Abstract: The objective of the research is to analyze, at the simulation level, the effect of the M-Quadrature Amplitude Modulation (M-QAM) technique, in the downlink, for a converged Radio over Fiber (RoF) network infrastructure, implementing the Orthogonal Frequency Division Multiplexing (OFDM) technique and the Passive Optical Network architecture, with 10 Gbps capacity (XG-PON). The evaluation of the effect of the M-QAM modulation technique was done through a pre-established simulation methodology and using the optsim software for the network model and tests. In the results of the research, the increase of the order of M-QAM modulation for a converged OFDM-RoF network infrastructure allows to represent more bits per symbol, however, it requires a higher transmission power. The conclusion derives in the possibility of developing a robust converged OFDM-RoF network infrastructure of XG-PON type, implementing the M-QAM technique, since it efficiently uses the available bandwidth.
Keywords: Convergent NetworkConvergent Network,Fiber To The HomeFiber To The Home,Gigabit Passive Optical NetworkGigabit Passive Optical Network,Orthogonal Frequency Division MultiplexingOrthogonal Frequency Division Multiplexing,Quadrature Amplitude ModulationQuadrature Amplitude Modulation,Radio over FiberRadio over Fiber.
Resumen: El objetivo de la investigación es analizar, a nivel de simulación, el efecto de la técnica de Modulación de Amplitud en Cuadratura M-aria (M-QAM), en el enlace descendente, para una infraestructura de red convergente de Radio sobre Fibra (RoF), implementando la técnica de Multiplexación por División de Frecuencias Ortogonales (OFDM) y la arquitectura de Red óptica Pasiva con capacidad de 10 Gbps (xg-pon). La evaluación del efecto de la técnica de modulación M-QAM se realizó mediante una metodología de simulación preestablecida y utilizando el software optsim para la realización del modelo de red y pruebas. En los resultados de la investigación, el aumento del orden de modulación M-QAM para una infraestructura de red convergente OFDM-RoF, permite representar más bits por símbolo, sin embargo, requiere una mayor potencia de transmisión. La conclusión deriva en la posibilidad de desarrollar una robusta infraestructura de red convergente OFDM-RoF de tipo XG-PON, implementando la técnica M-QAM, ya que se utiliza eficientemente el ancho de banda disponible.
Palabras claves: Fibra Hasta el Hogar, Modulación de Amplitud en Cuadratura, Multiplexación por División de Frecuencia Ortogonal, Radio sobre Fibra, Red Convergente, Red Óptica Pasiva Gigabit.
Artículo de investigación
Effect of M-QAM Modulation Technique for a Converged Network Infrastructure Radio over Fiber (RoF)
Efecto de la técnica de modulación M-QAM para una infraestructura de red convergente Radio sobre Fibra (RoF)
Received: 13 August 2020
Accepted: 08 June 2021
In recent years, technological convergence has been proposed as an answer to meet the requirements of broadband access and security in the wireless network. Communication by optical fiber efficiently uses the available bandwidth, so that it handles large data transmission capacity, as well as the advantage of having immunity to electromagnetic interference, while wireless networks allow for user mobility. On the other hand, thanks to digitalization, telecommunications networks are more efficient at a lower cost, in addition to allowing the introduction of new services and applications such as telephony of Voice over IP (VoIP), video conferencing, online multimedia services, video on demand, and others. However, since the bandwidth of wireless services and the degradation of the wireless signal along a transmission channel do not allow for high data rates, it is important to drive the convergence between wireless and optical technologies to the last mile, defined as Fiber to the Home (FTTH) and RoF architectures [1].
Today's next-generation mobile and wireless communication services offer mobility, flexibility, and connectivity to end users, as well as direct access to a host of new resource-efficient broadband services and applications. One of the most widely deployed modulation techniques in wireless communications is QAM, which offers a lower probability of Inter Symbol Interference (ISI), compared to other digital modulation techniques. With the development of advanced modulation formats, such as OFDM, which allows for the simultaneous sending of several independent QAM sub-carriers, the overall performance of the network is improved and a more robust system is created, however, with the development of optical fiber and packet-based networks, modulation schemes such as M-QAM seek to transport more bits per symbol at higher data rates [2].
Although it is true that optical and wireless communications were established between the 70s and 80s, the convergence of these two networks in a technology like RoF is a subject of constant research today. Some authors, such as F. Mohammed Ali, E. Al-Hilo, and M. Gamil Tarbul argue that it is possible to create a strong communication standard that efficiently uses the advantages of fiber optics in the context of a converged OFDM-RoF network infrastructure [3], [4]. It is for these reasons that it is planned to analyze which effect at simulation level of M-QAM modulation technique for a converged OFDM-RoF network infrastructure of passive optical network type with 10 Gbps capacity.
The article is organized as follows: first, the basic theoretical aspects of OFDM and M-QAM modulation schemes are described, also, the theoretical aspects related to Full Service Access Network (FSAN) and RoF technology. Then, the materials and methods that allowed for the successful development of the research are described, for example, a simulation methodology, the simulation scenario and metrics, in order to obtain concrete objectives. Finally, the results are presented and discussed.
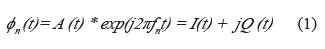
It is a type of Multi-Carrier Modulation (McM), with modulation and multiplexing characteristics, because it divides a high-speed data stream into a set of signals, then modulates each signal to a new frequency using digital modulation techniques, such as Phase Shift Keying (PSK) or QAM. The signals are sent on a set of narrow-band sub-channels, each centered on a sub-carrier, properly spaced, and orthogonal to each other. The consequence of transmitting the modulated data in parallel is that the symbol period is extended, so that the ISI within the communication channel only affects a portion of the signal, which can be removed using a guard interval called the cyclic prefix [5]. The mathematical expression for the OFDM signal is shown in (1).

