Recepción: 07 Marzo 2016
Revisado: 13 Julio 2016
Aprobación: 19 Septiembre 2016
DOI: https://doi.org/http://dx.doi.org/10.18359/rcin.1780
Resumen: Los métodos sísmicos de prospección constituyen la principal herramienta de exploración y caracterización de reservorios de hidrocarburos, en cualquier cuenca de nuestro planeta. La sísmica de reflexión se puede adquirir en tres tipos de ambientes: marino, terrestre y zonas de transición. Dependiendo de la topografía del área de exploración que se desea iluminar, los sistemas de interconexión de líneas para la adquisición sísmica pueden ser alámbrico o inalámbrico. Este artículo presenta los resultados del desarrollo y pruebas de funcionamiento de una red inalámbrica que interconecta la estación central de registro con tres nodos, en una configuración maestro-esclavo y transmisión bidireccional. Entre dichos puntos se propagó una portadora digital que modula señales banda base para detección de la verticalidad del geófono, y referida al registro de los geófonos. Los resultados obtenidos fueron satisfactorios, en cuanto se transmitió información confiable, aprovechando las ventajas de movilidad de terminales e instalación fácil que ofrecen las redes inalámbricas; sin embargo, se presentaron algunos inconvenientes en la baja tasa de transmisión (limita la tasa de muestreo), y pérdida de datos por el esquema utilizado para el control de flujo y acceso al medio. Esta experiencia de investigación permitió proponer una interconexión alternativa frente al método de interconexión por cable convencional utilizado en la prospección sísmica por reflexión en Colombia.
Palabras clave: exploración de petróleo, sísmica por reflexión, geófono, redes inalámbricas.
Abstract: Seismic prospecting methods are the main tool of exploration and characterization of hydrocarbons reservoirs, in any basin of our planet. The seismic reflection is available in three types of environments: marine, land and transition zones. Depending on the topography of the scanning area to be illuminated, systems interconnection lines can be wired or wireless to seismic acquisition. This article presents the results of the development and performance testing of a wireless network that interconnects the central station of record with three nodes, in a masterslave configuration and two-way transmission. Among such points spread a digital carrier signal that modulates signals base-band to detect the geophone vertical position and record of them. The results obtained were satisfactory, as reliable information was transmitted, taking advantage of mobility and easy installation terminals offering wireless networks; however, some drawbacks occurred at the low transmission rate (limited sampling rate), and loss of data by the scheme used for flow control and media access. This research experience allowed proposing an alternative interconnection front interconnection method for conventional cable used in the seismic exploration by reflection in Colombia.
Keywords: oil exploration, seismic reflection, wired network, geophone, wireless networks.
Referencia:H. Paz Penagos, J. A. Uyuban, A. M. Narváez, R. Ferro Escobar (2017). Desarrollo y prueba de un sistema de radio telemetría para adquisición sísmica. Ciencia e Ingeniería Neogranadina, 27 (1), pp. 111-130, DOI: http://dx.doi.org/10.18359/rcin.1780
INTRODUCCIÓN
En el método de exploración petrolera de prospección sísmica por reflexión en la Orinoquía colombiana, se detectó la siguiente problemática: la presencia de ganado bovino y equino en la zona de interés incrementa los costos para la exploración de petróleo [1]; la razón es simple, las redes alámbricas que interconecta a grupos de geófonos Field digital Unit (FDU) con la estación central de registro, se puede interrumpir fácilmente porque el ganado acostumbra masticar el cable; cuando no pisa, y desubica los geófonos. Este fenómeno aumenta los costos de operación porque incrementa el personal de la cuadrilla que se encarga de vigilar dicho tendido. A raíz de esta problemática, se propuso una alternativa de solución mediante el desarrollo y prueba de una red inalámbrica de bajo costo para cumplir las funciones de telemetría de datos y detección de parámetros del geófono. Con esta estrategia se pretende reducir los costos de operación (por la adquisición del cable, mantenimiento y transporte a la zona de trabajo), y lograr movilidad de las FDUs, además de contribuir con la preservación de los recursos naturales, y evitar mayor contaminación del medio ambiente.
1. MARCO TÉORICO
1.1 Modo de prospección sísmica por reflexión profunda
Históricamente, los métodos sísmicos por reflexión han desempeñado un papel fundamental en el estudio de la estructura del subsuelo y de los materiales que lo conforman. Esta estrategia de prospección se divide en dos tipos: superficial y profunda. La sísmica por reflexión profunda genera ondas elásticas que son capaces de llegar a las capas profundas del subsuelo; tiene, entre otros usos, la detección de reservorios petrolíferos [2].
Cuando una onda sísmica encuentra un cambio en las propiedades elásticas del material, como es el caso de una interfaz entre dos capas geológicas, parte de la energía continúa en el mismo medio (onda incidente), parte se refleja (ondas reflejadas), y el resto se transmite al otro medio (ondas refractadas) con cambios en la dirección de propagación, velocidad y modo de vibración.
Como se muestra en la Figura 1, mediante el método sísmico por reflexión profunda se emiten ondas de sonido desde camiones vibradores en tierra, cañones de aire en cuencas submarinas o explosiones controladas con cargas de pentolita enterradas. Las ondas generadas se propagan a través de formaciones geológicas con propiedades físicas diferentes en su composición y densidad; estas diferencias en propiedades, generan contrastes en la velocidad de propagación de las ondas y por consiguiente patrones diferentes de longitud de onda de una línea de reflexión (roll-along). Las señales reflejadas son detectadas por grupos de geófonos de superficie; posteriormente son transmitidas a una estación central de registro, en donde son grabadas en cintas magnéticas.

