Originales

Recepción: 09 Abril 2018
Aprobación: 30 Abril 2018
Resumen: Desde la infancia temprana la educación musical conlleva cambios en el comportamiento, así como en la función y anatomía cerebral, influyendo en el desarrollo cognitivo de los niños. El objetivo del presente trabajo fue evaluar el efecto de clases musicales de tipo activo y receptivo en la memoria emocional visual de niños de 4 y 5 años, en contexto escolar. Para lo cual se llevaron a cabo clases musicales (activas o receptivas) durante 10 semanas, evaluando la memoria de los niños en tres momentos diferentes (línea de base, luego de 10 o 20 semanas de finalizadas las clases musicales). Los resultados obtenidos indican que los niños que recibieron una propuesta de tipo receptivo presentaron un mejor rendimiento en la memoria visual en comparación con los grupos que realizaron actividades musicales activas. Estos datos aportan evidencia sobre la importancia y el uso de actividades musicales, en contexto educativo, para mejorar habilidades cognitivas no musicales que potencien el desarrollo escolar de los niños.
Palabras clave: entrenamiento musical, niños preescolares, memoria emocional.
Abstract: From early childhood, musical education carries behavioral, functional and anatomical changes in the brain, influencing children’s cognitive development. The aim of this study was to assess the effect of active and receptive music lessons in four- and five-year-old children’s memory, while immersed in their school environment. Therefore, active and receptive music lessons were carried out for 10 weeks, testing children’s memory at three moments: baseline, after 10 weeks, and 20 weeks after their lessons had finished. The results indicate that children who received receptive lessons performed better in a visual memory task than the children who received active lessons. These results contribute to the ongoing evidence on the importance and use of musical activities, within the school setting, for the enhancement of non-music related cognitive abilities in children.
Keywords: musical training, preschoolers, emotional memory.
Resumo: Desde a mais tenra infância, a educação musical leva a mudanças no comportamento assim como a função e anatomia cerebral, influenciando no desenvolvimento cognitivo das crianças. O objetivo do presente trabalho foi avaliar o efeito de clas1es musicais do tipo ativo e receptivo na memória emocional visual de crianças de 4 e 5 anos, em contexto escolar. Para tanto levou-se a cabo classes musicais (ativas ou receptivas) durante 10 semanas, avaliando a memória das crianças em três momentos diferentes (linha de base, logo de 10 ou 20 semanas de finalizadas as classes musicais). Os resultados obtidos indicam que as crianças que receberam uma proposta do tipo receptivo apresentaram um melhor rendimento na memória visual em comparação com os grupos que realizaram atividades musicais ativas. Estes dados trazem evidência sobre a importância e o uso de atividades musicais, no contexto educativo, para melhorar habilidades cognitivas não musicais que potencializem o desenvolvimento escolar das crianças .
Palavras-chave: treinamento musical, crianças pré-escolares, Memória emocional.
A lo largo de los años los investigadores estudiaron qué factores podrían ser empleados como herramientas para mejorar las funciones cognitivas en diversas poblaciones. Es por ello que se ha investigado al ejercicio físico, el aprendizaje de idiomas, la exposición a estímulos novedosos como intervenciones que modularían la cognición, por citar sólo algunos ejemplos (Bialystok, 2017; Norman, Rutkowsky, Bodine, & Rutledge, 2018; Schomaker & Meeter, 2015). Entre estas herramientas se encuentra también el uso de la música y sus elementos como posible regulador de las funciones cognitivas (Christie et al., 2017; Strong & Mast, 2018).
La práctica musical explícita, además de mejorar el conocimiento de la música en sí mismo, afecta considerablemente el desarrollo de conductas básicas y los procesos neuronales en una gama de dominios y modalidades (Kleber, Friberg, Zeitouni, & Zatorre, 2016; Hannon & Trainor, 2007). Existen evidencias de que las experiencias de aprendizaje musical intensivas conllevan cambios en el comportamiento, así como en la función y anatomía cerebral (Gaser & Schlaug 2003; Hallam, 2010; Kraus & Chandrasekaran, 2010).
