Recepción: 10 Octubre 2016
Aprobación: 24 Junio 2017
Resumen: Se obtuvo la composición óptima de una mezcla de NaCl, KCl, MgCl2 y CaCl2 para obtener carne salada de chigüire, con determinadas características físicoquímicas y sensoriales. La carne se cortó en trozos y se saló durante cuatro días utilizando diferentes mezclas, de acuerdo a un diseño D-óptimo de mezclas. En las muestras saladas, se determinó el contenido de humedad (Xa), contenido de sal (Xs), contenido de sodio (XNa), contenido de potasio (XK), contenido de magnesio (XMg), contenido de calcio (XCa), contenido de cenizas (Xc), aceptación por sabor (Sa), aceptación por textura (Tex) y global (A). Los modelos matemáticos ajustados a los datos obtenidos explicaron entre el 78,41 y 99,24% de la variación en las variables respuesta, con una probabilidad del 95%. Las metodologías numérica y gráfica determinaron que, la composición óptima de la mezcla fue 0,47 g NaCl/g; 0,25 g KCl/g; 0,20 g MgCl2/g y 0,08 gCaCl2/g y con ella se obtendrá carne con 0,25 g agua/g; 0,48 g NaCl/g; 22261 mg sodio/kg; 15416 mg potasio/kg; 13732 mg magnesio/kg; 7392 mg calcio/kg; 0,74 g cenizas/g; y aceptación por sabor, textura y apariencia con valores de 4,2 (ni me gusta ni me disgusta); 4,9 (me gusta) y 4,2 (ni me gusta ni me disgusta), respectivamente. La aceptación sensorial indicó la necesidad de obtener descriptores que caractericen el producto y permitan un posterior mejoramiento de la composición de la mezcla.
Palabras clave: Optimización, función deseada, superficies de respuesta, modelación.
Abstract: The optimal mixture of NaCl, KCl, MgCl2 and CaCl2 for obtain salted meat of chigüire with determined physical-chemical and sensory characteristics was obtained. The meat was cut into pieces and was salted for four days using different mixtures, according to a D-optimal design mixtures. After the salting, the moisture content (Xa), salt (Xs), sodium content (XNa), potassium content (Ka), magnesium content (XMg), calcium content (XCa), ashes content (XC), acceptance by flavor (Sa), acceptance by texture (Tex) and overall acceptance (A) were determined in the different samples. Also the yield (Y) of salting was calculated. Mathematical models fitted to data explained from 78.41 to 99.24% of the variation in the response variables, with a probability of 95%. Numerical and graphical methodologies determined the optimum composition of mixture as 0.47 g NaCl/g; 0.25 g KCl/g; 0.20 g MgCl2/g and 0.08 g CaCl2/g and the salted meat will have 0.25 g water /g; 0.48 g NaCl/g; 22621 mg sodium/kg; 15416 mg potassium/kg; 13732 mg magnesium/kg; 7392 mg calcium/kg, 4.2 (neither like or dislike); 4.9 (like) and 4.2 (neither like or dislike), respectively. Sensory acceptance indicated the need to obtain descriptors that characterize the product and allow a subsequent improvement of the composition of the mixture.
Keywords: Optimization, desirability function, response surface, modeling.