La industria petrolera se vale de dichos registros para identificar el perfil del subsuelo (disposición de las capas rocosas hasta una profundidad de 4,000 o 6,000m), y determinar la existencia de estructuras geológicas que podrían contener volúmenes comerciales de hidrocarburos.
El modo de interconectar los sensores con la estación central de registro es a través de una red alámbrica con topología en bus o árbol. Algunos ejemplos de este tipo de red de telemetría es 428XL de Sercel [3], ION [4], Seismic Source [5], Oyo Geospace [6] y el sistema SCADA de petróleo y gas ofrecida por M2M de México [7].
También existen alternativas inalámbricas, por ejemplo: la empresa TGC industries, Inc. [8] que cuenta con sistemas de telemetría RF, para la adquisición de datos de prospección sísmica por reflexión mediante unidades remotas; sin embargo, el costo de los sistemas de radio es alto [9]. Otros trabajos precedentes relacionados con redes inalámbricas en el sector de hidrocarburos son los sistemas de telemetría para medición y registro durante la perforación: Measure While Drilling (MWD) y Logging While Drilling (LWD) [10]. Estas herramientas utilizan básicamente la telemetría de pulso de lodo, y constan de sensores de superficie de boca de pozo, filtros DSP y software de demodulación. La tecnología de pulso de Schlumberger es un ejemplo de esto. Herramientas como SlimPulse, PowerPulse, telescopio, etc., utilizan esta metodología para enviar la información adquirida a miles de metros bajo tierra, durante la perforación. Esta información se emplea para la evaluación de la formación, Drilling Optimization y Geonavegación [11, 12].
Otro campo de aplicación de la telemetría inalámbrica, se enfoca al control de redes que transportan derivados del petróleo o gas; un ejemplo de esto es la red de gas a alta presión en el Reino Unido. El proyecto recaba datos a distancia en la red de gas y permite la operación a distancia de válvulas, compresores y diagnóstico de equipos [13].
1.2 Configuración de red alámbrica más usada en Colombia para la prospección sísmica por reflexión
La red 428XL de SERCEL, en configuración bus, y con arquitectura cliente/servidor, es una de las más usadas; como lo muestra la Figura 2, está conformada por unidades de sensor digital (DSU), unidades digitalizadoras de campo (FDU), enlace por unidades de campo dedicadas (LAULs), unidades de adquisición de línea de cruce (LAUX), interfaz entre el tendido y la estación de registro central (LCI).

La unidad de sensor digital es un paquete integrado, que incluye la estación electrónica, y uno o tres acelerómetros digitales, basados en la tecnología Micro-machined Electro- Mechanical Sensor - Sensor Electromecánico Micromaquinado (MEMS). Las unidades digitalizadoras de campo, reciben la información analógica de los geófonos; la digitalizan, filtran, le dan una ganancia de pre amplificación específica, y la transmiten a la estación central de registro.
El suministro de energía (48V) a las FDUs y a las DSUs es enviado a través de los cables del enlace por unidades de campo dedicadas llamadas LAULs; estos también se encargan de propagar la información de los segmentos FDU a las unidades de grabación. Para efectos de pruebas, las LAULs actúan como controladores de osciladores en las FDU. Por otra parte, las unidades de adquisición de línea de cruce operan de la misma forma que las LAUL pero pueden también enviar información entre las líneas de recepción a lo largo de las líneas transversas.
La interfaz LCI es una unidad compacta que actúa como guía entre los datos sísmicos adquiridos en el campo y la red Ethernet de alta velocidad que se comunica con la plataforma cliente/servidor. Los usuarios remotos pueden acceder al servidor a través de una conexión Intranet o Internet.
Los parámetros técnicos de la Tabla 1 son algunos de los utilizados en adquisición sísmica mediante grillas 2-D:

En la práctica, la longitud y el tipo de cable, así como el número de FDUs y sus intervalos, son definidos por el usuario. El cable transversal se selecciona basado en un protocolo Ethernet de 100 Mbps, para que sea capaz de manejar 10.000 canales a 2 ms en tiempo real y en una sola unidad que sea fácil de manipular; se puede usar un cable convencional o una extensión de fibra óptica. Los cables deben ser probados para determinar la continuidad y posibles fugas.
1.3 Geófonos
Son transductores sensibles de vibraciones mecánicas a señales eléctricas; estos se clasifican en electromagnéticos, de reluctancia variable y capacitivos [15]. Para la exploración petrolera por sísmica por reflexión, los más usados son los geófonos electromagnéticos y de reluctancia variable, este último fue utilizado en la investigación y está constituido de resorte-bobina, imán permanente y armadura (ver Figura 3).