La percepción auditiva y la producción musical son funciones particulares del cerebro humano (Arias Gómez, 2007). Escuchar música requiere habilidades perceptivas que incluyen la discriminación de tonos, la memoria auditiva y la atención selectiva para poder percibir las dimensiones musicales que incluyen el tono, ritmo, melodía y timbre, así como también, sus componentes afectivos y, compromete una red de estructuras cerebrales específicas. La producción musical, además de implicar estas habilidades perceptivas, a diferencia de la mayoría de otras actividades motoras, requiere diferentes organizaciones cerebrales jerárquicamente organizadas de acción y control y la superposición de diversas funciones cognitivas, presentando una integración multisensorial productor del feedback auditivo-motor y el ajuste en tiempo real (Miendlarzewska & Trost, 2014; Zatorre, Chen, & Penhune, 2007).
Las clases receptivas de música implican la utilización de técnicas en las cuales el niño es un receptor de la música y/o sus elementos, en el sentido de no ser un ejecutante activo de la misma. Este tipo de procesamiento auditivo se define como la percepción del sonido o alternancia del sonido dentro de una duración restringida (Musiek et al., 2005). Por otro lado, las clases activas de música utilizan una currícula que enfatiza el movimiento, el canto, tocar instrumentos de percusión y la construcción de un repertorio de canciones. En estas clases, los niños cantan, se mueven o tocan instrumentos de percusión (Gerry, Unrau, & Trainor, 2012). En este sentido, las actividades receptivas parecen están más vinculadas a un procesamiento analítico del estímulo, es decir a la mera respuesta ante la presentación de un sonido y sus componentes, mientras que las propuestas de tipo activas involucran acciones creativas, movimiento y la consecuente interacción entre los participantes lo cual podría reclutar los componentes emocionales del quehacer musical.
La literatura existente da cuenta del efecto del aprendizaje musical en diversas funciones cognitivas. Este efecto puede ser diferenciado como transferencia cercana o lejana. La primera, da cuenta de que la práctica musical puede ser beneficiosa para tareas relacionadas estrechamente con la música, por ejemplo, mayor facilidad para detectar tonos o destreza motora fina (debido al entrenamiento de las manos al tocar instrumentos; Bergeson & Trehub, 2005; Trainor & Corrigal, 2010). Mientras que la segunda implica que el entrenamiento musical podría ser beneficioso para habilidades no musicales, como el lenguaje, la visuoespacialidad o las funciones ejecutivas entre otras (Cheung, Chan, Liu, Law, & Wong, 2017; Gooding, Abner, Jicha, Kryscio, & Schmitt, 2015; Moreno & Besson, 2006; Norton et al., 2005). Hay una vasta cantidad de literatura que ha demostrado el efecto del entrenamiento musical en el área de la transferencia cercana, sin embargo, en el ámbito de la transferencia lejana los trabajos hasta el momento son escasos. Por ello, uno de los objetivos de este trabajo es evaluar cómo las clases musicales afectarían un dominio cognitivo considerado de transferencia lejana, como lo es la memoria.
Por otro lado, a lo largo de los años numerosos equipos de trabajo que desarrollan sus estudios tanto en animales como humanos han mostrado que las emociones se vinculan íntimamente con la memoria (Bradley, Greenwald, Petry, & Lang, 1992; Cahill & McGaugh, 1995; Marchewka et al., 2016; McGaugh & Roozendaal, 2009). Las emociones con las que se procesa la información pueden ser entendidas como un sistema de filtro, que seleccionan aquellos hechos que van a ser almacenados de forma más duradera (Rodrígues, Schafé, & LeDoux, 2004). El contenido emocional actuaría como un neuromodulador de la memoria en la codificación, consolidación y recuperación de la información. Existe una vasta cantidad de investigación que evaluó este tema en adultos (McIntyre, McGaugh, & Williams, 2012; Roozendaal & McGaugh, 2011). Sin embargo, es un tema que no ha recibido la misma cantidad de investigación en niños (Otgaar, Candel, & Merckelbach, 2008; Solomon, DeCicco, & Dennis, 2012), es por ello que el objetivo específico de este trabajo es evaluar la memoria emocional en niños prescolares.
