Artículos
Recepción: 15 Enero 2020
Aprobación: 15 Noviembre 2020
Resumen: Esta investigación surge de la pregunta si habrá una forma directa de resolver ejercicios de tiro parabólico, el cual es un tema básico, pero, a la vez, complejo en cursos introductorios de física. Por esta razón, es importante conocer, comprender y analizar este tipo de fenómenos físicos. En este trabajo se obtuvo un conjunto de ecuaciones para resolver ejercicios de tiro parabólico en dos dimensiones de forma directa, para casos donde se considera una aceleración gravitacional constante y se desprecia la fuerza de rozamiento del aire. Estas ecuaciones son deducidas algebraicamente a partir de las ecuaciones generales del movimiento rectilíneo uniforme y uniformemente acelerado. Cinco tipos de ejercicios de tiro parabólico fueron resueltos empleando el método presentado en este trabajo y los métodos clásicos. Los resultados obtenidos muestran que la variación de su magnitud en todos los casos es menor a 0.372%, lo que demuestra la aceptable efectividad de la propuesta presentada.
Palabras clave: Tiro parabólico, movimiento rectilíneo uniforme y uniformemente acelerado.
Abstract: There will be an easy solution for solving fundamental problems of free-flight motion of a projectile? This is a basic question from which this paper starts. In this research five equations were obtained, that simply solves Two-Dimensional problems of free-flight motion of a projectile under a constant downward acceleration. Air Viscous Friction is not taken into account. These equations are obtained from the constant acceleration equations. Five problems of free-flight motion of a projectile were solved using those equations vs Classical Theory. Results show that there is a variation between them of 0.237%, which demonstrates the effectiveness of the proposed method.
Keywords: Index Terms, Free-flight motion of a projectile, constant acceleration equations.
El estudio del movimiento rectilíneo uniforme (MRU) y uniformemente acelerado (MRUA) son temas que se explican en los cursos introductorios de física y su importancia de estudio está muy asumida por el profesorado de física [1,2,3].
Además, de acuerdo con varios estudios [4,5,6], una característica importante que tiene que desarrollar el estudiante es mantener la motivación y el interés por esta ciencia, la cual aborda aspectos de la ingeniería y de la vida misma.
En este artículo se proponen cinco consideraciones prácticas con las cuales se busca solucionar diversos ejercicios de tiro parabólico de forma directa. Primero se proporciona al lector los términos y conceptos de tiro parabólico. Después, se presentan las ecuaciones obtenidas algebraicamente para cada uno de los casos. Finalmente, se resuelven los ejercicios planteados en libros que proporcionan resultados, empleando las ecuaciones propuestas con el fin de tener un marco de comparación.
Fundamentos teóricos
Es importante poner en contexto el termino de física, “entonces, la razón principal para estudiar la física es ampliar la forma en que observas el mundo que te rodea. Verás la estructura matemática de la física en diversas ecuaciones: más que recetas de cálculo, veras esas ecuaciones como guías para pensar” [7].
En tanto la dinámica: se ocupa del movimiento acelerado de un cuerpo [8]. Se divide en cinemática y cinética, la primera estudia cómo se mueven los cuerpos, describe como varían la velocidad y la aceleración de un cuerpo con el tiempo y con sus cambios de posición [9].
En la cinemática se estudia el movimiento rectilíneo uniforme, es un tipo de movimiento en línea recta, la aceleración a de una partícula es cero para todo valor de tiempo t. En consecuencia, la velocidad v es constante [10] y el movimiento uniformemente acelerado, es otro tipo común de movimiento y tiene la característica que la aceleración a de la partícula es constante [10].
Cuando se combinan ambos movimientos surgen el movimiento de proyectiles de los cuales, el primero es cualquier cuerpo que recibe una velocidad inicial y posteriormente le sigue una trayectoria determinada totalmente por los efectos de la aceleración gravitacional y la resistencia del aire, ver Figura 1 [11].
La ecuación (1) [10] se emplea para estudiar el movimiento rectilíneo uniforme de desplazamiento en el eje X;
(1)Para el movimiento rectilíneo uniformemente acelerado se utilizan las ecuaciones (4,5 y 6) [10] desplazamiento en el eje Y:
(2)
(3)
(4)En la Tabla 1 se indica lo que representa cada una de las variables que intervienen en las ecuaciones del movimiento rectilíneo uniforme y movimiento rectilíneo uniformemente acelerado.
En el contexto de dinámica el término de partícula se refiere a que los cuerpos se analizan como partículas, se entiende que sólo se va a considerar su movimiento como una unidad completa, y se ignora cualquier rotación alrededor de su propio centro de masa [10].
Las consideraciones prácticas que se presentan en este trabajo simplifican considerablemente el estudio y análisis del tiro parabólico. El modelado consiste en traducir la información y los datos físicos o de otras áreas a una forma matemática, a un modelo matemático (una ecuación diferencial, un sistema de ecuaciones o alguna otra expresión matemática) [12].
Materiales y métodos
A partir de los cinco casos más recurrentes en los libros [1,2,3,4,5], se realizaron deducciones algebraicas para analizar cada uno de los casos. Cabe mencionar que, en las ecuaciones, el usuario puede definir la convención de signos de acuerdo a su propio criterio.

