Artículos
Recepción: 15 Enero 2019
Aprobación: 21 Abril 2019
DOI: https://doi.org/10.14482/inde.37.2.1627
Resumen: En esta investigación se presentan los resultados de la aplicación de aceite de coco (Cocos nucifera) como estabilizantede asfaltenos y el efecto del calentamiento en su desempeño en una muestra de petróleo del Estado Monagas (Venezuela). El aceite de coco se sometió a ll temperaturas entre 25 y 200 °C, para luego prepararse 12 mezclas con gasoil. Se determinó el umbral de floculación de los asfáltenos a muestras de 10 mL de petróleo dosificadas con 8µL de cada mezcla, aplicando volúmenes sucesivos de n-Heptano hasta observar los agregados en un microscopio óptico y el punto de dispersión aplicando volúmenes sucesivos de Xileno hasta observar la disolución de los agregados. Se determinó el Índice de Inestabilidad como la razón entre el punto de dispersión y umbral de floculación. Se aplicó análisis ANOVA para establecer la significancia del efecto de la temperatura sobre el Índice de Estabilidad. Se concluyó que las mezclas de aceite de coco y gasoil aumentan la estabilidad de los asfaltenos al ser aplicadas a la muestra de petróleo, sin embargo, la temperatura tiene efecto estadísticamente significativo. El efecto del aceite fue positivo hasta la muestra calentada a 130 °C, perdiendo su efecto a partir de esa temperatura.
Palabras clave: asfaltenos, Cocos nucifera, dispersante, floculación, inestabilidad, temperatura.
Abstract: This research presents the results of the application of coconut oil (Cocos nucifera), as a stabilizer of asphaltenes and the effect of warming on their performance, in a sample of Monagas state oil, Venezuela. The coconut oil was subjected to 11 temperatures between 25 and 200° C, and then 12 mixtures with diesel oil were prepared. The flocculation onset of the asphaltenes was determined to samples of 10 mL of petroleum dosed with 8µL of each mixture, applying successive volumes of n-heptane until observing the aggregates in an optical microscope and the dispersion point applying successive volumes of Xylene up to observe the dissolution of the aggregates. The Instability Index was determined as the ratio between the dispersion point and the flocculation onset. ANOVA analysis was applied to establish the significance of the effect of temperature on the Stability Index. It was concluded that mixtures of coconut oil and diesel increase the stability of asphaltenes when applied to the oil sample, however the temperature has a statistically significant effect. The effect of the oil was positive until the sample heated to 130 °C, losing its effect from that temperature.
Keywords: asphaltene, Cocos nucifera, dispersant, flocculation, instability, temperature.
1. INTRODUCCIÓN
Los asfaltenos son componentes sólidos del petróleo que han sido definidos como macromoléculas heterocíclicas que consisten fundamentalmente en carbono, hidrógeno y cantidades menores de otros elementos, como azufre, nitrógeno y oxígeno, pero no limitados a ellos, a diferencia de los hidrocarburos [1]. Aunque no se tiene una idea clara de cómo se encuentran los asfaltenos dentro del petróleo, la teoría más aceptada es que las partículas de asfaltenos existen en el petróleo parcialmente disueltas y parcialmente en forma estérico-coloidal y/o micelar, dependiendo de la polaridad del medio oleoso y la presencia de otros compuestos como las resinas [2].
El sistema micelar en el que se encuentran los asfaltenos es termodinámicamente inestable y solo se mantiene en cuasiequilibrio a ciertas condiciones; por lo tanto, la estabilidad de los asfaltenos depende de las condiciones de temperatura, presión y composición en las que se encuentre el petróleo. Sepúlveda et al. [3] menciona que los asfaltenos bajo ciertas condiciones desfavorables de presión, temperatura, composición química y tasa de corte se precipitan formando depósitos orgánicos, lo cual afecta de manera negativa la producción y transporte del petróleo. La deposición o precipitación de asfaltenos puede ocurrir luego de que se genera su floculación en el crudo.