Un modo de modular la memoria emocional es mediante la música. Por ejemplo, Justel y Rubinstein (2013), llevaron a cabo un estudio en el cual 66 participantes fueron expuestos a 48 imágenes, 24 con contenido emocional y 24 neutras y luego, de modo inmediato, escuchaban un estímulo sonoro: ruido blanco para un grupo control y una pieza de música relajante o activante para 2 grupos experimentales. Luego se evaluó el recuerdo libre y reconocimiento de las imágenes que habían observado. Se halló que, acorde a la literatura, los participantes recordaron más imágenes emocionales que neutras y a su vez la música moduló este recuerdo, mejorándolo. Similares resultados fueron hallados para memorias emocionales verbales (Justel, Abrahan, Castro, & Rubinstein, 2016). En lo que respecta a la música y su relación con la memoria en niños, Ballarini, Martínez, Pérez, Moncada, y Viola, (2013) hallaron que niños de 7 a 9 años de edad expuestos a una única clase musical novedosa, que consistía en juegos musicales con instrumentos caseros, tuvieron una mejora en su memoria verbal, así como memoria visual, pero sin componentes emocionales involucrados.
Debido a los mencionados antecedentes es que este trabajo tuvo como objetivo evaluar la influencia de clases de música activas y receptivas en la memoria emocional visual de niños en edad preescolar. Para ello se empleó el Sistema Internacional de Imágenes Afectivas (IAPS por sus siglas en inglés International Affective Picture System; Lang, Bradley, & Cuthbert, 1995), debido a que es uno de los procedimientos mayormente empleados en la literatura para estudiar la memoria emocional. Se esperaba que los niños tuvieran un mejor recuerdo de lo emocional sobre lo neutro, y que este recuerdo fuese mayor en aquellos participantes que tuvieran las clases de música activas ya que el involucramiento del sujeto es mucho mayor al participar en actividades productivas que receptivas.
Materiales y Método
Participantes.
En total 77 niños de 4 y 5 años de edad participaron de este estudio, el 50.6 % de ellos eran varones (M4años = 50.4, DE = .56, M5años = 63, DE = .55). En primera instancia se tuvo la aprobación por parte de las instituciones para poder ingresar a los jardines, luego se realizó una reunión con los padres para explicarles el estudio y responder todas las dudas que surgieran. Posteriormente, de estar de acuerdo, los padres firmaban un consentimiento informado y completaban una planilla de datos sociodemográficos acerca de sus hijos, así como de la familia. Las familias eran de clase socio-económica media-baja con español como lengua nativa.
Materiales.
Se seleccionaron 72 imágenes apropiadas para niños del IAPS (Lang et al., 1995). Veinticuatro de esas imágenes eran de contenido placentero/positivo (por ejemplo un helado), 24 eran de contenido negativo/displacentero (i.e. un niño llorando), mientras que 24 eran neutras (e.g. escenas de la naturaleza). Veinticuatro de esas imágenes (ocho neutras, ocho negativas y ocho positivas) fueron usadas para evaluar valencia y arousal, y fueron consideradas las imágenes “blanco” (target), las otras 48 fueron utilizadas para evaluar reconocimiento tanto inmediato como diferido. Las imágenes fueron presentadas mediante Microsoft PowerPoint en un monitor de 14’’. Los niños estaban sentados a 60cm de la computadora.
Procedimiento.
El estudio tuvo cuatro fases las cuales comenzaron luego de tener los consentimientos firmados por los padres y/o tutores. En la primera fase, llamada línea de base (LB), se evaluó la memoria emocional para establecer una medida pre intervención, la segunda fase fueron las clases de música propiamente dichas durante un período de 10 semanas (intervención). Posteriormente, finalizadas las clases de música, comenzó la tercera fase, donde volvió a evaluarse la memoria emocional (medida post intervención 1, Post1). Luego de 20 semanas de finalizadas las clases de música fue la fase 4 donde volvió a evaluarse la memoria emocional (medida post intervención 2, Post2). Para todos los niños se empleó el mismo esquema de trabajo (ver Fig. 1).

Nota. LB: Línea de Base. RLI: Recuerdo libre inmediato. RI: Reconocimiento inmediato. RLD: Recuerdo libre diferido. RD: Reconocimiento diferido. La doble línea entre RI y RLD indica una espera de una semana. Las clases de música comenzaron inmediatamente después de la LB. El Post 1 comenzó luego de finalizadas las 10 semanas de clases de música. El Post2 comenzó luego de 20 semanas de finalizadas las clases de música.