Caso I. Determinación de la velocidad oblicua inicial de la partícula. En este caso se considera que la posición inicial y final en los ejes (X, Y) y el ángulo (α) es conocida, cómo se muestra en la Figura 2. Se busca determinar el tiempo del trayecto (t), la magnitud de la velocidad inicial (V0), la velocidad final (Vf) y el ángulo (β) con el que impactaría la partícula.

En la Tabla 2 se muestran las ecuaciones obtenidas para el caso I:

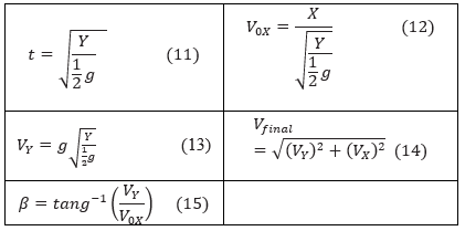
Caso II. Determinación de la velocidad horizontal inicial de la partícula. Para este caso se buscó establecer la velocidad inicial (V0) de la partícula, la cual se encuentra en la parte más alta de la trayectoria, por esta razón la componente inicial de la velocidad en (V0Y) es cero. También se consideró que se conoce la posición inicial y final en los ejes (X, Y ). Además, se buscó determinar el tiempo del trayecto (t), la magnitud de la velocidad inicial (V0) , la velocidad final (Vf) y el ángulo (β) con el que impactaría la partícula. Esta trayectoria es semiparabólica y se muestra en la Figura 3.

En la Tabla 3 se muestran las ecuaciones obtenidas para el caso II:

Caso III. Determinación de la posición final horizontal “X” de la partícula. Para este caso, se contó con los siguientes datos de la partícula: la velocidad inicial (V0) con su respectivo ángulo (α) y la posición final en el eje vertical (Y). Se buscó determinar la posición final horizontal de la partícula (X), el tiempo (t) y la velocidad final (Vf)con su respectivo (β), como se muestra en la Figura 4.

En la Tabla 4, se muestran las ecuaciones obtenidas para el caso III:

Caso IV. Determinación de la posición final “Y” de la partícula.
Se tuvieron presentes los siguientes datos de la partícula: la velocidad inicial (V0) con su respectivo ángulo (α) y la posición final en el eje vertical (X). Como se muestra en la Figura 5, se buscó determinar la posición final horizontal de la partícula (Y), el tiempo (t) y la velocidad final (Vf) con su respectivo (β).

En la Tabla 5, se muestran las ecuaciones obtenidas para el caso IV:

Caso V. Determinación del ángulo de lanzamiento de la partícula
En este caso se parte del conocimiento de la velocidad inicial (V0) y la posición inicial y final en los ejes vertical (X , Y) como se muestra en la Figura 6. El fin fue determinar el ángulo (α) y (β), el tiempo (t) y la velocidad final (Vf).

En la Tabla 6, se muestran las ecuaciones obtenidas para el caso V:

Resultados y discusión
Para evaluar la practicidad y efectividad de las ecuaciones presentadas en la sección 3, se resolvieron cinco ejercicios sobre tiro parabólico propuestos en los libros [7,8,9,10,11], con la característica particular que tuvieran expresado el resultado.
Ejemplo para el caso I. Determine la velocidad oblicua inicial de la partícula.
Ejercicio 11.105 de [10]: Mediante una banda transportadora se descarga arena en A y cae en la parte superior de un montículo en B. Si se sabe que la banda transportadora forma un ángulo α = 20° con la horizontal, determine la velocidad V0de la banda, como se observa en la Figura 7. Solución 23.8 f t / s .