El principio de funcionamiento del geófono de reluctancia variables es como sigue: en estado de equilibrio, los entrehierros están alineados en oposición magnética y no pasa flujo electromagnético por la armadura. Sin embargo, cuando sucede el movimiento vertical de la onda reflejada del subsuelo, la armadura del geófono se desplaza de su posición de equilibrio (se desigualan los entrehierros), con lo cual cambian las reluctancias de los dos circuitos magnéticos formados por la armadura, y los imanes inferior y superior. Con la variación de la reluctancia se produce un flujo que también es variable, y que genera fuerza electromotriz en los terminales de la bobina. Esta información es conocida como registro o impronta sísmica (ver Figura 4).

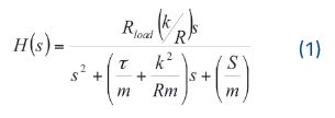
Havskov, et al. [16] afirma que la respuesta del sensor por reluctancia variable cuya frecuencia de resonancia es de ƒn=4-10(Hz), está definida por su función de transferencia de la Ecuación 1.
[1]donde τ es el factor de amortiguamiento mecánico, m es la masa de la espira, R es la Resistencia de la espira, S es la constante del muelle y Rload es la resistencia de carga.
De igual manera, el parámetro k viene dado por la Ecuación 2:
[2]Donde r es el radio de la espira, n es el número de vueltas de la espira y H es el valor del campo magnético.
El registro sísmico detectado por el geófono de superficie corresponde a una señal electromecánica atenuada, por causa de la densidad e impedancia acústica de las capas del suelo. Según Holliger y Robertsson [17], la impedancia del suelo depende del tipo de suelo, cantidad y tipo de humedad, contenido de electrolitos (sales) y granulometría (compactación).
Las improntas son procesadas en un equipo centralizado, y posteriormente analizadas por expertos afinamiento del procesamiento de los datos para tener una mejor resolución de la información obtenida; a partir de esta información, se pueden deducir profundidades de diferentes horizontes, la geometría de las estructuras geológicas y su potencial de contener hidrocarburos.
Generalmente, los geófonos se agrupan en número de doce por estaca topográfica o ristra (seis a cada lado) para conformar una FDU; existen ventajas teóricas para el uso de varios geófonos por grupo, entre ellas se tienen las eléctricas, las estadísticas, el principio de superposición y la atenuación de ruido coherente, y la formación de patrones. Como se muestra en la Figura 5, los sensores se conectan directamente a las FDU para eliminar cualquier ruta analógica significativa y garantizar su posición vertical con respecto a la superficie del suelo.
El geófono GS32CT usado en esta investigación es del tipo "P", porque consta de un solo elemento, y supuestamente capta ondas P; sin embargo, también captó ondas transversales "S".
Previo al registro, se sugiere revisar la correcta posición de los geófonos; es decir, que estén completamente verticales al suelo; así mismo, considerar algunos aspectos sobre el subsuelo que se desea prospectar: el acoplamiento del geófono con el suelo, un buen contacto en las conexiones, la geometría y la posición de los geófonos con respecto a las cargas explosivas; si esto no se cumple, se puede comprometer una toma de muestras confiables.
Las pruebas que generalmente se realizan a los geófonos son de verticalización, polaridad, resistencia (pruebas en corto circuito y circuito abierto), de impulso (para determinar amplitud, fase y distorsión armónica total), relación señal/ruido (para aislar áreas ruidosas y acoplamientos pobres de los geófonos), de fugas (leakage) (para indicar cables, geófonos o arneses en mal estado), continuidad y frecuencias espurias.
En esta perspectiva, Imhof y Fanton [18] refieren una experiencia de calibración de geófonos realizada en la provincia de Santa Cruz - Argentina, para el proyecto de pavimentación de la ruta nacional #40. En esta, se realizaron 50 tendidos sísmicos, los cuales fueron distribuidos a lo largo de la traza en forma continua; en cada uno de los tendidos, se efectuaron lecturas de ida y vuelta en cada una de las pruebas, y de acuerdo a la disponibilidad de espacio. Los resultados evidenciaron dromocromas en función de las distancias mutuas entre geófonos, esto permitió inferir distancias críticas; de igual manera, revelaron la resolución del registro que depende de la cobertura, número de sensores y su tiempo de llegada [19].
Sobre el tema de calibración de geófonos se ha avanzado en la creación de normas internacionales para la descripción de parámetros, métodos de prueba, etc. Esta regulación la utilizan los fabricantes de geófonos para detectar y corregir errores en sus sistemas; entre otras, se cuenta con el estándar IEEE para la digitalización de señales analógicas tomadas en los sensores [20], y de la norma IEEE que trata de la terminología y los métodos de prueba para el conversor de señal analógica a digital [21].
Finalmente, es recomendable ubicar los geófonos en una ventana óptima [22], en torno a un epicentro, con el fin de detectar la señal y transmitirla a través de cables hacia un centro de recepción; sin embargo, el medio de transmisión presenta algunas desventajas en cuanto a problemas de movilidad, deterioro por condiciones climatológicas y es de mayores costos. Estas limitaciones se pueden compensar mediante una alternativa de red inalámbrica.
2. METODOLOGÍA SEGUIDA EN EL DESARROLLO Y PRUEBAS DE LA RED INALÁMBRICA
El propósito de la investigación era desarrollar y probar una red inalámbrica, que permitiera la transmisión de información de verticalización del geófono (monitoreo de la posición correcta del geófono, en la dirección central-sensor), e información de registro (señales transmitidas por las FDUs, en la dirección sensor-central) de manera confiable entre una estación central de registro con tres nodos en los cuales se alojaban sendos módulos (FDUs) y sus respectivos geófonos (ver Figura 6).

