et al. [8] plantean la correlación 3 para calcular el índice de pirólisis con el propósito de mejorar los inconvenientes presentados por los dos modelos anteriores. Este modelo relaciona los términos que expresan reactividad con los términos que al aumentar su valor reducen la reactividad en la pirólisis. Posteriormente, Zheng et al. [7] transforman la correlación 2 en la correlación 4, a fin de utilizar datos de termogravimetría isotérmica, de tal manera que en lugar de la temperatura máxima emplean el tiempo en que se alcanza la máxima conversión por degradación del material y reemplazan el cambio en la temperatura con la diferencia de tiempo, cuando se ha alcanzado el 95% y el 5% de degradación, respectivamente. Su et al. [11] establecen que el Ip es función de la velocidad máxima de pérdida de peso, (dα/dt)max, debido a la degradación del material e inversamente proporcional al peso inicial antes de la etapa de pirólisis, wo, como se observa en la correlación 5. Estas cinco correlaciones son función de: 1. La velocidad máxima de conversión por degradación en atmósfera inerte; 2. Las temperaturas inicial, máxima y final de degradación; 3. El tiempo inicial, máximo y final de degradación; y 4. La conversión. Sin embargo, estas ecuaciones son empíricas y no tienen un origen o deducción matemática que respalde la forma de la ecuación y justifique la presencia de cada uno de los términos que intervienen en ellas. Además, no tienen consistencia dimensional, ni los resultados que se obtienen con ellas se pueden comparar entre sí porque tienen unidades y magnitudes diferentes, como se puede observar en la Tabla 1.
El objetivo de este trabajo es desarrollar una expresión matemática por medio de análisis dimensional, lo cual permita establecer la capacidad de pirólisis de materia residual sólida representada por el índice de pirólisis. Esta nueva correlación se compara con tres modelos reportados en la literatura, y el empleo de la información del análisis termogravimétrico no isotérmico para el poliestireno reprocesado en cinco ciclos de extrusión.
II. METODOLOGÍA
A. Obtención del poliestireno reprocesado
El poliestireno virgen (sin procesar) se alimenta a una extrusora monohusillo marca Extrudex modelo ED-N 45-30D, con ocho zonas de calentamiento. Inicialmente se alimenta con 10 kg de polímero a una tolva que se encuentra a 25 °C, y se pasa por las zonas de calentamiento con un perfil de temperatura, en grados Celsius, de 180/190/200/210/220/220/210/210. Posteriormente, el polímero extruido se corta y seca durante una hora a una temperatura entre 80 °c y 90 °C. Del polímero extruido, peletizado y secado se toma una muestra de 500g y se guarda para análisis. El resto del polímero se extruye nuevamente a las mismas condiciones del proceso anterior. Esto se repite por cuatro ciclos más, para un total de cinco ciclos de extrusión.
B. Caracterización termogravimétrica del poliestireno virgen y reprocesado
El PS virgen y las cinco muestras extruidas se caracterizaron por termo- gravimetría no isotérmica o termogravimetría dinámica, en un analizador termogravimétrico marca TA Instrument modelo Q600 simultáneo DSC-TGA. Este análisis se llevó a cabo a cuatro velocidades de calentamiento (5, 10, 20 y 40 °C/min), calentando desde temperatura ambiente hasta 800 °C en atmósfera inerte, con un flujo constante de nitrógeno de 100 ml/ min y un peso de muestra entre 10 y 12 mg. De este análisis se obtienen las curvas de peso remanente y de velocidad de pérdida de peso (perfiles de pirólisis), en función de la temperatura para el polímero virgen y los cinco ciclos de reprocesamiento a cada velocidad de calentamiento. De las curvas de pérdida de peso (TG) y de velocidad de pérdida de peso (DTG) se obtiene información de velocidad máxima de pérdida de peso, temperaturas características (temperatura inicial, máxima y final de pirólisis), la diferencia de temperatura (temperatura final menos temperatura inicial), porcentaje de conversión del proceso de pirólisis a esa diferencia de temperatura, tiempo para alcanzar la máxima velocidad de pérdida de peso, y la diferencia de tiempo (tiempo final menos tiempo inicial) para dicha diferencia de temperatura.
C. Formulación y análisis del modelo de índice de pirólisis
El desarrollado de la expresión para determinar el índice de pirólisis se lleva a cabo con el empleo de la teoría de análisis dimensional, establecida por el método de Rayleigh [12]. Este método considera que el estudio de la variable dependiente de un fenómeno físico o químico se puede escribir como una productoria de potencias de las variables independientes que la pueden afectar. La productoria de potencias se reemplaza por las unidades fundamentales de cada una de las variables independientes, con el propósito de formular una ecuación por cada variable independiente al emplear los respectivos exponentes, de manera tal que al solucionar el sistema de ecuaciones se obtenga el valor de cada exponente, tal como se muestra en la sección de resultados y discusión.
El análisis del nuevo modelo del índice de pirólisis se lleva a cabo con la comparación de los valores obtenidos por este modelo y las correlaciones 2 a 4 de la Tabla 1. Esta comparación se realiza al utilizar los resultados del análisis termogravimétrico de cada velocidad de calentamiento para los cinco ciclos de reprocesamiento, incluido el polímero virgen del poliestireno.
III. RESULTADOS Y DISCUSIÓN
A. Caracterización termogravimétrica
La Fig. 1 muestra las curvas TG (pérdida de peso y conversión) y DTG (pérdida de peso respecto a la temperatura) para el reprocesamiento 3, como ejemplo del resto de los reprocesamientos. Estas mismas tendencias se presentan en los cinco reprocesamientos, incluido el polímero virgen. En esta figura se observa cómo al incrementar la velocidad de calentamiento se induce un desplazamiento hacia la derecha de las curvas TG y DTG. Esto implica que al aumentar la velocidad de calentamiento, un mismo valor de conversión se alcanza a una mayor temperatura. Este comportamiento se ha explicado como un cambio en el mecanismo de reacción de descomposición del polímero [13].