INTRODUCCIÓN
Uno de los métodos de preservación de la carne y sus productos derivados es el salado con sal, cloruro de sodio, por su contribución a la capacidad de retención de agua, unión de las proteínas, sabor y textura. La hipertensión arterial y problemas cardíacos se han asociado al consumo excesivo de sal en alimentos, por lo cual se han desarrollado investigaciones enfocadas a la sustitución parcial del NaCl por mezclas de KCl, CaCl2 y MgCl2 para reducir el contenido de sodio [1, 2, 3, 7]. La elaboración de lacón seco y curado utilizando esas mezclas, afecta su sabor salado y le comunica sabor amargo [23]. Los lomos de cerdo (Sus scrofa domesticus) secos y curados elaborados con esas mezclas salinas, no presentaron ningún riesgo para la seguridad microbiológica [3]. El remplazo del 50% del NaCl usado en la fabricación de salami, por una mezcla de esas sales, permitió una reducción del 40% del contenido de sodio con efectos perjudiciales limitados sobre los atributos sensoriales del producto [31]. El adecuado porcentaje de NaCl sustituído por otras sales, es importante para tener un control efectivo de la tasa de lipólisis y por ende del sabor del producto elaborado [26]. La metodología de la superficie de respuesta es una herramienta matemática y estadística que se ha usado para desarrollar, mejorar y optimizar procesos y permite reducir el número de experimentos necesarios para evaluar múltiples parámetros y sus interacciones requiriendo menos tiempo y trabajo [25]. La optimización se puede realizar utilizando el método gráfico [4, 6, 8, 20, 22, 24, 28, 30] o el de la función deseada [5, 14, 19, 29]. La carne de chigüire (Hydrochoerus hydrochaeris) es magra y baja en grasa, posee un gran valor nutricional ya que es rica en proteínas y baja en grasas y además es 100% orgánica [27]. Es muy apreciada en la región llanera y central de Venezuela, en donde se comercializa en canales completos deshuesados, salados y secados al sol artesanalmente como método de preservación, debido a la carencia de una planta procesadora. En la literatura hay poca información disponible acerca de la optimización de mezclas salinas para salar alimentos. Por lo tanto, el objetivo de este estudio fue optimizar la composición de la mezcla de NaCl, KCl, MgCl2 y CaCl2 en el salado de carne de chigüire.
MATERIALES Y MÉTODOS
Preparación de las muestras
Se utilizó carne de chigüire adquirida en la misma fecha y a un mismo distribuidor de la zona de Mirimire, estado Falcón, Venezuela. La carne se cortó en 180 trozos con una longitud promedio de 5,0 x10-2 m, ancho promedio de 5,0 x10-2 m y espesor promedio de 1,0 x10-2 m usando un molde metálico. Se determinó el peso de cada trozo utilizando una balanza Sartorius, AZ3102 Sartorius Mechatronics, EUA. La masa promedio de los trozos fue de 0,056 kg. Para caracterizar la carne fresca se utilizaron seis trozos, en los cuales se determinaron los contenidos de humedad (0,7609 g agua/g), según la norma venezolana COVENIN: 1120-97 [11], sal (0,008131 g NaCl/g) siguiendo la norma venezolana COVENIN: 1223-02 [13], cenizas (0,018081 g/g) según la norma venezolana COVENIN: 11315-79 [14], sodio (0,269 mg/kg) siguiendo la norma venezolana COVENIN: 844-78 [9], potasio (0,5873 mg/kg) siguiendo la norma venezolana COVENIN: 844-78 [9], calcio y magnesio (0,7642 mg Ca/kg; 1,76 mg Mg/kg) de acuerdo con la norma venezolana COVENIN: 986-82 [10].
Salado
Se formaron al azar, catorce grupos experimentales contentivos de seis trozos cada uno, previamente pesados, y se salaron en pila utilizando mezclas de NaCl, KCl, CaCl2 y MgCl2 en diferentes proporciones (TABLA I). Cada grupo experimental se introdujo en un recipiente de plástico con drenaje, colocando una capa de mezcla en el fondo, dos capas de tres trozos cada una con una de mezcla entre ellas y por último una capa de mezcla. El salado en pila es un proceso en el cual los cambios de masa son acelerados por el uso de capas de sal que rodean al alimento y por la presión que éstas generan. La proporción en masa de la mezcla a carne fue de 0,85:1. El salado en pila se efectuó durante 96 horas (h), recubriendo el recipiente con una malla plástica. El tiempo de salado fue determinado en experiencias previas, con el objetivo de obtener un producto con determinas características fisicoquímicas. Este procedimiento se efectuó en cada una de las condiciones correspondientes según un diseño experimental D-óptimo para mezclas [25]. Después del salado, los trozos se sacudieron para eliminar el exceso de mezcla y se determinó, en cada uno de ellos, el contenido de humedad (Norma COVENIN: 1120-97) [11], contenido de sal (Norma COVENIN: 1223-02) [13], contenido de sodio y contenido de potasio utilizando la norma COVENIN 844-78 [9], contenido de calcio y contenido de magnesio utilizando la norma COVENIN 3856-2004 [10], contenido de cenizas utilizando la norma COVENIN 1220-99 [12]. Los trozos restantes se empacaron al vacío en una empacadora Oster, 2040, Sunbeam Products, Inc., EUA, y se refrigeraron en una nevera Frigidaire, modelo FPUS2698LF (Frigidaire, Canadá), para evaluar sensorialmente su aceptación por sabor, textura y apariencia.