Where fn is the frequency of the n-th subcarrier, n the number of subcarriers, and A the amplitude of the signal. The use of Inverse Fast Fourier Transform (IFFT) characterizes OFDM technology, since it allows for the parallel transmission of orthogonal subcarriers, avoiding the problems of multipath propagation. In Figure 1, an OFDM signal is represented in the frequency domain.
The advantages of the OFDM multiplexing scheme have allowed it to be implemented in the context of digital broadband communications for wireless and wired networks, advantages such as efficient against ISI and fading caused by multipath propagation, high spectral efficiency, efficient implementation through IFFT, efficient against narrow-band co-channel interference, adaptation to hostile channel conditions without complex equalization, high parallel multicarrier data transmission rates, and allowing for the introduction of dynamic bandwidth and low sensitivity to time synchronization errors. In addition, the most significant disadvantages of the OFDM scheme are complexity in relation to single carrier modulations, perceptive to doppler shift effects, frequency synchronization problems, high Peak to Average Power Ratio (PAPR), and sensitivity to phase noise [6].
In recent years, the progress made in digital signal processing has allowed the introduction of OFDM modulation scheme in optical communications. The transmission of information in optical networks using a single carrier suggests an inefficient use of spectrum, however, the demand for higher data rates with high bandwidth requires a search for solutions such as optical bandwidth optimization with dynamic allocations, so OFDM is a promising solution to be implemented in optical communications [6].
There are two types of implementations of the OFDM modulation scheme in the optical medium, according to the technique used for detection in the receiver, such as: direct detection and coherent detection, the former requiring electrical to optical conversion by means of a intensity-modulated laser and a photodetector in the receiver, which receives the optical power of the pulse and transforms it into an electrical current. In the latter technique, the electrical to optical conversion of the OFDM signal in phase and quadrature is performed by means of Mach Zehnder Modulators (MZM), then the two optical signals are added together and sent on the transmission channel to the receiver. The difference with direct sensing systems is that the optical carrier is not transmitted with the modulated optical OFDM signal, instead, it is generated locally in the receiver by a local laser, with the advantage of using less power to transmit, although it allows greater sensitivity to phase noise. Also, coherent detection systems require a more difficult transceiver design compared to the direct detection technique [7].
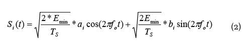
It defines that the information signal is contained in both the amplitude and the phase of the carrier signal, compared to the M-PSK modulation technique, where the points within the constellation are on a fixed amplitude circle. The technique transmits two independent messages from the same carrier signal, where the messages occupy the same frequency band, but are offset by 90 degrees from each other, each message is then modulated independently and transmitted by a single path over the same frequency band, and then separated by demodulation in the receiver [8]. The M-ary scheme for M-QAM, on the other hand, defines that two or 'k' incoming bits of information are represented by a symbol that occupies a point in the complex phase and quadrature constellation. M is possible output symbols that are transmitted in each Ts symbol period. The mathematical expression for the M-QAM scheme is illustrated in (2).