El desplazamiento y la reduccion de la altura de los picos en las curvas DTG, con el aumento en la velocidad de calentamiento, se atribuye a la reduccion del tiempo de reaccion debido a que se alcanza, en menor tiempo, la tempertura final de análisis [14]. También se observa que el proceso de degradación del poliestireno ocurre en una sola etapa, lo cual se deduce porque las curvas DTG presentan solo un pico [15].
También se encontró que las curvas TG y DTG en cada una de las velocidades de calentamiento presentaron el mismo comportamiento, de manera que queda una sobrepuesta a la otra cuando se grafican en un mismo plano todos los reprocesamientos, incluido el polímero virgen.
En la Tabla 2 se presentan los resultados del análisis termogravimétrico realizado a cuatro velocidades de calentamiento para el poliestireno virgen y reprocesado en cinco ciclos de extrusión.

En esta tabla se condensa la información de la máxima velocidad de pérdida de peso (
), las temperaturas características (ti , tm y tf ), el tiempo para la máxima velocidad de pérdida de peso, el delta de tiempo y la temperatura para la zona de degradación del polímero, así como la conversión alcanzada en esta zona. La zona de degradación se encuentra entre las temperaturas ti y tf. Esta información se emplea a fin de determinar el índice de pirólisis por medio de las correlaciones 2 a 4 y la correlación desarrollada en este trabajo.
De la Tabla 2 se destaca que para cada uno de los ciclos de reprocesamiento la máxima velocidad de pérdida de peso, establecida como el cambio de la conversión con el tiempo, aumenta al incrementar la velocidad de calentamiento a 40 °C/min, de modo que se encuentran valores de 16,32 %/min a 5 °C/min, hasta 115,26 %/min a 40 °C/min. Similar comportamiento se observó para las temperaturas características. Sin embargo, la conversión para la zona de degradación permaneció alrededor del 90 %, mientras que el tiempo, como era de esperarse, disminuyó con la velocidad de calentamiento. Estos mismos resultados se han reportado para caucho comercial [14]. Si se consideran las temperaturas características como una medida cualitativa de la degradación térmica del polímero con el reprocesamiento, se puede observar en esta tabla que, al fijar la velocidad de calentamiento, estas temperaturas son similares en los diferentes ciclos de procesamiento, lo cual indica que el poliestireno presenta una gran estabilidad térmica al experimentar cinco ciclos sucesivos de reprocesamiento por extrusión.
B. Formulación del modelo de índice de pirólisis
El índice de pirólisis se puede derivar a partir del análisis dimensional por medio del método de Rayleigh [12]. De acuerdo con este método, el Ip se puede expresar mediante la siguiente ecuación teórica:

En la Tabla 3 se definen las principales variables que se considera afectan el Ip y sus respectivas unidades. Para un mejor manejo de la conversión - un parámetro adimensional (masa de la sustancia s convertida/masa de s factible de ser convertida)-, se asume que tiene solo unidades de masa (Tabla 1), y que al final de obtener el modelo, se divide arriba y abajo por la masa convertida para restablecer el parámetro de conversión.

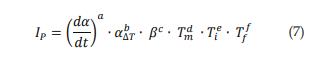
El índice de pirólisis expresado por la ecuación 6 se puede presentar como un producto de potencias, así:

Donde los exponentes a, b, c, d, e y f son constantes que hacen a la ecuación 7 dimensionalmente consistente. Para un índice de pirólisis adimensional, y al sustituir las dimensiones correspondientes a cada parámetro en la ecuación 7, se obtiene:

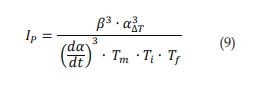
Se aplica el principio de homogeneidad dimensional para los exponentes de cada magnitud primaria, de manera que para la dimensión Uc se obtiene que α + b = 0; para θ se tiene que -α -c = 0; y para T se deduce que c + d + e + f = 0. Al resolver estas tres ecuaciones y tomar d = e = f = -1, según los exponentes de Tm , Ti y Tf de la ecuación 3, se obtiene que c = 3, α = -3 y b =3. Al sustituir estos exponentes en la ecuación 7 se llega a:

Este modelo se caracteriza por ser una ecuación empírica con un origen o deducción matemática que soporta la forma de la ecuación y cada uno de los términos. Es una correlación dimensionalmente consistente, lo cual permite comparar resultados, dado que este índice es un parámetro adimensional.
C. Índice de pirólisis-modelos de la literatura
El comportamiento de la capacidad de pirólisis, establecido por medio del índice de pirólisis, en función de la velocidad de calentamiento y el reprocesamiento para las correlaciones 2 a 4, se presenta en las figuras 2 a 4, respectivamente. En estas figuras se puede ver cómo la capacidad de pirólisis del material aumenta con la velocidad de calentamiento, sin importar la correlación utilizada. También se observa que con las correlaciones 2 y 3 se obtienen similares incrementos relativos del Ip , aunque los valores tienen órdenes de magnitud diferentes. Estas dos correlaciones presentan una tendencia lineal entre el Ip y la velocidad de calentamiento, mientras que en la correlación 4 la tendencia es de tipo exponencial, lo que indica una gran sensibilidad del Ip con la velocidad de calentamiento. También se observa que para una velocidad de calentamiento fija el Ip tiene una tendencia sutil a disminuir con el número de reprocesamientos. Esto posiblemente se debe a que el polímero ha experimentado degradación térmica durante su reprocesamiento.


D. Índice de pirólisis-nuevo modelo
Los resultados del nuevo modelo para determinar la capacidad de pirólisis, por medio del índice de pirólisis Ip dado por la correlación 9, con variación de la velocidad de calentamiento y los ciclos de reprocesamiento, se presentan en la Fig. 5. Este modelo muestra similar tendencia que los otros, donde el Ip aumenta con la velocidad de calentamiento y con el reprocesamiento (véase la Fig. 6). Esto indica que la correlación 9 se puede utilizar como cualquier otra correlación para predecir la capacidad de pirólisis de un material. También presenta bastante similitud con los resultados de las correlaciones 2 y 3, lo que muestra una tendencia lineal para cada procesamiento con la velocidad de calentamiento.

En la Fig. 6 se presenta la variación de Ip con el reprocesamiento al emplear la nueva correlación. Esta figura se obtuvo al promediar el índice de pirólisis calculado a las cuatro velocidades de calentamiento para cada procesamiento. Se aprecia que el índice de pirólisis aumenta con el reprocesamiento, con una tendencia cercana a una línea recta (R2 = 0,9386). Esto indica que la capacidad del poliestireno al ser pirolizado aumenta con el reprocesamiento, es decir, aumenta con la degradación térmica que experimenta el polímero al ser sometido a sucesivas extrusiones.