Análisis sensorial
Una vez sacados los trozos del refrigerador y temperados a temperatura ambiente por dos h, se cocinaron en un horno microondas LG, modelo MJ3281BP (LG Electronics, España), a 100 ºC durante 3 minutos (min) e inmediatamente se evaluaron sensorialmente por medio de 25 panelistas no entrenados, conformados por estudiantes y empleados de la Universidad Experimental Francisco de Miranda, con edades comprendidas entre 23 y 35 y consumidores de carnes saladas propias de la región. La evaluación se efectuó en un cuarto iluminado con luz fluorescente. Las muestras cocidas se cortaron en pequeños trozos y se sirvieron en platos de plástico blancos codificados con tres dígitos. En las muestras se evaluó la aceptación del sabor, textura y apariencia, utilizando una escala descriptiva de siete puntos (1 = me disgusta extremadamente; 2 = me disgusta bastante; 3 = me disgusta; 4 = ni me gusta ni me disgusta; 5 = me gusta; 6= me gusta bastante; 7 = me gusta extremadamente).
Diseño experimental
Se utilizó un diseño D-óptimo de mezclas para evaluar los efectos combinados de tres factores (g NaCl/g, g MgCl2/g y g CaCl2/g) codificados como X1, X2 y X3, respectivamente y un factor constante correspondiente a 0,25 g KCL/g (X4). Pruebas preliminares para la proporción de la mezcla, permitieron establecer las restricciones de 0,45 ≤ X1 ≤ 0,65; 0,05 ≤ X2 ≤ 0,20; 0,05 ≤ X3 ≤ 0,20. Las variables respuesta fueron: contenido de humedad (Xw), contenido de sal (Xs), contenido de sodio (XNa), contenido de potasio (XK), contenido de magnesio (XMg), contenido de calcio (XCa), contenido de cenizas (Xc), aceptación por sabor (Sa), aceptación por textura (Tex) y aceptación por apariencia (A). El diseño consistió en 14 corridas experimentales con 5 repeticiones (TABLA I). La función de la variable respuesta (Y) fue expresada por un modelo cúbico completo de Scheffe [21]:

donde Yk representa la respuesta experimental, βi el coeficiente del efecto lineal, βij el coeficiente del efecto cuadrático, δij el coeficiente del efecto de la interacción y βijk el coeficiente del efecto triple, mientras que q es igual al número de los factores ensayados (q = 3).
Optimización
Para la optimización de la composición de la mezcla de NaCl, KCl, MgCl2 y CaCl2 se emplearon los métodos de la función deseada: optimización numérica [16] y la optimización gráfica [25]. La optimización numérica consiste en estandarizar cada respuesta en una función deseada (dn) cuyo valor varía de 0 (fuera del rango deseado) a 1 (en el rango deseado). Para todas las funciones deseadas de las diferentes respuestas, se define una función total D (0 < D < 1,0) igual al promedio geométrico de las n funciones individuales deseadas. Un valor alto de D indica las mejores funciones del sistema, lo cual se considera como la solución óptima. Los valores óptimos se determinan a partir de los valores individuales de las funciones deseadas que maximizan D. El método de la optimización gráfica, consiste en sobreponer las representaciones en un mismo plano, de los contornos de las diferentes superficies de respuesta para obtener el punto o la zona óptima donde se cumplen las condiciones deseadas.
Análisis estadístico
Se aplicó la regresión lineal y el análisis de varianza para ajustar los modelos y para examinar la significancia (P < 0,05) de los términos del modelo. La bondad del ajuste de los modelos se determinó mediante el coeficiente de determinación (R2). Con el fin de determinar, si los modelos servían para predecir las variables respuesta consideradas, se analizaron los estadísticos de adecuación: la significancia de los términos del modelo (P valor), el coeficiente de determinación (R2), el coeficiente de determinación de predicción (R2p) y la precisión de adecuación (PA) [25]. Un R2 alto, un R2p comparable con R2 y PA mayor de 4, implican que el modelo ajustado es adecuado para predecir. El diseño experimental, análisis estadístico y las optimizaciones numérica y gráfica, fueron realizados utilizando el paquete estadístico Design Expert versión 9 [17].