Procedimiento
Para determinar la velocidad inicial, primero se calcula el tiempo con la Ecuación (5) y después, el resultado, se sustituye en la Ecuación (6):
(5)
(6)Para determinar la velocidad final en Y (VY), se sustituye el tiempo (t) y la velocidad inicial (V0) en la Ecuación (7):
(7)Para determinar la componente de la velocidad en (X), se utiliza la Ecuación (8) ,
(8)Al sustituir la (VY)y la (V0X) en la Ecuación (9), se obtiene la magnitud de la velocidad final:
(9)Finalmente, para encontrar el ángulo se sustituyen las componentes de la velocidad al final, en la Ecuación (10),
(10)Ejemplo para el caso II. Determine la velocidad horizontal inicial de la partícula.
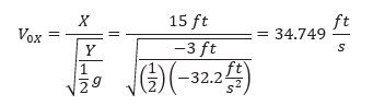
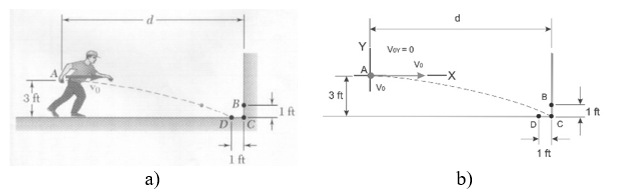
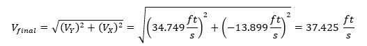
Ejercicio 11.101 de [10]: Un jugador de balonmano lanza una pelota desde A con velocidad horizontal V0. Si d = 15 ft, determine el valor con velocidad horizontal para la cual la pelota golpeara en la esquina C. Solución 34.7 ft / s. Ver figura 8.
Procedimiento
Para determinar la velocidad inicial, primero se calcula el tiempo con la Ecuación (11) y después, el resultado, se sustituye en la Ecuación (12):
(11)
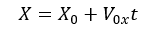
(12)Para determinar la velocidad final (VY), se sustituyen la aceleración gravitacional (g) y la distancia vertical final en (Y) en la Ecuación (13):
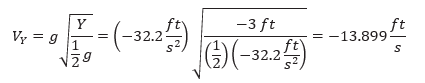
(13)Al sustituir la (VY) y la (V0X) en la Ecuación (14), se obtiene la magnitud de la velocidad final:
(14)Finalmente, para encontrar el ángulo se sustituyen las componentes de la velocidad al final, en la Ecuación (15),
(15)Ejemplo para el caso III. Determine la posición final horizontal “X” de la partícula.
Ejercicio 11.104 de [10]: Por el cañón de un desagüe fluye agua con una velocidad inicial de 2.5 ft/s a un ángulo de 15° con la horizontal. Determine el rango de valores de la distancia d para los cuales el agua caerá dentro del recipiente BC. Solución 1.737 ft / s. Ver Figura 9.
Procedimiento
Se considera que fluye un flujo de agua de A-B, para esto se utiliza la Ecuación (16) para obtener los tiempos:
(16)Para determinar la distancia (d), se sustituye la magnitud del tiempo (t) positivo y la velocidad inicial (V0) en la Ecuación (17):
(17)Para determinar la velocidad final en Y (VY), se sustituye el tiempo (t), la velocidad inicial (V0) y la aceleración gravitacional (g) en la Ecuación (18):
(18)Al sustituir (VY) la y la (V0X) en la Ecuación (19), se obtiene la magnitud de la velocidad final:
(19)Finalmente, para encontrar el ángulo se sustituyen las compones de la velocidad al final, en la Ecuación (20),
(20)Ejemplo para el caso IV. Determine la posición final “Y” de la partícula.
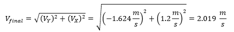
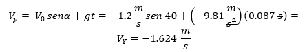
Ejercicio 11.102 [10]: Se vierte leche dentro de un vaso que tiene una altura de 140 mm y un diámetro interior de 66 mm. Si la velocidad inicial de la leche es de 1.2
a un ángulo de 40° con la horizontal, determine el rango de valores de la altura h para los cuales la leche entrará en el vaso, como se observa en la figura 10. Solución 0.244 m .

Procedimiento
Se analizará de A-B, para determinar la altura h, primero se calcula el tiempo con la Ecuación (21) y después, el resultado, se sustituye en la Ecuación (22):
(21)
(22)Para obtener el valor de h se suma la altura del vaso y la magnitud de Y,