LB. Sesión 1.
Cada niño fue retirado de su aula y evaluado individualmente. Se sentaban enfrente de la computadora e iban observando 24 imágenes presentadas de a una (ocho neutras, ocho positivas y ocho negativas mezcladas de modo aleatorio). Debido a que se encuentra reportado en la literatura (Solomon et al., 2012) que los niños tienen dificultades para comprender el sistema utilizado en adultos para evaluar arousal y valencia (self-assessment manikin, SAM. Lang et al., 1992) se diseñó un sistema de caras para facilitarles la tarea (Fig. 2) y con el mismo evaluar valencia (panel superior) y arousal (panel inferior) de cada una de las imágenes. Para cada una de las 24 imágenes blanco el niño debía indicar si le correspondía una cara triste, neutra o contenta (Fig. 2, panel superior), esto era usado para evaluar valencia. Para analizar estos datos la cara triste se transformó con un 1, la neutra con un 2 y la contenta con un 3.

Una vez que el niño elegía una de las emociones, el investigador le mostraba esa cara en 5 tamaños, desde una cara pequeña a una grande y el niño seleccionaba una de ellas para indicar cuan contento lo ponía la imagen que había observado (o cuan triste). Esto fue usado para evaluar arousal y las caras fueron transformadas de 1 a 5 para analizar la información (Fig. 2, panel inferior, ejemplo de los cinco valores de arousal para las imágenes positivas). Una vez que el niño observaba y evaluaba las 24 imágenes, el investigador le preguntaba qué imágenes recordaba de las vistas previamente (recuerdo libre inmediato). Luego las 24 imágenes blanco eran mezcladas con 24 imágenes novedosas y el niño al observarlas tenía que indicar si la había visto previamente o era nueva (reconocimiento inmediato). La sesión 1 tuvo una duración aproximada de 20-30 minutos.
LB 1. Sesión 2.
Después de una semana el niño era nuevamente retirado de su aula y evaluado de modo individual. En esta sesión se evaluó recuerdo libre y reconocimiento (medidas diferidas) del mismo modo que en la sesión 1 de la LB, la única diferencia fue que las imágenes novedosas empleadas en este reconocimiento fueron diferentes a las usadas en el reconocimiento inmediato. Esta sesión tuvo una duración de aproximadamente 5-10 minutos.
Clases de música (10 semanas).
Las clases tuvieron lugar en los colegios de los niños, por un período de 10 semanas consecutivas, con sesiones de media hora dos veces por semana. Ambas clases (receptivas y activas) tenían los mismos contenidos curriculares, pero dictados desde diferentes perspectivas por una maestra de música. Las clases receptivas involucraron escuchar, identificar y reconocer elementos del discurso musical (Musiek et al., 2005). Mientras que en las activas los niños cantaban, se movían y tocaban instrumentos de percusión (Gerry et al., 2012). Debido a que había dos tipos de clases (receptivas y activas) y dos edades diferentes (4 y 5 años) se conformaron 4 grupos: niños de 4 años con clases receptivas (4REC), niños de 4 años con clases activas (4ACT), niños de 5 años con clases receptivas (5REC) y finalmente niños de 5 años con clases activas (5ACT). Los niños fueron asignados de modo aleatorio a cada una de las condiciones.
Post1. Sesión 1.
La semana posterior a la finalización de las clases de música se realizó la evaluación de la memoria (medida post intervención 1, Post1) y la sesión fue exactamente igual a la sesión 1 de la LB.
Post1. Sesión 2.
Esta fase fue exactamente igual a la sesión 2 de la LB (se llevó a cabo una semana luego de la sesión 1 del Post1).
Post2. Sesión 1.
Luego de 20 semanas de finalizadas las clases de música se realizó una nueva evaluación de la memoria (medida post intervención 2, Post2) y la sesión fue exactamente igual a la sesión 1 de la LB.
Post2. Sesión 2.
Esta fase fue exactamente igual a la sesión 2 de la LB (se llevó a cabo una semana luego de la sesión 1 del Post2).
Análisis de datos.