RESULTADOS Y DISCUSIÓN
Los valores obtenidos de las diferentes variables respuesta, Xa, Xs, XNa, XK, XMg, XCa, Xc, Sa, Tex y A se presentan en la TABLA I. Se puede observar que los valores variaron entre 0,25 y 0,29 g agua/g; 0,44 y 0,49 g NaCl/g; 19.995,67 y 36.365,50 mg sodio/kg; 11.433,33 y 20.735,33 mg potasio/kg; 63.40,17 y 13.732,33 mg magnesio/kg; 55.49,50 y 14.981,17 mg calcio/kg y 0,72 y 0,79 g/g para Xa, Xs, XNa, XK, XMg, XCa, Xc, respectivamente. La evaluación sensorial estuvo entre 4,0 y 4,6; 3,8 y 4,6; y 4,0 y 4,6 para la aceptación por sabor, textura y apariencia, respectivamente. Los valores sensoriales indican la necesidad de realizar un estudio posterior, utilizando un panel entrenado, que permita establecer descriptores del sabor y la textura de la carne salada y así mejorar la composición de la mezcla salina para lograr una buena aceptación. Considerando los resultados físicoquímicos se podría decir que es posible utilizar una mezcla de salado constituida por NaCl, KCl, MgCl2 y CaCl2 en el rango de valores estudiado, para salar carne de chigüire. Igualmente, diferentes investigaciones han determinado la factibilidad de utilizar una mezcla de estos cloruros en el salado de carne caprina [15], en la manufactura de lacón madurado [23], jamón curado [26], salami [31] y pan [17].
Ajuste de los modelos
Los modelos ajustados para Xw, Xs, XNa, XK, XCa, XMg, Xc, Sa, Tex y A, explicaron el 95,36; 78,41; 93,75; 97,73; 96,85; 83,00; 91,14; 99,24; 95,83 y 99,13% de la variabilidad en estas variables, con una probabilidad mayor del 95% (TABLA II). El análisis estadístico de la adecuación de los modelos mostró que, los valores del R2 de predicción son comparables con los del R2 del ajuste y los PA son mayores de 4, indicando así que, las ecuaciones son adecuadas para calcular los cambios ocurridos y se pueden utilizar para predecir los valores de las variables respuestas estudiadas dentro del rango de los valores de los componentes de la mezcla.

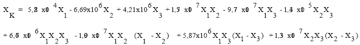
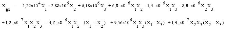
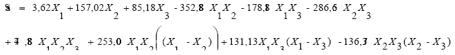
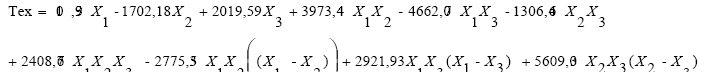
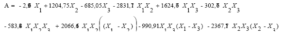
Los modelos obtenidos en función de los valores codificados de los factores, corresponden a:










Estos modelos indican que la magnitud de las características de la carne salada no sólo depende del efecto lineal de los componentes de la mezcla salina, sino también de los efectos interactivos entre ellos.