This modulation scheme is widely used in the field of modern communications for applications that require high data rates, both in wired and wireless media, for example: television transmission systems, microwaves, and satellites, since it allows to improve the spectral efficiency in the available bandwidth. Also, M-QAM formats are closer to the Shannon capacity limit when high spectral efficiency is sought, however, a more complex modem is needed, although in practice, M-QAM exceeds the performance advantages compared to its complexity, and therefore is more widely used than M-PSK formats.[8].
As the transition of telecommunication networks is shifting from circuit-based networks to packet-based next-generation networks (NGN), this migration scenario offers several services on one platform. In turn, next generation networks are developed to support traditional and emerging packet-based services, as well as all mobile services and applications for residential and business users, with a high quality of service (QoS), bandwidth efficiency and data rates in the order of Gigabits per second, with optical fiber-based telecommunication systems being important candidates to meet the requirements of an NGN network. Some of the requirements according to [9], are: to allow for the creation, introduction, and management of all types of services; to support, at the transport level, services with different bandwidth demands; to separate services and transport from the network allowing them to evolve independently; and more. On the other hand, the FSAN task force, created at the end of the 90's with the purpose of defining a family of broadband access architectures based on optical fiber, proposes an evolution to next generation networks in two stages, such as: New Generation Passive Optical Network 1 (NG-PONi), which comprises passive optical network architectures with io Gbps capacity of symmetric or asymmetric type. Also, New Generation Passive Optical Network 2 (NG-PON2), which proposes completely new generation architectures at 40 Gbps [10]"title":"io-Gigabit-capable passive optical networks (XG-PON. In Figure 2, an evolution of PON technology is presented in a timeline.
In addition, the European FTTH committee proposes several network architectures for different scenarios of interconnection and convergence of technologies, with the aim of migration to next-generation networks and coexistence of the different proposed standards [12]. The deployment of optical fiber for FTTx networks is limited to a certain point in the network, so the point reached is determined by the last letter, for example: FTTH, Fiber to the Building (FTTB), Fiber to the Node (FTTN), Fiber to the Antenna (FTTA), Fiber to the Distribution Point (FTTDp), among other abbreviations.
The transmission of information through the optical fiber is made, using, as mechanism, the adjustment of the light with the RF signal that is desired to emit. RoF is a combination of wireless networks with fiber optic networks, where the RF signals are distributed from a central office through a fiber optic link to a Base Station (BS). The BS transmits the data to mobile stations or terminals that are within range. Therefore, a RoF system consists of four main elements: the optical transmitter, the optical access network, the BS, and the mobile or fixed end user [12], [4]. The general architecture for a RoF communication system is illustrated in Figure 3.
When there are different base stations, the signal is split to each one through a passive optical splitter as illustrated in Figure 3. Since the first experiments in transmission and distribution of RoF signals, the convergence of optical and wireless networks has evolved so they have been used in a variety of wireless networks, such as outdoor cellular networks and indoor distributed antennas. RoF systems face challenges to support multiple standards, reliably and cost-effectively support capacity demands, traffic growth, and services in current and future networks [13]. Recently, the region of frequencies that will allow for the extension of wireless coverage of radio systems for the provision of broadband services is being explored, the great interest has focused on the millimeter wave, especially in the band of 60 GHz without license and available worldwide, since the existing wireless standards as: Long Term Evolution (LTE), Universal Mobile Telecommunications System (UMTS), Global System for Mobile Communications (GSM), the IEEE 802.11X standard, work in low frequency ranges from 700 MHz to 6 GHz [14].
In this context, a research methodology called sequential linear model was implemented [15], and a methodology for the simulation of telecommunication equipment adapted in [16]. The simulation model implemented in the optsim software is presented below, for the purpose of evaluating the M-QAM modulation technique on the network. Finally, it describes the metrics that allowed to reach the objectives set within the research. The methodology for the simulation of telecommunication equipment in question is implemented in this research with the stages presented in Figure 4.
Similarly, with respect to performance metrics, the analysis of the M-QAM constellation in the receiver and the eye diagrams for each level of M-QAM modulation are proposed as two essential parameters when performing a performance analysis of a modulation technique on a communications system. Also, it is pertinent to review parameters such as the BER, since it is the most used to observe the degradation suffered by the data within a communication system, and it is sensitive to the failures that affect the quality of service; likewise, the Signal to Noise Ratio (SNR) and the electrical power in reception are other important parameters to keep in mind for the investigation. As for monitoring at a physical level of signal quality in an optical medium, the power of the optical signal in reception and the OSNR are taken into account. The proposed metrics seek a complete and accurate analysis, as well as accurate conclusions for the overall objective of the research.
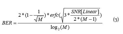
The Error Vector Magnitude (evm), measured in the receiver, seeks to evaluate the quality of a certain signal that has been modulated with some multilevel modulation technique, such as M-QAM or M-PSK. To calculate the EVM, phasors are used in the complex plane so the EVM is a scale that illustrates the difference between the ideal reference symbol and the real symbol in reception, within the complex constellation [1]. In Figure 5, the graphic representation of the EVM is illustrated. Therefore, in the context of this article, the EVM is used to calculate the BER, because, conceptually, a convergent network model with current modulation and direct detection was defined for the OFDM-RoF system, which indicates that the system is not coherent, i.e. there is no synchronization between the transmitter and the receiver, therefore the signal in reception has amplitude differences and phase shifts, in addition to the noise present in the whole system, causing errors in the BER measurement. According to [3], it is possible to obtain the BER as a function of the SNR for a network model using the M-QAM modulation technique as described in (3).