Para lograr estos propósitos, la central de registro, antes de cualquier prueba de toma de datos, hace un test de voltaje para validar la verticalización del geófono con el fin de corregir los errores de inclinación atribuibles a la plantación u ocasionados por agentes externos (por pisadas de animales): si su posición es totalmente vertical, habilita el desarrollo de la prueba; en caso contrario, emite una alarma para corregir la posición del geófono.
De esta pesquisa, se descubrió la configuración de red maestro-esclavo como la más adecuada para este propósito; en este contexto, la estación central cumpliría el rol de estación maestra y las FDUs serían las esclavas.
Para el diseño del circuito de test de voltaje del geófono, se caracterizó el sensor; para lograr este propósito, se recurrió a su frecuencia de resonancia. Este método es alternativo a medir la respuesta del geófono a un pulso, y guardarlo como modelo para pruebas de inclinación de los demás sensores. Se excitó el geófono GS32CT con una señal senoidal AC (Vpp=200mV, F=8Hz) en distintas posiciones y se tomaron las medidas que se presentan más adelante. El test de voltaje del geófono se llevó a cabo en los módulos esclavos mediante el circuito que se muestra en la Figura 7.

Adicionalmente, se tuvo en cuenta las siguientes recomendaciones para lograr buen acoplamiento de la posición de cada geófono con el suelo: 1) evitar enterrarlos en grava o materiales no consolidados, troncos y raíces; en su lugar, hacerlo en terrenos arcillosos o de materiales compactados [23]. 2) como el grado de acoplamiento es proporcional a la superficie de la punta que hace contacto con el suelo, se procedió a enterrar en barro completamente la punta del geófono para lograr un buen acoplamiento; en este contexto, Teixidó [24] afirma que es más importante obtener un buen acoplamiento que mantener una separación adecuada en el patrón de receptoras; sin embargo, se intentó cumplir en las pruebas con los dos requisitos.
Para las pruebas del sistema inalámbrico en telemetría de datos (señales transmitidas por las FDUs hacia la estación central de registro), se simuló la generación de la onda de exploración sísmica (detonación) a través del modo vibrador de un teléfono celular; como se muestra en la Figura 8 , este se ubicó en la base de una maqueta.

Así mismo, se construyó una maqueta que representaba a escala una zona geográfica con poco relieve topográfico y una geología sencilla. En este escenario, se hicieron las pruebas de laboratorio para poder detectar trazas de dos geófonos (m y n) con el fin de transmitirlas por la red inalámbrica.
En la práctica, se ubican las líneas de exploración en el campo, mediante sistemas GPS y de acuerdo a un plan de manejo ambiental; después de señalizados los puntos de disparo, se procede a perforar, a lo largo de las líneas sísmicas, pozos de entre 5.1 y 9 cm de diámetro, con profundidades que pueden variar entre 1.5 y 20 m; luego, se colocan en el fondo de estos pozos, cargas explosivas de pentolita entre 1 y 5 Kg. Los pozos pueden tener un espaciamiento variable sobre la línea (30m a 100m). Posteriormente, al detonarse estas cargas se generan ondas sísmicas, las cuales viajan a través de las capas rocosas en el subsuelo.
En la Figura 9 se muestra el diagrama de bloques del sistema de comunicación inalámbrico bidireccional punto a punto, que interconecta la estación central de registro con los tres nodos de la red, en una configuración maestro-esclavo, y sobre la cual se hicieron las pruebas.

Los módulos XBEE PRO®XSC se utilizaron como transmisor y receptor dual en modo cable virtual [25]. Estos cuentan con las siguientes especificaciones técnicas: tasa de bits: 10 kbps/9.6 kbps; cobertura: 370 m (en interior), 9.6 km (en exterior); voltaje de polarización: 3.0 - 3.6 VDC; potencia de transmisión: 100 mW (+20 dBm); Sensitividad (1% PER): -106 dBm; banda de frecuencia: 900 MHz.
Como se muestra en la Figura 10, se programó los XBEE con la ayuda del software X-CTU: el número de serie es una dirección única de la radio, y se usa para enviarle mensajes; después se instalaron los driver correspondientes para que el software pueda leer el puerto de comunicación, en este caso el (COM 1), y al otro PC se configura el segundo XBEE que correspondía al puerto (COM 4). Además, se ajustó la tasa de baudios a 9.6Kbps. El siguiente paso fue configurar los XBEE para una transmisión serial transparente (modo AT).