La deposición de material asfalténico durante la producción del petróleo es un problema que afecta a la industria a nivel mundial, por lo que se han realizado investigaciones cuyos objetivos han sido estudiar el proceso y además buscar formas de minimizar el problema y su impacto. Entre las investigaciones se encuentran la evaluación de productos químicos antifloculantes de asfaltenos, los cuales, según García y Chiaravallo [4], son productos cuya finalidad es dispersar o inhibir la agregación de asfaltenos, lo cual evita la formación de precipitados que eventualmente se depositan en superficies metálicas o minerales. El uso de productos dispersantes o inhibidores de asfaltenos representa una inversión importante dentro de las operaciones petroleras donde se presenta el fenómeno de deposición de los mismos. Además la precipitación o deposición de asfaltenos afecta la caída de presión en tuberías [5].
En el caso particular de la industria petrolera venezolana, los productos para el control de la floculación de asfaltenos se elaboran con aditivos importados, lo que genera gastos importantes, sobre todo en los campos del Estado Monagas, en donde se produce petróleo inestable, es decir, que presentan tendencia a generar depósitos de asfaltenos, como lo menciona Delgado [6]. La inestabilidad se refiere a la aparición de sólidos o sedimentos (comúnmente asfaltenos) en fluidos petroleros en un periodo de tiempo determinado. El uso de aceites vegetales como aditivos en la formulación de productos inhibidores de asfaltenos ha sido estudiado en trabajos como el de Alvarado y García [7], quienes concluyeron que los aceites vegetales pueden ser utilizados como inhibidores de asfaltenos. Rodríguez y Gaspar [8] también reportaron que la resina extraída de la Copaiba officinalis mezclada con gasoil también presenta propiedades de dispersante de asfaltenos. Otros autores, como Elochukwu, et al. [9], utilizaron solventes derivados de aceites vegetales, y concluyeron que tienen gran potencial para el tratamiento de depósitos orgánicos. El aceite de coco está constituido por ésteres de ácidos grasos saturados, los cuales tienen propiedades surfactantes al ser transformados [10]; por ello su uso potencial como agente estabilizante de suspensiones de asfaltenos.
En referencia al uso del aceite de coco, Alrashidi y Nasr-El-Din [11] estudiaron la efectividad dispersante del aceite de coco y lo compararon con productos comerciales; obtuvieron que el mismo se comporta bien como dispersante, tanto solo como mezclado con un dispersante comercial, a una temperatura de 25 °C. Por lo anterior, se ha evaluado la aplicación del aceite de coco (Cocos nucifera) como aditivo estabilizante de asfaltenos en una muestra de petróleo producido en el Estado Monagas y el efecto que tiene someterlo a calentamiento en su desempeño, en búsqueda de una alternativa de producto natural para minimizar los problemas de deposición y taponamiento de tuberías y equipos por asfaltenos, de acuerdo con una línea de investigación desarrollada en el laboratorio de procesamiento de hidrocarburos del Departamento de Ingeniería de Petróleo de la Universidad de Oriente, Núcleo de Monagas, Venezuela.
2. METODOLOGÍA
Para el desarrollo de la investigación se utilizó una muestra de petróleo crudo proveniente del Campo Carito, perteneciente al Distrito operacional Punta de Mata de Pdvsa S.A., ubicado al norte del Estado Monagas. Esta muestra fue caracterizada a través de procedimientos estandarizados para conocer sus propiedades. Se le determinó la gravedad api a través de la Norma ASTM D287 [12], la viscosidad por la norma ASTM d2196 [13] y el porcentaje de asfaltenos mediante la norma ASTM D6560 [14]. Adicionalmente se le determinó su Índice de Inestabilidad a través de una modificación del método Spot Test Number [15] utilizando un microscopio óptico en sustitución del tradicional papel de filtro para observar con mayor precisión el punto donde aparecen los agregados de asfaltenos, método que también ha sido utilizado por autores como Firoozinia et al. [16]. El procedimiento para obtener el Umbral de Floculación se siguió el procedimiento mostrado en la figura 1, en la que se observa que se mide una cantidad de petróleo en un beaker de 50 ml y se coloca en un agitador magnético, con velocidad constante, luego se agregan 0,5 ml de n-heptano y se agita por cinco minutos, para luego colocar una gota en un portaobjeto, cubrirla con cubreobjetos, dejar reposar por cinco minutos y observarla a través de un microscopio óptico; en caso de observarse las partículas o agregados de asfaltenos, se anota el valor de n-heptano utilizado como umbral de floculación; en caso de no observarse los agregados, se procede a adicionar 0,5 mL más de n-heptano, y se repite el procedimiento hasta obtener el umbral.