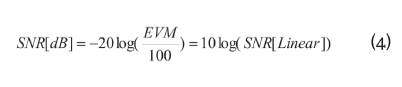
It is also possible to obtain a consistent approach to the SNR as a function of the EVM, as described in (4).

The aforementioned equations were fully useful for the correct process of calculating the BER. Thus, the methodological process to follow within the optsim software is to measure the EVM in the OFDM-RoF receiver and to subtract the EVM measured in the back-to-back receiver, later, and with the help of an Excel file, the result of the SNR is calculated for a certain order of M-QAM modulation. On the other hand, as for the simulation scenario, a converged OFDM-RoF network architecture is defined based on the XG-PON standard, guaranteeing an access capacity of 2,5 Gbps for a point-to-point downlink, in which the 193,41449 THz channel is implemented. The simulation scenario in which the effect of the M-QAM modulation technique is evaluated has the parameters shown in the Table 1, and it follows the characteristics of an FTTH application.

For the simulation scenario, the general components of a telecommunication system are taken into account: transmitter, channel, receiver; the transmitter consists of two main parts, including the RF-OFDM transmitter subsystem and the radio frequency to optical converter (RTO) subsystem; on the other hand, the receiver block comprises two main parts, such as: an optical to electrical converter and an RF-OFDM receiver. The design for the Optical Distribution Network (ODN) is based on an FTTH access network with an XG-PON type architecture, i.e., optical fiber is laid from the OLT to the ONT. The design parameters to be taken into account are the length and type of optical fiber. Since the objectives set for this research are based on the implementation of a converged OFDM-RoF network infrastructure of XG-PON type, a thorough investigation of the maximum distance achieved for this type of converged network was necessary in order to obtain a BER around 10E-3, which is an acceptable bit error probability for cellular ra-diotelephony systems at minimum performance, as recommended by [17]. Figure 6 illustrates the simulation scenario implemented in the optsim software for this research.

For the OFDM-RoF 4-QAM XG-PON system, a maximum distance of about 13 km was achieved, at a data rate of 2,5 Gbps in the downlink, where it is finally used for the evaluation of the 4-QAM modulation technique. In Figure 7(a), the spectrum of the RF-OFDM signal transmitted (green) and received (blue) for 4-QAM modulation order is illustrated. The RF-OFDM signal is modulated in the optical domain, through the external modulation technique, which is well known to be used in high frequency signals, with the use of a continuous wave laser diode at a power of 0 dBm, centered in the 1.550 nm window; and an MZM modulator; in Figure 7(b), the transmitted (green) and received (red) RoF signals are shown. Finally, the eye and constellation diagram for 4-QAM modulation in the OFDM-RoF/XG-PON system are detailed in Fig. 7(c) and 7(d), respectively.