El geófono transmite señales de voltaje analógico al dsPIC30F4011 [26] para que sean convertidos a datos digitales y procesados (los datos que son de tipo cadena se convierten a número). Este a su vez se conecta al puerto de entrada de datos del XBEE transmisor, que se encarga de modular y transmitirla, tal cual como le llega. La señal banda base puede codificar la verticalización del geófono o contener información de registro.
Como se muestra en la Figura 11, el XBEE transmisor envía hacia el XBEE receptor una portadora digital o señal pasabanda a 827MHz que modula señales banda base de voltaje digitalizado y a una potencia de 4.59dBm.

En la estación central de registro está el nodo receptor (ver Figura 9), conformado por un módulo XBEE que recibe la banda base modulada, y la entregada al dsPIC para que la procese y se la envíe al PC a través de un puerto serial.
Los datos fueron enviados y recibidos a satisfacción cuando se estableció la conexión con el enlace, simulando de esta forma una conexión en modo cable virtual.
Como se pretendía diseñar e implementar una alternativa de comunicación inalámbrica para sísmica por reflexión, más económica que la ofrecida por la empresa TGC industries Inc., fue necesario cumplir con los siguientes requerimientos: bajo consumo de energía, fidelidad aceptable de las señales tratadas y unidades de transmisión de pequeño tamaño y fácil de transportar.
Para lograr el primer objetivo, se instaló un sistema de alimentación por panel solar para proporcionar suministro de energía sin interrupciones a cada ristra; así mismo, se sacaba del modo invernación al XBEE, y se conmutaba al suministro de energía al detector de la posición del geófono, solamente cuando iba a transmitirse información desde la central de registro al sensor o viceversa.
En cuanto a la fidelidad de la señal de información transmitida/recibida (test de voltaje de los geófonos e improntas de los geófonos), se muestreo a un intervalo de 0.83μs (Fs =1200Hz), garantizó línea de vista en el enlace y utilizó un código de redundancia cíclica para chequeo de error. Para evidenciar la posición correcta (totalmente vertical) o no del geófono, se conectó un LED (diodo emisor de luz) en una de las salidas del módulo maestro: estación de registro.
Para la optimización de espacio de los módulos esclavo y maestro, se minimizaron las etapas; en consecuencia, los transceptores se simplificaron básicamente al módulo XBEE, el dsPIC y una interfaz de comunicación con el computador (para el módulo maestro) y con el grupo de geófonos para el módulo esclavo (nodo de la red).
3. RESULTADOS Y ANÁLISIS DE RESULTADO
Los resultados se presentan en dos instancias: 1) Referidos a la detección de la verticalidad del geófono, y 2) relacionado con la transmisión de información de registro (telemetría de datos). Ambas comunicaciones son sincrónicas y bidireccionales entre los módulos esclavos y la estación central, que hace las veces de maestro.
Referido a la detección de la verticalidad del geófono GS32CT, se obtuvo los resultados de la Tabla 2.

De estos datos se puede inferir que aumenta el valor de R con la inclinación del geófono; así mismo, disminuye el factor de calidad del circuito y se incrementa el ancho de banda. En la Figura 12a se evidencia el rango dinámico de la señal oscilante tomada a la salida del sensor para una posición del geófono con inclinación de 60° con respecto a la normal.

Al visualizar la señal anterior en el canal dos (Figura 12b) del osciloscopio (con la función Fast Fourier Transform: FFT) se constata el aumento de su ancho de banda. Esto sucede cuando el geófono GS32CT pierde su posición vertical, inclinándose 60° con respecto a la horizontal (superficie del suelo). También se evidencia un corrimiento en la frecuencia de resonancia.
Para realizar los test de verticalidad de los geófonos, se procedió a medir el voltaje presente en los terminales del geófono, cuando este se excitaba con una señal AC de 8Hz. En la Tabla 3 se muestran los valores de voltaje detectados en el geófono y transmitidos por la red inalámbrica.

De los valores de la señal eléctrica recuperados en la estación central se concluye que se pierde selectividad en el circuito resonante a medida que el geófono se inclina hacia la superficie de la tierra, y que al aumentar la resistencia, los niveles de voltaje son apreciables para considerarse como una buena referencia cuando se trata de evaluar el error de posición del geófono.
De las pruebas de transmisión del test de voltaje y recepción de la posición de los geófonos realizados desde el módulo maestro, se obtuvo muestras tomadas durante tres horas con intervalos de cinco minutos cada una; en cada intento se modificó la posición de un geófono y se transmitió el valor de voltaje medido en los terminales del mismo. Con las magnitudes de voltaje recibido se hizo una regresión y a partir de la ecuación se construyó la curva de la Figura 13, para los geófonos m y n, de los arreglos 1 y 2 respectivamente.
Del comportamiento de las curvas de la Figura 13 se puede afirmar que existe una correlación entre las inclinaciones experimentadas con las posiciones de los geófonos m y n, y los niveles de voltaje recibidos en la estación de registro central. Esta información fue fundamental y preliminar al desarrollo de las pruebas de telemetría de datos obtenidos por el método prospección sísmica por reflexión.