Para determinar el punto de dispersión de los agregados de asfaltenos en la muestra de crudo utilizada, se siguió el procedimiento mostrado en la figura 2, utilizando Xileno como agente dispersante. Luego de la obtención de los agregados de asfaltenos se continúa la agitación y se agregan 0,5 mL de xileno, agitando por cinco minutos, para luego colocar una gota en un portaobjeto, cubrir con cubreobjetos, dejar reposar por cinco minutos y observar en un microscopio. En caso de observarse los agregados de asfaltenos, se repite el procedimiento agregando 0,5 mL más de xileno y se continúa hasta que no se evidencie la presencia de agregados de asfaltenos; en este punto se anota el volumen total utilizado de xileno como el punto de dispersión.

Con los valores de UF y PD obtenidos se calculó el Índice de Inestabilidad (INI) de la muestra mediante a ecuación 1, la cual fue propuesta para la investigación.

El INI representa la cantidad en mL de agente dispersante (xileno) aplicado por cada mL de agente precipitante utilizado para alcanzar el umbral de floculación (n-heptano). Un resultado de INI bajo significa que se necesita poca cantidad de dispersante en relación con el precipitante, lo que se interpreta como un crudo con asfaltenos estables; por el contrario, un alto valor de INI indica que se necesita una mayor cantidad de dispersante para estabilizar a los asfaltenos agregados, lo que indica que existe poca estabilidad.
El aceite de coco usado fue obtenido de distribuidores del producto, proveniente de productores del Estado Monagas y se midieron 12 muestras de 20 mL cada una y se sometieron a diferentes temperaturas por un periodo de 24 horas, de acuerdo con lo que se muestra en la tabla 1.

Luego de sometidas las muestras de aceite de coco a calentamiento se caracterizaron utilizando procedimientos estandarizados. Las propiedades obtenidas fueron la densidad a partir del procedimiento de la norma ASTM D1298 [17] y la viscosidad por la norma ASTM D445 [18]. Luego se formularon con cada aceite mezclas con gasoil comercial de 20 mL, en proporción 1:1, se etiquetaron y almacenaron para su uso posterior.
Se repitieron los procedimientos descritos es las figuras 1 y 2, adicionando a las muestras de petróleo crudo una dosis de 8 µl de cada mezcla para evaluar, medidas con una microjeringa de capacidad 10 µl. Cada ensayo se realizó por triplicado. Se calculó la eficiencia de estabilización a través de la ecuación 2.

Los resultados obtenidos se procesaron estadísticamente mediante el software Statgraphics Centurion 16.1. Se aplicó ANOVA factorial para establecer la influencia de la temperatura sobre el efecto estabilizante del aceite con una significancia a = 0,05 y nivel de confianza de 95%. También se realizó análisis de correlación basado en el estadístico Rho de Spearman para observar el efecto de la temperatura sobre las propiedades del aceite de coco.
3. RESULTADOS Y DISCUSIONES
Caracterización de la muestra de petróleo crudo
En la tabla 2 se muestran los resultados obtenidos de la caracterización de la muestra de petróleo crudo utilizada en la investigación.