En la Tabla 4 se realiza una comparación entre el Ip obtenido por las correlaciones 2 a 4, y la nueva correlación (correlación 9), a través de los coeficientes de correlación lineal de las figuras 2 a 5. En la Tabla 4 se observa que la nueva correlación reporta los mayores valores del R2 (excepto para el ciclo de reprocesamiento 1), lo cual indica que se tiene una buena relación lineal entre el Ip y la velocidad de calentamiento, en relación con los otros modelos. De igual manera, se observa que la correlación 4 presenta los valores más bajos del R2 (entre 0,696 y 0,715), lo cual establece que esta correlación no tiene un ajuste lineal como los otros modelos. Esto se corrobora en la Fig 4., en la que se observa cómo el modelo de la correlación 4 presenta una tendencia exponencial, con valores de R2 entre 0,999 y 1,0, y no un comportamiento lineal.

Este nuevo modelo se recomendaría emplear para otros materiales sólidos, tales como biomasa agroindustrial o residuos de mantenimiento y sacrificio de animales, considerando que: (a) las correlaciones 2 y 3 se utilizaron con residuos biomédicos [8] y residuos sólidos urbanos [9], respectivamente, y reportan r2 similares a los obtenidos con el nuevo modelo (véase la Tabla 4); (b) se cuente con información termogravimétrica del material en estudio de al menos tres velocidades de calentamiento; y (c) el análisis termogravimétrico se realice en atmósfera inerte para simular un proceso pirólisis.
IV. CONCLUSIONES
Se desarrolló una correlación por análisis dimensional con el fin de determinar la capacidad de pirólisis de polímeros reprocesados en función de la información obtenida por termogravimetría dinámica, lo cual se validó a través del caso de estudio del poliestireno virgen y reprocesado. Esta correlación permite corregir algunos inconvenientes presentados en las correlaciones reportadas en la literatura, como es el caso de estar en capacidad de comparar resultados con otras correlaciones que sean igualmente adimensionales.
No todas las correlaciones de Ip reportadas en la literatura tienen un comportamiento lineal con la velocidad de calentamiento; esto indica que la velocidad de calentamiento es de gran importancia en el desarrollo de modelos de capacidad de pirólisis, razón por la cual se tuvo en cuenta en el modelo desarrollado en este trabajo.
A pesar de que el modelo de la ecuación 4 -un modelo no lineal- reporta valores de R2 superiores a 0,99 para una regresión exponencial, con la variación de la velocidad de calentamiento este modelo no considera en su estructura matemática el efecto de la velocidad de calentamiento, la diferencia de temperatura y las temperaturas características, parámetros estos importantes en la cuantificación del índice de pirólisis. Por el contrario, estos parámetros (las temperaturas características y la diferencia de temperatura) sí se consideran en los otros modelos (ecuaciones 2 y 3), y en el modelo desarrollado en este trabajo, los cuales presentan tendencia lineal del índice de pirólisis con la velocidad de calentamiento.
El nuevo modelo de capacidad de pirólisis aplicado a polímeros reprocesados (caso específico del poliestireno) permite mejorar la relación existente entre el Ip con la velocidad de calentamiento y el reprocesamiento. Esto se demuestra por los mayores valores del coeficiente de regresión del nuevo modelo con respecto a las correlaciones que se encuentran en la literatura.
Agradecimientos