En cuanto a la transmisión y recepción de información de registro (telemetría de datos) entre los módulos esclavos y la estación central, el sistema inalámbrico se desarrolló para transmitir/recibir con las especificaciones que se muestran en la Tabla 4.

En el proceso de detección se observó modos de conversión en las ondas que se propagan en la superficie o paralelas a la superficie, y esta energía es captada con geófonos de un elemento vertical -el geófono no sabe diferenciar entre las ondas P y las S (ver Figura 1), él sólo reacciona a la velocidad de las partículas que se propagan en la misma dirección del elemento que contiene-; sin embargo, este no fue el caso de las pruebas realizadas en esta investigación (descartada la presencia de una onda directa aérea entre la fuente de señal electromecánica y los geófonos m y n), ya que la fuente de señal (teléfono celular en modo vibrador) y los sensores estaban separados con tierra y ubicados en planos opuestos en la maqueta (ver Figura 8).
Como se muestra en la Figura 14, la recepción de los datos de registro representados en trazas continuas en función del tiempo evidencia una gran similitud entre los geófonos m y n, lo cual indica isotropía del medio (tierra arcillosa, arenosa y rocosa depositada en la maqueta), y un estrecho espaciamiento entre los sensores (10 cm), que efectivamente se presentó en el momento de las pruebas.