La muestra de utilizada, fue de un petróleo crudo que ha presentado durante su producción problemas de taponamiento por asfaltenos y que, como se observa en la tabla 2, presenta características que lo clasifican con petróleo liviano o ligero (API > 30,0) según lo que especifica Ramírez [19]. El valor obtenido concuerda con lo reportado por Zambrano y Martínez [20], quienes indican que el valor promedio de la API del Campo Carito es de 31 °API, lo que demuestra la aplicación correcta del método en la determinación de la propiedad. Las propiedades como viscosidad varían de acuerdo con la composición del petróleo. Kolltveit [21] menciona que la viscosidad de un líquido está relacionada directamente con sus interacciones intermoleculares y estructuras de las moléculas. Las moléculas grandes aumentan la viscosidad del petróleo, así como la presencia de los heteroátomos (S, O, N) producen dipolos permanentes en las moléculas, que aumentan las interacciones intermoleculares y, en consecuencia, aumenta la viscosidad.
La baja concentración de asfaltenos en la muestra genera una baja viscosidad, lo que está acorde con lo anteriormente planteado. En cuanto al porcentaje de asfaltenos, también es un parámetro que varía en función de la composición y la estructura molecular del petróleo, por lo que autores como Matoug [22] reportan para un petróleo similar (29,7 °API) un porcentaje de asfaltenos mayor (2,58 %), lo cual corrobora lo anteriormente afirmado.
El Valor de INI, al ser mayor de uno, es un valor que puede considerarse alto, lo que indica que se necesita mayor cantidad de solvente para la disolución de los agregados de asfaltenos, en relación con la cantidad de n-heptano necesaria para formarlos; por lo tanto, para efectos de la presente investigación, se considera que la muestra es un petróleo inestable [21]..
Los resultados obtenidos luego de someter las muestras de aceite de coco a calentamiento se muestran en la tabla 3.

Se observa que la densidad del aceite varía entre 0,86 y 0,94 g/mL, siendo el promedio 0,90 g/mL, con un coeficiente de variación de 2.58 %, que al ser menor de 5 % se puede considerar que no existió un cambio importante en esta propiedad por efecto de la temperatura. El valor promedio coincide con el reportado en el documento CODEX STAN 210 [23], en donde se indica que la densidad del aceite de coco es de 0,91 g/mL a 20 °C. Al ser menor la temperatura del valor tomado como referencia es de esperarse que la densidad sea mayor que la obtenida, ya que la densidad disminuye al aumentar la temperatura.
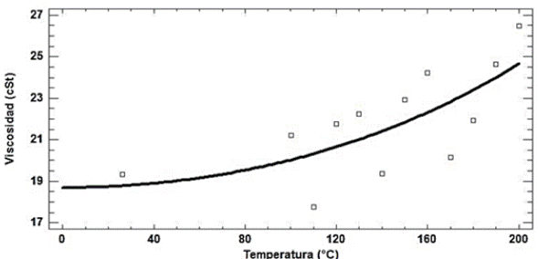
En relación con la viscosidad, los valores no muestran una tendencia definida y un coeficiente de variación de 11,44 % (>5%), lo que puede indicar una influencia de la temperatura en esta propiedad. Se observa que el máximo valor se obtuvo a los 200 °C, lo que se puede deber a la cercanía con el punto de inflamación del mismo, que es de 266 °C [23]. La viscosidad promedio es de 21,84 cSt, valor relativamente menor que el reportado por Bello et al. [24]; lo cual se debe a que las propiedades al aceite varían en función a la variedad de coco que se utilice y al método utilizado para extraerlo, en el caso del utilizado.
En la tabla 4 se muestran los resultados del análisis de correlación realizado a partir del método Rho de Spearman, con la finalidad de analizar si las propiedades del aceite de coco mostraron alguna relación con la temperatura de calentamiento que se le aplicaron. Este método no paramétrico se utilizó debido a que es útil cuando el número de pares de muestras (n) que se asocian es pequeño (menor de 30) [25].

Como se observa en la tabla 4, el Valor-P indica que entre la temperatura y la densidad no existe relación estadísticamente significativa, dado que el valor es mayor a 0,05, lo cual está acorde con lo observado en la tabla 3. En el caso de la viscosidad, el Valor-P es menor de 0,05, indicativo de que la misma guarda relación estadísticamente significativa con el calentamiento, lo cual se puede ver gráficamente en la figura 3.

Con base en los valores de Rho de Spearman, la relación es positiva y medianamente fuerte entre la densidad y la temperatura de calentamiento, así como entre la viscosidad y la temperatura de calentamiento se observa una relación muy fuerte positiva [26].
En la tabla 5 se muestran los Índices de Inestabilidad de la muestra de petróleo dosificada con las mezclas de aceite de coco en gasoil para cada una de las temperaturas de calentamiento a la que fueron sometidas.