On the other hand, for the OFDM-RoF 8-QAM XG-PON system, a maximum distance of 20 km was achieved, at a data rate of 2,5 Gbps in the downlink, where it is finally used for the evaluation of the 8-QAM modulation technique. Figure 8(a) shows the spectrum of the RF-OFDM signal transmitted (green) and received (blue) for the 8-QAM modulation order. Figure 8(b) shows the spectrum of the transmitted (green) and received (red) RoF signal. Finally, the eye and constellation diagram for the 8-QAM modulation in the OFDM-RoF/XG-PON system are detailed in Fig. 8(c) and 8(d), respectively.

In the case of an OFDM-RoF 16-QAM XG-PON type network, a maximum distance of 20 km was achieved, at a data rate of 2,5 Gbps in the downlink, where it is finally used for the evaluation of the 16-QAM modulation technique. Figure 9(a) shows the spectrum of the RF-OFDM signal transmitted (green) and received (blue) for the order of 16-QAM modulation. Figure 9(b) shows the spectrum of the transmitted (green) and received (red) RoF signal. Finally, the eye and constellation diagram for the 16-QAM modulation in the OFDM-RoF/XG-PON system are detailed in Figure 9(c) and 9(d), respectively.

When implementing an OFDM-RoF 64-QAM XG-PON type network, a maximum distance of 20 km was achieved, at a data rate of 2,5 Gbps in the downlink, where it is finally used for the evaluation of the 64-QAM modulation technique. Figure 10(a) shows the spectrum of the RF-OFDM signal transmitted (green) and received (blue) for the order of 64-QAM modulation. Figure 10(b) shows the spectrum of the transmitted (green) and received (red) RoF signal. Finally, the eye and constellation diagram for 64-QAM modulation in the OFDM-RoF/XG-PON system are detailed in Fig. 10(c) and 10(d), respectively.

According to the analyzed data of the M-QAM modulation scheme for a converged OFDM-RoF/XG-PON network infrastructure, a graph expressing the SNR versus distance behavior is presented in Figure 11. Also, a comparative graph of BER versus SNR for the OFDM-RoF/XG-PON system is presented in Figure 12.


Finally, it is noted that with an increase in the order of M-QAM modulation, for the OFDM-RoF network infrastructure, at a downstream data rate equal to 2,5 Gbps, it is possible to represent more bits per symbol, however, as the proximity of the symbols within the constellation increases, it is susceptible to higher BER due to noise and distortion phenomena, which requires a higher level of transmitted signal power. On the other hand, it is observed that 8-QAM is the order of modulation that presents a greater performance in power over the region between 14 and 20 km of optical fiber length, approximately. However, there is a penalty in the spectral efficiency and data transmission speed compared to 64-QAM.
The results presented in this article allow to verify that the performance of a converged OFDM-RoF network infrastructure, for a downlink speed of 2,5 Gbps, is affected by varying the order of modulation M-QAM, because an increase in the order of modulation allows to represent more bits per symbol and reaching a greater distance without losing the transmitted information, but a higher transmission power is required, since the proximity of the symbols within the constellation and signal degradation along the transmission channel generates detection errors in the receiver.
The M-QAM multi-carrier modulation scheme can be implemented in converged OFDM-RoF networks together with XG-PON optical access networks, as it efficiently uses the available bandwidth as it uses the advantages of both radio and optical fiber technology. It is also clear that an XG-PON solution provides scalability by being inherently transparent to the channel bit rate, so in an OFDM-RoF/XG-PON system, there is no significant loss in the optical link.
The present research work is a reference for future research and development of the OFDM-RoF convergent network model in wireless and broadband communications concluding that the OFDM-RoF convergent network model can be implemented on telecommunication networks to obtain benefits, such as: increasing the bandwidth, low attenuation due to the optical fiber link, and low BER using the M-QAM modulation technique. Being clear that PON networks combine the high capacity given by the optical fiber with the low cost of installation and maintenance of a passive infrastructure.
The authors would like to thank Andrés Felipe Escallón Portilla, MSc, for his valuable contributions to this research. The Department of Telecommunications of the Faculty of Electronic and Telecommunications Engineering of the University of Cauca for their contributions and recommendations, and the research group of New Technologies in Telecommunications - GNTT for their collaboration and advice on the development of this article.