Los autores expresan sus agradecimientos al profesor Tim Osswald de la Universidad de Wisconsin por la obtención de las muestras extruidas, a la Universidad Nacional de Colombia por el apoyo económico, al Laboratorio Combustión Combustibles de la Universidad del Valle por la realización de los análisis termogravimétricos, y a los estudiantes Estefanía Vanegas, Jhuliana Gallego y Juan Manuel Cárdenas por el apoyo al proyecto.
REFERENCIAS
[1] L. J. R. Nunes, J. C. O. Matias, J. P. S. Catalão, “Mixed biomass pellets for thermal energy production: A review of combustion models”, Appl. Energ., vol. 127, pp. 135-140, agosto 2014. doi:10.1016/j.apenergy.2014.04.042
[2] B. Meryemoglu, A. Hasanoglu, S. Irmak, O. Erbatur, “Biofuel production by liquefaction of kenaf (Hibiscus cannabinus L.) biomass”, Bioresource Technol., vol. 151, pp. 278-283, enero 2014. doi:10.1016/j.biortech.2013.10.085
[3] S. Krerkkaiwan, C. Fushimi, A. Tsutsumi, P. Kuchonthara, “Synergetic effect during co-pyrolysis/gasification of biomass and sub-bituminous coal”, Fuel Process. Technol., vol. 115, pp. 11-18, noviembre 2013. doi:10.1016/j.fu- proc.2013.03.044
[4] C. Gai, Y. Dong, T. Zhang, “The kinetic analysis of the pyrolysis of agricultural residue under non-isothermal conditions”, Bioresource Technol., vol. 127, pp. 298-305, enero 2013. doi: 10.1016/j.biortech.2012.09.089
[5] W. Grellmann, S. Seidler, “Polymer Testing”, Hanser, Munich, Alemania, 2007.
[6] F. Carrasco, P. Pages, J. Gómez-Pérez, O. Santana, M. L. Maspoch, “Processing of poly(lactic acid): Characterization of chemical structure, thermal stability and mechanical properties”, Polym. Degrad. Stabil., vol. 95, n.o 2, pp. 116-125, febrero 2010. Doi:10.1016/j.polymdegradstab.2009.11.045.
[7] J. Zheng, J. Yu-qi, C. Yong, W. Jun-ming, J. Xu-guang, N. Ming-jiang, “Pyrolysis characteristics of organic components of municipal solid waste at high heating rates”, Waste Manage., vol. 29, n.o 3, pp. 1089-1094, marzo 2009. doi: 10.1016/j.wasman.2008.06.034
[8] N. Deng, Y. Zhang, Y. Wang, “Thermogravimetric analysis and kinetic study on pyrolysis of representative medical waste composition”, Waste Manage., vol. 28, no 9, pp. 1572-1580, 2008. doi:10.1016/j.wasman.2007.05.024
[9] B. Li, Y. L. Gu, J. H. Yan, “Thermal decomposition kinetics model of the re- presentative composition of municipal solid waste”, Acta Sci. Circumst., vol. 19, pp. 562-566, 1999.
[10] P. Ghetti, L. Ricca, L. Angelini, “Thermal analysis of biomass and corresponding pyrolysis products”, Fuel, vol. 75, n.o.5, pp. 565-573, abril 1996. doi:10.1016/0016-2361(95)00296-0
[11] Y. Su, Y. Luo, W. Wu, Y. Zhang, S. Zhao, “Characteristics of pine wood oxi- dative pyrolysis: Degradation behavior, carbon oxide production and heat properties”, J. Anal. Appl. Pyrol., vol. 98, pp. 137-143, noviembre 2012. doi: 10.1016/j.jaap.2012.07.005
[12] Perry’s chemical engineers’ handbook. 6a ed. Nueva York: McGraw-Hill, 1992, pp. 2-120.
[13] J.W. Park, S.C. Oh, H.P. Lee, H.T. Kim, K.O. Yoo, “Kinetic analysis of ther- mal decomposition of polymer using a dynamic model”, Korean J. Chem.Eng., vol. 17, n.o 5, pp. 489-496, septiembre 2000. doi: 10.1007/BF02707154
[14] W. Kim, S. Kom, S. Lee, I. Hong, “Kinetic characterization of thermal de- gradation process for comercial rubbers”, J. Ind. Eng. Chem., vol. 6, n.o 5, pp. 348-355, septiembre 2000
[15] A. Aboulkas, K. El-Harfi, A. El- Bouadili, “Thermal degradation behaviors of polyethylene and polupropylene. Part i: Pyrolysis kinetics and mechanisms”, Energ. Convers. Manage., vol. 51, n.o 7, pp. 1363-1369, julio 2010. doi:10.1016/j.enconman.2009.12.017
Notas de autor
aCorrespondencia: Andrés Felipe Rojas González. Departamento de Ingeniería Química, Universidad Nacional de Colombia, sede Manizales, Campus La Nubia, km 6 vía al Magdalena. Tel: +57 (6) 8879400 Ext. 55129-55408.