Así mismo, se observa pérdida de la amplitud de la señal recibida, esto debido a que la información de registro tiene que atravesar dos medios disipativos: inicialmente, el frente de onda sísmica se propaga por tierra (arcillosa, arenosa, rocosa) y se aleja de la fuente (modo vibrador de un teléfono celular), su energía se dispersa, y atenúa debido a la divergencia geométrica y absorción del suelo; posteriormente, se propaga en una onda de radio por el espacio libre que también disipa. Algunos de los problemas detectados en la comunicación de la red inalámbrica fueron: pérdida de datos en la estrategia de acceso al medio (broadcast: punto a multipunto), desde la estación central de registro hacia los nodos; de igual manera, se perdió información de registro en la recepción debido a la baja tasa de muestreo y a la limitación de la frecuencia del reloj para el control de flujo. Para minimizar este problema, se debe sobremuestrear o crear un protocolo de retransmisión automática.
Partiendo de que la solución y el plan propuesto en este artículo pertenecen a una red prototipo, y no a una solución ya estandarizada con anterioridad, se tendrá que considerar diversos aspectos para asegurar la eficacia y seguridad de la plataforma en un trabajo futuro.
Un aspecto fundamental del tratamiento de los registros sísmicos es la eliminación del ruido que se suma a las líneas de reflexión (roll-along); no obstante, la capacidad de los equipos de adquisición sísmica han evolucionado debido a las mejoras en las tecnologías de los sensores y capacidad del software; sin embargo, falta mucha investigación por hacer para mejorar en algoritmos de procesado de datos, teoría física, programas de tratamiento y estrategias metodológicas que logren minimizarlo.
El aporte de este trabajo con respecto a los trabajos precedentes consiste en que todos los datos se almacenan en la estación central, por lo que se puede extraer con facilidad para generar históricos o hacer reportes. Desde la estación central de registro se puede monitorizar y reportar de modo continuo la posición del geófono. El sistema optimiza el consumo energético, minimizando el gasto y maximizando la capacidad de la fuente, tan sólo necesita una celda solar o batería recargable para suministrar energía. Con el fin de ahorrar tiempo valioso con la logística de las baterías, se podría cargar desde el vehículo (que genera la explosión). Esto simplifica el proceso logístico de instalación de ristras y el proceso de carga.
Otras características son: se establece una comunicación de dos vías. La estación central de registro cuenta con módulo RF, interfaz de adquisición de datos y procesador con puerto de entrada estándar serie RS-232. En el terminal remoto está el grupo de sensores integrado a una FDU, el módulo RF y una unidad de procesamiento para conversión, escalado, conversión lineal y el condicionamiento de la señal. Desde el geófono se transmiten las vibraciones censadas y convertidas a improntas eléctricas por el transductor (información generada en la toma de muestras), niveles de voltaje que son indicadores de la posición del geófono respecto a su vertical; desde la estación central de registro, se envían señales de control para el monitoreo y seguimiento de la posición correcta de los geófonos.
Para el caso en el que un geófono haya perdido su posición con respecto a la vertical, el controlador puede informar por un canal externo a los recorredores (personal encargado de reposicionar el geófono) la ubicación geográfica del geófono objeto de intervención.
Un interrogante importante de la prueba sísmica por reflexión realizada en el laboratorio fue conocer con qué geófono y fuente de energía se conseguía máxima resolución; en esta perspectiva, se puede afirmar que la gama de frecuencias útiles que se consiga generar con la fuente es un factor determinante en la calidad del registro del sensor; así mismo, la sensibilidad del geófono y el espaciamiento entre sensores contribuye en su capacidad resolutiva, por ejemplo, cuanto más pequeño sea el espaciado entre geófonos, más resolución espacial de las capas se obtendrá [27].
4. CONCLUSIONES
Como se indicó en el desarrollo del artículo, debido a que la estrategia de prospección sísmica por reflexión alámbrica es onerosa y laboriosa porque requiere un despliegue logístico de cierta importancia, se diseñó y experimentó desde el laboratorio con una red inalámbrica (con módulos XBEE) que cumpliera las mismas funciones, además de la realización de algunas pruebas de ajuste de posición de los geófonos. Se logró transmitir información confiable, aprovechando las ventajas de las comunicaciones inalámbricas (fácil instalación, posibilidad de transmitir información hacia cualquier punto ubicado dentro de la cobertura de la red, ahorro de espacio y dinero al requerir menos hardware, movilidad de los terminales, etc.); sin embargo, como lo menciona Berezdivin, et al. [28], este tipo de redes también evidencia limitaciones como alcance, baja tasa de transmisión de datos y errores: por acceso, ruido, e interferencia.
Las improntas obtenidas de las pruebas de laboratorio fueron buenas, no obstante, el frente de ondas que regresaba a la superficie era diverso y confuso porque estaba formado por una gran variedad de muestras: ondas directas, ondas refractadas, ondas Head, ondas Raleigh, ondas de aire, ondas Love, reflexiones, difracciones, ondas guiadas, energía proveniente de puntos de esparcimiento, etc. Una explicación del porqué de esos resultados fue el buen acoplamiento de los geófonos GS32CT m y n con la tierra debido a su plantación, y que tuvieran la orientación vertical (un sólo elemento) adecuada y la misma alineación. Los registros obtenidos, pudieron ser mejores si se hubiera seleccionado los geófonos con mayor rango dinámico y la sensibilidad.
Las componentes espectrales detectadas, por los geófonos m y n, en las pruebas prospección sísmica superficial realizadas se ubicaron entre 40-250Hz. Dentro de esta banda, se pudo identificar las frecuencias dominantes reflejadas en el rango de los 60-180Hz; esta banda coincide con los hallazgos obtenidos en laboratorio por Steeples et al. [29]. Como en general el campo de velocidades en el interior del terreno oscila entre 300 y 500(m/s) [30], las longitudes de onda se sitúan entre los 2-80m para las reflexiones. En estos registros sísmicos se coincidió con los hallazgos de Teixidó [23], y se identificaron pérdidas por divergencia geométrica presentadas en bajas frecuencias y distancias cortas.