Para determinar la velocidad final en Y (VY), se sustituye el tiempo (t), la velocidad inicial (V0)y la aceleración gravitacional en la Ecuación (23):
(23)Al sustituir la (VY) y la (V0X) en la Ecuación (24), se obtiene la magnitud de la velocidad final:
(24)Finalmente, para encontrar el ángulo se sustituyen las componentes de la velocidad al final, en la Ecuación (25),
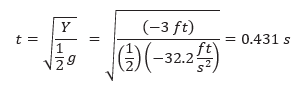
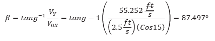
(25)Ejemplo para el caso V. Determine el ángulo de lanzamiento de la partícula.
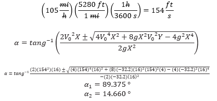
Ejercicio 11.112 de [10]: La velocidad inicial V0de un disco de hockey es de 105 mi / h. Determine a) el valor máximo (menor que 45°) del ángulo para el cual el disco entra en la portería, b) el tiempo correspondiente que se requiere para que el disco llegue a la portería, como se observa en la figura 11. Solución a) 14.66 ° , b) 0.1074 s.
Procedimiento
Para determinar el ángulo y el tiempo, primero se convierte la velocidad de
a
, después se sustituyen los datos en la Ecuación (26) para obtener el ángulo:
(26)De los cuales el que se utilizara para los cálculos es α2 porque es la que cumple con la condición de ejercicio que sea menor a 45°. Al sustituirlo en la Ecuación (27), se determina el tiempo,
(27)Para determinar la velocidad final (VY), se sustituyen la aceleración gravitacional (g) y la distancia vertical final en (Y) en la Ecuación (28):
(28)Con la Ecuación (29) se determina la componente de la velocidad inicial en X,
(29)Al sustituir la (VY) y la (V0X) en la Ecuación (30), se obtiene la magnitud de la velocidad final:
(30)Finalmente, para encontrar el ángulo se sustituyen las componentes de la velocidad al final, en la Ecuación (31),
(31)La Tabla 7, muestra los resultados indicados en los libros y los que se obtuvieron a partir de las consideraciones prácticas.

Conclusiones
Los resultados mostrados en la Tabla 7 permiten concluir que la diferencia entre los resultados proporcionados por el libro y los obtenidos mediante las consideraciones prácticas es mínima, presentan una exactitud de 0.1 a 0.372, por lo que se pueden considerar confiables. Cabe mencionar que no se pierden decimales debido a que todas las operaciones matemáticas se realizan de forma directa.
En trabajos futuros se plantea programar las ecuaciones propuestas en Visual Studio y hacerlo del dominio público como una herramienta más que coadyuve a la formación académica de los estudiantes. También se plantea realizar un análisis del estado del arte sobre prototipos demostrativos con los cuales llevar a cabo experimentos de comprobación de tiro parabólico, relacionando así la teoría-física-informática-práctica
Agradecimientos
Agradecer el apoyo recibido a las autoridades del Tecnológico Nacional de México / Instituto Tecnológico de Ciudad Guzmán y al ITJMMPYH por el apoyo recibido para el desarrollo de esta investigación.
Referencias
[1] Solbes, J. (2019). ¿Qué y cómo enseñar sobre el movimiento? Alambique: Didáctica de las ciencias experimentales, (95), 7-14.
[2] Villalobos, L. H. (2019). ¿Se mueve la Tierra?: Del movimiento absoluto al movimiento relativo. Alambique: Didáctica de las ciencias experimentales, (95), 15-22.
[3] Villamar Medina, Á. G. (2020). Estrategias metodológicas para la conceptualización del movimiento rectilíneo uniformemente variado utilizando problemas abiertos (Bachelor's thesis, Universidad de Guayaquil. Facultad de Filosofía, Letras y Ciencias de la Educación.).
[4] Hernández, A. P. (2005). La motivación en los estudiantes universitarios. Revista Electrónica" Actualidades Investigativas en Educación", 5(2), 1-13
[5] Steinmann, A., Bosch, B., & Aiassa, D. (2013). Motivación y expectativas de los estudiantes por aprender ciencias en la universidad: un estudio exploratorio. Revista mexicana de investigación educativa, 18(57), 585-598.
[6] Valverde, M. C. F., Herrera, D. G. G., Álvarez, C. A. E., & Álvarez, J. C. E. (2020). Objetos Virtuales de Aprendizaje: Una estrategia innovadora para la enseñanza de la Física. Revista Arbitrada Interdisciplinaria Koinonía, 5(1), 204-220.
[7] Hewitt, P. G. (2007). Física Conceptual. México: Addison Wesley.
[8] Hibbeler, R. (2004). Mecánica vectorial para ingenieros "dinámica". México: Pearson Educacion.
[9] F. Riley, W., & D. Sturges, L. D. (2012). Ingeniería Mecánica Dinámica. México: Reverté S.A.
[10] P. Beer, F., & Johnston, Jr, E. (2010). Mecánica vectorial para ingenieros dinámica. MÉXICO: MC GRAW HILL.
[11] Sears.Zermansky. (2009). Fisica Universitaria. México: Pearson.
[12] Zill, D., & S., W. (2012). Matemáticas avanzadas para ingeniería. México: Mc Graw Hill.
Notas de autor
Contacto: lggonzalez@itcg.edu.mx