Superficies de respuesta y gráficas de contorno
Para visualizar los efectos combinados de cada uno de los componentes de la mezcla en las diferentes variables respuesta, se generaron a partir de los modelos, las superficies de respuesta (FIG. 1) correspondientes, dentro del rango experimental. En la FIG. 1, se puede observar que la superficie de respuesta presenta un punto estacionario con un mínimo valor para Xw, XNa, Xc, Sa y A, una loma ascendente para Xs, XCa, y un punto estacionario con un valor máximo para Tex, XK, XMg . Observando las figuras de contorno se puede analizar el efecto de cada uno de los factores en las diferentes variables respuesta. Por ejemplo, el contenido de humedad (FIG. 2): a) es constante e igual a 0,26 para combinaciones de valores de X1 entre 0,50 y 0,46 g NaCl/g; X2 entre 0,13 y 0,20 g MgCl2/g; y X3 entre 0,07 y 0,12 g CaCl2/g; b) disminuye cuando X3 se incrementa desde 0,05 hasta 0,07 g CaCl2/g, aumenta cuando se incrementa desde 0,12 hasta 0,19 g MgCl2/g, y disminuye cuando de aumenta hasta 0,20 g MgCl2/g; c) disminuye cuando decrece X1 desde 0,61 hasta 0,050 g NaCl/g, pero aumenta cuando X1 se disminuye hasta 0,45 g NaCl/g; d) es constante e igual a 0,28 cuando X2 se aumenta desde 0,05 hasta 0,08 g MgCl2/g, pero disminuye cuando se sigue aumentando hasta 0,20 g MgCl2/g.











Optimización de la composición de la mezcla de salado
Optimización numérica
Para efectuar la optimización numérica de la composición de la mezcla salina, se tomaron las restricciones, o condiciones deseadas en la carne salada, correspondientes a valores mínimos en Xw y XNa , máximos en Xs, Sa, Tex y A, y dentro del rango experimental en XK, XMg, XCa y Xc.
Se encontraron cinco diferentes soluciones correspondientes a las condiciones establecidas, con valores de D entre 0,5 y 0,79 (TABLA III). Se puede observar que, las soluciones presentan los valores de las características del producto y por lo tanto definen así, la mezcla óptima que satisfaga una o más de las propiedades deseadas. Por ejemplo, para tener carne salada con: a) la más baja humedad, se podría escoger la mezcla dada con D igual a 0,79; b) menor contenido de sodio, la solución con D igual a 0,68, c) mayor aceptación por textura, la mezcla dada con D igual a 0,79. Considerando que, la aceptación sensorial del producto es importante, La solución con un D igual a 0,79 muestra bajo contenido de sodio y buena aceptación sensorial y corresponde a la mezcla óptima que contiene 0,47 g NaCl/g; 0,25 g KCl/g; 0,20 g MgCl2/g y 0,08 gCaCl2/g. Esta mezcla produce carne salada con 0,25 g agua/g; 0,48 g NaCl/g; 22261 mg sodio/kg; 15416 mg potasio/kg; 13732 mg magnesio/kg; 7392 mg calcio/kg; 0,74 g cenizas/g; y una valoración sensorial de ni me gusta ni me disgusta el sabor (4,2), me gusta la textura (4,9) y ni me gusta ni me disgusta la apariencia (4,2). Esta metodología proporciona tanto la composición de la mezcla óptima como las características deseadas de la carne salada, definiendo cuales resultados son aceptables o no, para cada respuesta individual [16, 18].

Optimización gráfica
En la FIG. 3 se presenta la sobreposición de los niveles de contorno de las diferentes variables respuestas con las siguientes restricciones consideradas para la carne salada: 0,26 <Xa< 0,27; 0,47 <Xs< 0,48; 22600 <XNa< 23000; 15000 <XK< 16000; 13000 <XMg< 14000; 6000 <XCa< 7000; 0,74 <Xc< 0,75; 4,4 <Sa< 4,5; 4,5 <Tex< 4,6 y 4,5 <A <4,6. En ella se puede observar que la mezcla óptima contiene 0,47 g NaCl/g; 0,25 g KCl/g; 0,20 g MgCl2/g y 0,08 gCaCl2/g. Esta mezcla es semejante a la obtenida aplicando la metodología de la optimización por la función deseada. Las características de la carne salada resultante, se determinan sustituyendo en los diferentes modelos, estos valores de la composición óptima de la mezcla.

CONCLUSIONES
Se obtuvieron modelos matemáticos que explicaron entre el 78,41 y 99,24% de la variación en el contenido de agua, sal, sodio, potasio, magnesio, calcio y cenizas, y la aceptación por sabor, textura y global en trozos de carne de chigüire salada con diferentes mezclas de NaCl, KCl, MgCl2 y CaCl2. Mediante los métodos de la función deseada y gráfico, se determinó que la mezcla óptima contenía 0,47 g NaCl/g, 0,25 g KCl/g; 0,20 g MgCl2/g y 0,08 g CaCl2/g. Esta mezcla permitiría la elaboración de carne salada de chigüire con menor presencia de sodio y adición de calcio y magnesio, lo cual aseguraría un consumo provechoso para la salud. Sin embargo, sería necesario un estudio sensorial posterior para determinar los descriptores de sabor y textura de la carne salada, que permitan una buena aceptación y por ende un mejoramiento de la composición de la mezcla.