En la opción radio telemétrica de prospección sísmica por reflexión se aumenta la flexibilidad del tendido, pero también se tienen inconvenientes por el ruido y la interferencia en el canal de radio.
Si se pudiera hacer prospección sísmica por reflexión a través de una red con tecnología multitelemetría (siguiendo distintas interfaces aire, cable, fibra óptica, infrarrojo), los datos fluirían a través de muchas rutas definidas por el operador; en consecuencia, en la central de registro se dispondría de más muestras, que al fusionarse arrojarían mejores resultados; sin embargo, la adquisición de datos mediante esta técnica sigue siendo lenta y costosa, sobre todo cuando se utilizan sistemas de interpretación de información asistido por computador.
Agradecimientos
La investigación plasmada en este artículo se llevó a cabo en los laboratorios de la Escuela Colombiana de Ingeniería Julio Garavito, en desarrollo del proyecto dirigido "Implementación de una red inalámbrica con geófonos para la exploración petrolera en el país" (2011220121). Contó con la asesoría técnica de Rafael Tejada, ingeniero electrónico de la empresa Sercel, S.A. Ltda. Él y su grupo de trabajo son los responsables de la instalación de redes cableadas de geófonos para la exploración de petróleo por sísmica por reflexión en varias regiones de Colombia.
REFERENCIAS
[1] Becerra, S. (2011). Propagación de ondas sísmicas y migración. (Tesis de Maestría), Facultad de ciencias, departamento de Matemáticas, Universidad Nacional de Colombia, Bogotá, 56 p.
[2] Prasada Rao, P., Rajput, S., Sridhar, A.R., Thakur, N.K. & Reddi, S.I. (2004). Model studies of ocean bottom seismometer for Gas-Hidrate exploration. Current science, 87(5), pp. 667-673.
[3] SERCEL (2008). Adquisición Terrestre. Consultado el 19 de octubre de 2014. http://www.sercel.com/products/Pages/land.aspx
[4] ION (2008). Sistema Scorpion. Consultado el 21 de octubre de 2014. http://www.iongeo.com/products_Services/
[5] Seismic source (2008). Sistema de registro Sigma. Consultado el 28 de octubre de 2014. http://www.seismicsource.com
[6] Oyo Geospace (2008). Sistema de registro GSR. Consultado el 28 de octubre de 2014.
[7] Yates, M., Johnson, R. & Monk, D. (2009). "Seismic sans frontiers - cross-border 3D acquisition in Tierra del Fuego", Presentado en: 79th SEG Annual Meeting, Houston. USA.
[8] TGC: Tidelands Geophysical (2012). The future of seismic data acquisition is here. Brochure. Texas, USA. 4 p.
[9] Castillo, L.A. & Ruiz Monroy, M. (2013). Metodología para el diseño sísmico 2D. Editorial Universidad Nacional de Colombia, Bogotá, Colombia.
[10] Lansley, M., Lauren, M. & Ronen, S. (2008). Modern land recording systems: how do they weigh up? The Leading Edge, 28(2). 888-894. doi: http://dx.doi.org/10.1190/1.2954029
[11] Aston, R. & Criss, J. (2009). Solving the multi-objective acquisition problem using cable-free acquisition technology, CPSSEG International Geophysical Conference, Beijing, Expanded Abstract.
[12] Ortiz, J.M., & Salazar, J.L. (2008). Estado del arte del sistema SCADA para pozos petroleros de la empresa Petrobras. (Tesis de pregrado, Ingeniería Electrónica), Universidad Pontificia Bolivariana, Bucaramanga. Colombia, 226 p.
[13] UK Trade & Investment, (2008). Petróleo y gas del Reino Unido. Recursos de la más alta calidad. Londres-UK, 20 p.
[14] Sercel (2007). 428XL, V2.0, Manual de instalación. Houston, USA. 336 p.
[15] Cooper, N. (2008). "Adquisición sísmica terrestre, teoría y técnicas". Carpeta del curso, Capítulo 16: Modo atrapado y ondas guiadas, mayo 2008.
[16] Havskov, J. & Aguacil, G. (2004). Instrumentation in earthquake seismology, Springer. doi: http://dx.doi.org/10.1007/978-1-4020-2969-1
[17] Holliger, P. & Robertsson, J. (1998). Effects of the near-surface environment on the upper crustal seismic reflection image. Tectonophysics, 286(13), pp. 161-169. doi: http://dx.doi.org/10.1016/S0040-1951(97)00262-X
[18] Imhof, A.L. & Fanton, G.O. (2010). Caracterización geo sísmica de un sector de traza de la ruta Nº 40. Provincia de Santa Cruz - Argentina. GEOACTA 35, pp. 105-109.
[19] Shariat-Panahi, S. (2007). Aportaciones a la caracterización y diseño de los sistemas de registro y almacenamiento de datos de los sismómetros de fondo marino (OBS). (Tesis doctoral), Facultad de Ingeniería, departamento Geofísica, Universidad Politécnica de Cataluña, 202 p.
[20] IEEE Std 1057 (1994). IEEE Standard for digitizing waveform recorders. Consultado el 10 de octubre de 2014. http://ieeexplore.ieee.org/xpl/articleDetails.jsp?arnumber=7361719-filter=AND(p_Publication_Number:4494800)
[21] IEEE Std 1241 (2000). IEEE Standard for terminology and test methods for analogto- digital converter. Consultado el 2 de septiembre de 2014. http://www.sciencedirect.com/science/article/pii/S0920548900000398
[22] Pullan S.E. & Hunter, J.A. (1990). Delineation of buried bedrock valleys using the optimum-offset shallow seismic reflection technique. In Ward, S. Geotechnical and environmental geophysics. Vol. III, Geotechnical Soc. Expl. Geophys, pp. 89-97. doi: http://dx.doi.org/10.1190/1.9781560802785.ch5
[23] Heath, B. (2004). Land seismic crews and instrumentation: past, present and future. First Break, 22(2), pp. 65-72.
[24] Teixidó, M. (2000). Caracterización del subsuelo mediante sísmica de reflexión de alta resolución. (Tesis Doctoral), Facultad de Ciencias, departamento de Geodinámica y Geofísica. Universidad de Barcelona. 253 p.
[25] Digi International, Inc. (2009). XBBE RF modules.
[26] Microchip Technology Inc. (2005). Data Sheet dsPIC30F4011/4012. Arizona.
[27] Baker, G.S., Schmeissner, C., Steeples, D. & Plumb, R.G. (1999). Seismic reflections from depth of ten and two meter. Geophysical Letters, 26(1), pp. 279-282. doi: http://dx.doi.org/10.1029/1998GL900243
[28] Berezdivin, R., Breinig, R. and Topp, R. (2002). Next-generation wire-less communication concepts and technologies. IEEE Commun. Magazine, 40(1), pp. 108-116. doi: http://dx.doi.org/10.1109/35.989768
[29] Steeples D.W., Green, A.G., Miller R.D., Doll, W.E. & Rectors, J.W. (1997). A workshop examination of shallow seismic reflection surveying. The Leading Edge, 16 (11), pp. 1641-1647. doi: http://dx.doi.org/10.1190/1.1437543
[30] Benjumea, B., Teixidó, T. & Peña, J.A. (2000). Métodos sísmicos en el yacimiento arqueológico de los Millares (Almería, España). 2ª Asamblea Hispano- Portuguesa de Geodesia y Geofísica. Libro de resúmenes, pp. 275-276.
Notas de autor