En la tabla 5 se observa que el INI disminuyó respecto al valor original (1,40) al aplicar las mezclas calentadas hasta 130 °C, lo cual implica que los asfaltenos se estabilizaron por la presencia de la mezcla aceite de coco/gasoil. La mezcla realizada con el aceite calentado a 100 °C mostró el mejor desempeño al disminuir el INI a 0,30. Aunque se puede pensar que el efecto estabilizador puede estar influenciado por el gasoil, trabajos como los de Romero y Duerto [27]; Cuffaro y Centeno [28] mostraron que al aplicar gasoil puro al petróleo no se observa influencia sobre el INI. A partir de la mezcla formulada con el aceite calentado a 140 °C, el INI fue mayor al original, por lo que se puede decir que el aceite de coco como aditivo antifloculante perdió sus propiedades a partir de esta temperatura, causando una mayor inestabilidad.
Las mezclas con aceite de coco calentado a menos de 140 °C mostraron un rango de eficiencia respecto al valor de INI original entre 42,9 y 78,6 %, rango que coincide con los reportados por Pereira et al. [29], en cuya investigación mostraron un rango de eficiencia entre 16,3 y 73,5% para una muestra de petróleo perteneciente también al Estado Monagas. Los autores citados indicaron que la máxima eficiencia en su investigación fue observada para un producto dispersante comercial, por lo que se puede decir que el aceite de coco como aditivo es más eficiente y que puede ser utilizado para el tratamiento estabilizante de asfaltenos.
Los resultados del análisis ANOVA se observan en la tabla 6. El mismo se realizó con la finalidad de corroborar desde el punto de vista estadístico, la eficiencia del aceite de coco y como la temperatura afecta su eficiencia.

Se observa que el Valor-P es menor de 0,05, lo cual indica que existe relación estadísticamente significativa entre los valores de INI obtenidos y la temperatura de calentamiento del aceite de coco que fue mezclado con gasoil, lo que corrobora la observación hecha respecto a los valores mostrados en la tabla 5. Los resultados del análisis de rangos múltiples, utilizando el método de Student-Newman-Keuls, se muestran en la tabla 7, en la que se ubican los valores de acuerdo con letras en función al estadístico de prueba. Letras iguales indican valores con medias que no presentan diferencias estadísticas significativas y letras diferentes indican diferencias estadísticamente significativas entre las medias.

No se observaron diferencias significativas entre las muestras de aceite de coco calentadas entre 100 y 130 °C y la muestra que no fue calentada (25 °C), lo cual indica que, como se observó en la tabla 5, el aceite de coco es eficiente para estabilizar los asfaltenos en la muestra de petróleo estudiada, calentada a menos de 130 °C; a partir de esa temperatura, el mismo se degrada y deja de actuar como estabilizante. El comportamiento del INI con respecto a la temperatura puede observarse en la figura 4.