Referencias
[1] ALIÑO, M.; GRAU, R.; FUENTES, A.; BARAT, J.M. Characterisation of pile salting with sodium replaced mixtures of salts in dry-cured loin manufacture. J. Food Eng. 97:434–439. 2010.
[2] ALIÑO, M.; GRAU, R.; TOLDRÁ, F.; BARAT, J. M. Physicochemical changes in dry-cured hams salted with potassium, calcium and magnesium chloride as a partial replacement for sodium chloride. Meat Sci. 86: 331-336. 2010.
[3] ALIÑO, M.; GRAU, R.; TOLDRÁ, F.; BLESA, E.; PAGÁN, M.J.; BARAT, J.M. Physicochemical properties and microbiology of dry-cured loins obtained by partial sodium replacement with potassium, calcium and magnesium. Meat Sci. 85:580–588. 2010.
[4] AN, K.; DING, S.; TAO, H.; ZHAO, D.; WANG, X.; WANG, Z.; HU, X. Response surface optimisation of osmotic dehydration of Chinese ginger (Zingiber officinale Roscoe) slices. Int. J. Food Sci. Technol. 48 (1): 28–34. 2013.
[5] ARBALLO, R.; BAMBICHA, R.R.; CAMPAÑONE, L.A.; AGNELLI, M.E.; MASCHERONI, R.H. Mass transfer kinetics and regressional-desirability optimisation during osmotic dehydration of pumpkin, kiwi and pear. Int. J. Food Sci. Technol. 47 (2): 306–314.2012.
[6] BORAH, P.; SIT, N. Optimization of drying conditions of Xanthosoma sagittifolium (Tannia) tubers in tray dryer using response surface methodology, J. Food Proc. Preserv. 39 (2): 190–198, 2015.
[7] CHARLTON, K. E; MACGREGOR, E.; VORSTER, N. H.; LEVITT, N. S.; STEYN, K. Partial replacement of NaCl can be achieved with potassium, magnesium and calcium salts in brown bread. Int. J. Food Sci. Nutr. 58(7):508-21. 2007.
[8] CHOI, S. H; CHEIGH, C. I.; CHUNG, M. S. Optimization of processing conditions for the sterilization of retorted short-rib patties using the response surface methodology. Meat Sci. 94 (1): 95-104. 2013.
[9] COMISIÓN VENEZOLANA DE NORMAS INDUSTRIALES (COVENIN). Norma venezolana COVENIN: 844-78. Alimentos: Determinación de Sodio y Potasio. 1978.
[10] COMISIÓN VENEZOLANA DE NORMAS INDUSTRIALES (COVENIN). Norma venezolana COVENIN: 986-82. Alimentos: Determinación de Calcio y Magnesio. 1982.
[11] COMISIÓN VENEZOLANA DE NORMAS INDUSTRIALES (COVENIN). Norma Venezolana COVENIN: 1120-97. Carne y productos cárnicos. Determinación de humedad. (Segunda revisión). 1997.
[12] COMISIÓN VENEZOLANA DE NORMAS INDUSTRIALES (COVENIN). Norma Venezolana COVENIN: 1220-99. Carne y productos cárnicos. Determinación del contenido total de cenizas. (Segunda revisión). 1999.
[13] COMISIÓN VENEZOLANA DE NORMAS INDUSTRIALES (COVENIN). Norma Venezolana COVENIN: 1223-02. Alimentos: Determinación de sal. 2002.
[14] CORRÊA, J. L.G.; ERNESTO, D, B.; ALVES, J. G. L. F.; ANDRADE, R. S. Optimisation of vacuum pulse osmotic dehydration of blanched pumpkin. Int. J. Food Sci. Technol. 49(9): 2008-2014.