Se analizó la información con un Análisis de Varianza de medidas repetidas (ANOVA MR). Los factores intersujeto fueron Edad (4 vs 5 años) y Clases (Receptivas vs Activas), mientras que las Imágenes (Neutras, Positivas, Negativas) y el Tiempo (LB, Post1, Post2) fueron las MR. Se realizaron comparaciones Post hoc para evaluar efectos principales, así como interacciones relevantes. Se utilizó el cuadrado eta parcial para estimar el tamaño del efecto (η²p). Se fijó un valor de alfa de .05. Los datos fueron analizados con el paquete estadístico SPSS.
Resultados
Valencia.
Los niños observaban una serie de imágenes y debían indicar si las mismas les parecían neutras, positivas o negativas. Los resultados se encuentran en la Tabla 1. El ANOVA arrojó un efecto significativo de Imágenes F(2,138) = 712.31, p < .0001, η²p = .912, Imágenes x Clases F(2,138) = 6.24, p = .003, η²p = .083, Imágenes x Edad x Clases F(1,138) = 5.56, p = .005, η²p = .075, Imágenes x Tiempo F(4,276) = 6.29, p < .0001, η²p = .084, Imágenes x Tiempo x Clases F(4,276) = 4.98, p < .001, η²p = .067 y de Edad x Clases F(1,69) = 13.83, p < .0001, η²p = .167.
Los análisis Post hoc para evaluar la interacción de Imágenes x Tiempo x Clases indicaron que, en ambos grupos, para los 3 tiempos de evaluación, las imágenes positivas fueron evaluadas con mayor puntuación que las neutras y éstas a su vez con mayor puntuación que las negativas, p < .0001. Además, en la medida Post2 el grupo receptivo evaluó las imágenes positivas con mayor valor que el grupo con clases activas, p < .0001. Por otro lado, el grupo con clases activas evaluó las imágenes negativas con mayor valencia que aquellos niños que tuvieron las clases receptivas, p < .0001. Además, dentro del grupo con clases receptivas en la medida Post2 las imágenes negativas fueron calificadas con menor valor que en la LB y que en la medida Post1, p < .0001. En el mismo grupo, las imágenes positivas fueron calificadas con mayor valoración en la medida Post2 que en la línea de base, p = .05 y que la medida Post1, p < .0001. Dentro del grupo con clases activas las imágenes neutras tuvieron más puntuación en la línea de base que en la medida Post2, p < .05.
A su vez, los análisis Post hoc para evaluar la triple interacción de Imágenes x Edad x Clases indicaron que los niños de 5 años de edad con clases activas calificaron con mayor puntuación las imágenes neutras que los niños de 4 años, p < .001. Mientras que el patrón opuesto se halló para los niños que participaron de las clases receptivas, donde las imágenes neutras fueron calificadas con mayor puntuación por parte de los niños de 4 años de edad, p < .001. Dentro del grupo de 4 años de edad, los niños con clases receptivas puntuaron con mayor valor tanto las imágenes neutras, p < .001, como positivas, p = .041, que los niños que participaron de clases activas. Por su parte, los niños de 5 años de edad con clases activas puntuaron con mayor valor las imágenes neutras, p < .001, y negativas, p = .025, que los niños con las clases receptivas. Finalmente, ambas edades, con ambos tipos de clases, calificaron las imágenes positivas por encima de las neutras y estas a su vez por encima de las negativas, p < .0001.
Resumiendo, las imágenes positivas fueron calificadas con mayor valencia que las neutras y éstas a su vez con mayor puntuación que las negativas, dando cuenta de la fiabilidad del sistema utilizado para evaluar valencia emocional. Además, se halla una interacción en relación a las clases de música y la valencia, donde los niños con clases receptivas valoraron más las imágenes neutras y positivas mientras que los niños con las clases activas valoraron más lo negativo y lo neutro.

Valoración que los niños le otorgaron a las imágenes observadas divididos por grupos (4REC, 4ACT, 5REC, 5ACT) así como por tipo de imagen (Neutra, Positiva, Negativa) y momento de evaluación (LB, Post1, Post2). 4REC: Niños de 4 años con clases de música receptivas. 4ACT: Niños de 4 años con clases de música activas. 5REC: Niños de 5 años con clases de música receptivas. 5ACT: Niños de 5 años con clases de música activas. LB: Línea de base. Post 1: Valoración luego de las 10 semanas de clases de música. Post 2: Valoración luego de 20 semanas de finalizadas las clases de música. Los valores están expresados como medias (entre paréntesis se encuentra la desviación estándar).