Se observa que el INI se mantiene estable hasta la temperatura de 130 °C, a partir de la cual la inestabilidad aumenta hasta un punto máximo para la mezcla que contiene el aceite calentado a 150 °C, luego se observa una disminución del INI, lo cual indica que el aceite de coco como aditivo estabilizante de asfaltenos es sensible a la temperatura, por lo que se debe tener en cuenta la misma para su aplicación.
4. CONCLUSIONES
Se concluyó que el aceite de coco (Cocos nucifera) muestra actividad como agente estabilizante de asfaltenos mezclado con gasoil, al ser aplicado a la muestra de petróleo crudo utilizado en la investigación, perteneciente al Campo Carito, del Estado Monagas. Observándose que el aceite de coco no puede someterse a una temperatura mayor a 130 °C, si se aplica a la muestra estudiada, ya que a partir de la misma su eficiencia disminuye a valores negativos, llegando a desestabilizar a los asfaltenos, al llevar el INI a valores mayores al reportado para la muestra original (>1,40).
Se puede afirmar, de acuerdo con los análisis estadísticos, que la temperatura de calentamiento a la cual se someta el aceite de coco antes de ser mezclado con el gasoil influye de manera significativa sobre su eficiencia como estabilizante de asfaltenos al ser aplicado a la muestra de petróleo crudo utilizada en la investigación con un nivel de confianza de 95 %, llegando a ser ineficiente a partir de los 140 °C (Eficiencias < 0).
Aunque se observó que no existe diferencia estadísticamente significativa entre los INI con una significancia a = 0,05; al aplicar las mezclas preparadas con los aceites calentados entre 25 y 130 °C, la máxima estabilidad se consiguió con el aceite de coco calentado a 100 °C con un valor de eficiencia de 78,6 %.
Se recomienda continuar investigando sobre el efecto del calentamiento del aceite sobre sus propiedades químicas, con lo cual se pueda analizar y explicar el comportamiento estabilizante del aceite de coco mezclado con gasoil, ya que el aumento de la temperatura puede generar oxidación en el aceite, así como reacciones de polimerización que sean las responsables del aumento observado en la viscosidad y, por ende, el efecto en su capacidad estabilizante.
REFERENCIAS
[1] S. Yaseen y A. Mansoori, "Molecular dynamics studies of interaction between asphaltenes and solvents", Journal of Petroleum Science and Engineering, 2017. doi: https://doi.org/10.1016/j.petrol.2017.05.018
[2] S.A. Mousavi-Dehghania, M.R. Riazib, M. Vafaie-Seftic y G.A. Mansoori, "An analysis of methods for determination of onsets of asphaltene phase separations", Journal of Petroleum Science and Engineering, vol. 42, pp. 145-156, 2004. doi: https://doi.org/10.1016/j.petrol.2003.12.007
[3] J. A. Sepúlveda, J. P. Bonilla y Y. Medina, "Predicción de la Estabilidad de los Asfaltenos Mediante la Utilización del Análisis SARA para Petróleos Puros", Revista Ingeniería y Región, n° 7, pp. 103-110, 2010.
[4] M.C. García y N. Chiaravallo, "Asphal tenes Deposition Control in Lake Maracaibo Crude Oil Production", SPE Journal, SPE 65009, pp. 13-16, 2001.
[5] E.J. Suarez-Dominguez et al., "Stochastic modeling of asphaltenes deposition and prediction of its influence on friction pressure drop", Petroleum Science and Technology, vol. 36, n.° 21, pp. 1812-1819, 2018.
[6] J.G. Delgado, "Precipitación de asfaltenos", CuadernoFIRPS368-NT. Mérida: Universidad de los Andes, 2015. Disponible en: http://www.firp.ula.ve/site/es/cuadernos-firp-gratuitos
[7] M. Alvarado y C. García, La inhibición de asfaltenos en aceites crudos brasileños utilizando nuevos anfifilos solubles en aceite. Barquisimeto: Universidad Nacional Experimental Politécnica "Antonio José de Sucre", 2015.Disponible en https://dokumen.tips/engineering/inhibicion-de-asfaltenos-en-aceites-crudos-brasilenos-utilizando-nuevos-anfifilos-solubles-en-aceite.html
[8] A.K. Rodríguez y S.N. Gaspar, "Evaluación de la resina de aceite de árbol (Copaifera officinalis) como agente dispersante de asfaltenos", tesis de pregrado, Universidad de Oriente, Venezuela, 2012.