[15] CORZO, O.; BRACHO, N.; RODRÍGUEZ, J.; GONZÁLEZ, V. C. Efectos del reemplazo parcial de cloruro de sodio sobre la transferencia de masa en el salado en pila de láminas de carne caprina. Rev. Cientif. FCV-LUZ. XXII (1): 59 – 64. 2012.
[16] DERRINGER, G. C.; SUICH, R. Simultaneous optimization of several response variables. J. Qual. Technol. 12: 214–219. 1980.
[17] DESIGN-EXPERT. Versión 9. Stat-Ease, Inc. Minneapolis, MN. E U A. 2014.
[18] EREN, I.; KAYMAK-ERTEKIN, F. Optimization of osmotic dehydration of potato using response surface methodology. J. Food Eng. 79: 344–352. 2007.
[19] GAMBOA-SANTOS, J.; SORIA, A. C.; FORNARI, T.; VILLAMIEL, M.; MONTILLA, A. Optimisation of convective drying of carrots using selected processing and quality indicators. Int. J. Food Sci. Technol. 48: 1998–2006. 2013.
[20] GHAVI, P. P. Modeling and optimization of ultrasound-assisted extraction of polysaccharide from the roots of Althaea officinalis. J. Food. Proc. Preserv. 39 86): 2107-2118. 2015.
[21] GREG, F.; PIEPEL, G.F., SZYCHOWSKI, J.M., LOEPPKY, J.J. Augmenting Scheffe Linear Mixture Models With Squared and/or Crossproduct Terms. J. Qual. Technol. 34(3): July 2002.
[22] HUANG, M.; HE, G.; CHEN, S.; CUI, M.; MA, L.; LIU, Y. Optimisation of a quality improver for instant rice and its quality properties. Int. J. Food Sci. Technol. 49: 606–615. 2014.
[23] LORENZO, J. M.; CITTADINI, A.; BERMÚDEZ, R.; MUNEKATA, P. E.; DOMÍNGUEZ, R. Influence of partial replacement of NaCl with KCl, CaCl2 and MgCl2 on proteolysis, lipolysis and sensory properties during the manufacture of dry-cured lacón. Food Contr. 55: 90-96. 2010.
[24] MARCHETTI, L.; ANDRÉS, S. C.; CALIFANO, A. N. Low-fat meat sausages with fish oil: Optimization of milk proteins and carrageenan contents using response surface methodology. Meat Sci. 96 (3): 1297-1303. 2014.
[25] MYERS, R.H.; MONTGOMERY, D.C. Experiment with mixtures. Response surface methodology: process and product optimization using designed experiments. 2nd Ed. John Wiley and Sons, Inc., New York. Pp 557-577. 2002.
[26] RIPOLLÉS, S.; BASTIANELLO P. C.; ARMENTEROS, M.; ARISTOY, M. C.; TOLDRÁ, F. Influence of partial replacement of NaCl with KCl, CaCl2 and MgCl2 on lipolysis and lipid oxidation in dry-cured ham. Meat Sci. 89 (1):58-64. 2011.
[27] TORRES, J. L. La carne de Chigüiro como alimento. Manual sobre: El Chigüiro, su cría y explotación racional. Ed. Temas Orientación Agropecuaria. Bogotá. Pp 70–75. 1987.
[28] VIANA, A. D.; CORRÊA, J. L. G.; JUSTUS, A. Optimisation of the pulsed vacuum osmotic dehydration of cladodes of fodder palm. Int. J. Food Sci. Technol. 49(3): 726-732. 2014.
[29] VIEIRA, G. S.; PEREIRA, L. M.; HUBINGER, M. D. Optimisation of osmotic dehydration process of guavas by response surface methodology and desirability function. Int. J. Food Sci. Technol.47: 132-140. 2012.
[30] WIJNGAARD, H.H.; BALLAY, M.; BRUNTON, N. The optimization of extraction of antioxidants from potato peel by pressurized liquids. Food Chem. 133: 1123–1130. 2012.
[31] ZANARDI, E.; GHIDINI, S.; CONTER, M.; IANIERI, A. Mineral composition of Italian salami and effect of NaCl partial replacement on compositional, physico-chemical and sensory parameters. Meat Sci. 86 (3): 742-747. 2010.