[9] O.H. Elochukwu, I.M. Saaid y R.M. Pilus, "Organic deposit remediation using environmentally benign solvents: a review", ARPN Journal of Engineering and Applied Sciences, vol. 9, n.° 10, 2014. Disponible en https://pdfs.semanticscholar.org/1fcd/64f676d23ae859ea2cfb18c3ebc2eec203df.pdf
[10] J.L. Salager, "Surfactantes. Tipos y usos", laboratorio de formulación, interfaces reología y procesos, Universidad de Los Andes, Venezuela, 2001. Disponible en: http://www.firp.ula.ve/archivos/cuadernos/S300A.pdf
[11] H. Alrashidi y H.A. Nasr-El-Din, "Evaluation of Eco Friendly Bio-Oil Dispersants on the Inhibition of Asphaltene Precipitation in a Kuwaiti Crude Oil", SPE Journal, SPE-188232-MS, 2017. doi: https://doi.org/10.2118/188232-MS
[12] ASTM, "Standard Test Method for API Gravity of Crude Petroleum and Petroleum Products (Hydrometer Method)", ASTM D287, 2012. [En línea]. doi: https://doi.org/10.1520/d0287-12
[13] ASTM, "Standard Test Methods for Rheological Properties of Non-Newtonian Materials by Rotational Viscometer", ASTM D2196, 2015 doi: https://doi.org/10.1520/d2196-15
[14] ASTM, "Standard Tes Method for determination of asphaltenes (Heptane insolubles) in crude petroleum and petroleum products", ASTM D65060, 2017. doi: https://doi.org/10.1520/d6560-00r05
[15] ASTM, "Standard Test Method for Cleanliness and Compatibility of Residual Fuels by Spot Test", ASTM D4740, 2012. doi: https://doi.org/10.1520/d4740-04r09
[16] H. Firoozinia, K.F. Hossein y A. Varamesh, "A comprehensive experimental evaluation of asphaltene dispersants for injection under reservoir conditions", Petroleum Science, vol. 13, n.° 2, pp. 280-291, 2016. doi: https://doi.org/10.1007/s12182-016-0078-5
[17] ASTM, "Standard Test Method for Density, Relative Density, or API Gravity of Crude Petroleum and Liquid Petroleum Products by Hydrometer Method", ASTM D1298, 2012. doi: https://doi.org/10.1520/d1298-12b
[18] ASTM, "Standard Test Method for Kinematic Viscosity of Transparent and Opaque Liquids (and Calculation of Dynamic Viscosity)", ASTM D445, 2006. doi: https://doi.org/10.1520/d0445-14e02
[19] R. Ramírez, "Clasificación del crudo según API", 2015. Disponible en: https://rocioramirezproyectandotupetroleo.wordpress.com
[20] G.E. Zambrano y M.L. Martínez, "Caracterización del área de carito a nivel del terciario mediante la integración de atributos sísmicos y parámetros petrofísicos", tesis de pregrado, Universidad Central de Venezuela, 2004.
[21] Y. Kolltveit, "Relationship Between Crude Oil Composition and Physical-Chemical Properties", tesis de Maestría, University of Bergen, 2016.
[22] M. Matoug, "Optical Techniques for Crude Oil and Asphaltene Characterization", tesis de Maestría, University of Tripoli, 2009.
[23] CODEX STAN 210, "Norma para aceites vegetales especificados", 2017. Disponible en: http://www.codexalimentarius.org
[24] E.I. Bello, I.T. Adekanbi y F.O. Akinbode, "Production and characterization of coconut (Cocos nucifera) oil and its methyl ester", European Journal of Engineering and Technology, vol. 3, n° 3, pp. 25-35, 2015. Disponible en: https://www.idpublications.org/wp-content/uploads/2015/02/Paper-to-Upload-Production-and-Characterization-of-Coconut.pdf
[25] M.A. Mondragón, "uso de la correlación de Spearman en un estudio de intervención en fisioterapia", Movimiento Científico, vol. 8, n.° 1, pp. 98-104, 2014.
[26] W. Hopkins, "A New View of Statistics", 2014. Disponible en: http://complementarytraining.net/free-will-hopkins-a-new-view-of-statistics-pdf-printout/
[27] J. Romero y H. Duerto, "Evaluación de productos químicos a base de aceite de piñón (Jatropha curcas) como agente inhibidor de asfaltenos", tesis de pregrado, Universidad de Oriente, Venezuela, 2016.
[28] K.A. Cuffaro y L.P. Centeno, "Comparación de la eficiencia de los aceites de piñón (Jatropha curcas) e higuereta (Ricinus communis) como dispersantes de asfaltenos aplicados a un crudo mediano del Norte de Monagas", tesis de pregrado, Universidad de Oriente, Venezuela, 2017.
[29] J.C. Pereira et al., "The Effect of Solvent Nature and Dispersant Performance on Asphaltene Precipitation from Diluted Solutions of Instable Crude Oil", Petroleum Science and Technology, vol. 29, n.° 23, pp. 2432-2440, 2011. doi: https://doi.org/10.1080/10916461003735061