Arousal.
Los niños tenían que evaluar en una escala de 1 a 5 (con caras pequeñas a grandes) cuan emocionales eran las imágenes para ellos (Fig. 1 panel inferior). Los resultados se muestran en la Tabla 2. El ANOVA indicó un efecto principal de Imágenes F(2,134) = 6.06, p = .003, η²p = .083 y Tiempo F(2,134) = 4.59, p = .012, η²p = .064. Resultó además significativa la interacción de Imágenes x Tiempo F(4,268) = 3.93, p = .004, η²p = .055. Los análisis Post hoc para evaluar la interacción indicaron que en la LB las imágenes positivas fueron más activantes que las neutras, p = .003 y que en el Post2 las imágenes positivas y negativas fueron más activantes que las neutras, p < .01. Además, las imágenes positivas fueron menos activantes en el Post1 comparado con la LB, p = .002. Por otro lado, las imágenes negativas fueron calificadas como menos activantes en el Post1 que en la LB y Post2, p < .01. De modo general, puede concluirse que las imágenes emocionales positivas fueron más activantes que las neutras, siendo las negativas un punto intermedio.

Grado de activación que los niños le otorgaron a las imágenes observadas divididos por grupos (4REC, 4ACT, 5REC, 5ACT) así como por tipo de imagen (Neutra, Positiva, Negativa) y momento de evaluación (LB, Post1, Post2). 4REC: Niños de 4 años con clases de música receptivas. 4ACT: Niños de 4 años con clases de música activas. 5REC: Niños de 5 años con clases de música receptivas. 5ACT: Niños de 5 años con clases de música activas. LB: Línea de base. Post 1: Valoración luego de las 10 semanas de clases de música. Post 2: Valoración luego de 20 semanas de finalizadas las clases de música. Los valores están expresados como medias (entre paréntesis se encuentra la desviación estándar).
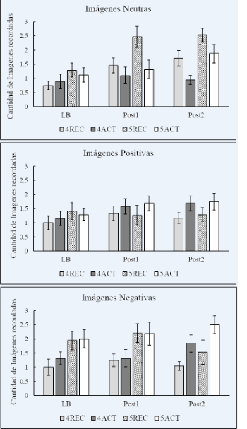
Recuerdo libre inmediato.
De modo posterior a calificar valencia y arousal se les preguntaba a los niños que imágenes recordaban de las vistas previamente, los resultados se encuentran en la Figura 3. El ANOVA indicó un efecto significativo de Imágenes F(2,144) = 3.53, p = .032, η²p = .047, siendo las imágenes negativas mayormente recordadas que las positivas, p = .022, y que las neutras, p = .038. Un efecto significativo de Tiempo F(2,144) = 6.69, p = .002, η²p = .085, el cual indicó que los niños recordaron más cantidad de imágenes en el Post1 y Post2 en comparación a la LB, p < .05. Además un efecto significativo de Edad F(2,72) = 11.93, p < .001, η²p = .142, donde los niños de 5 años tuvieron un mejor desempeño que los niños más pequeños, p < .001. Por otro lado, resultó significativa la interacción de Imágenes x Edad F(2,144) = 4.01, p = .02, η²p = .053, los análisis Post hoc indicaron que para las imágenes neutras y negativas los niños de 5 años recordaron más información que los niños de 4 años de edad; así como que los niños de 5 años recordaron más imágenes negativas que positivas.
A su vez, resultó significativa la interacción de Imágenes x Clases, F(2,144) = 8.79, p < .0001, η²p = .109, los análisis Post hoc indicaron que las imágenes neutras fueron mayormente recordadas por los niños que tuvieron las clases de música receptivas, p = .003 y se encontró una tendencia que indicaría que las imágenes negativas serían mayormente recordadas por los niños con clases activas por sobre las receptivas, p = .067. Además, tanto para los niños con las clases receptivas, así como activas, las imágenes neutras fueron mayormente recordadas que las positivas, p < .05, y para los niños en clases activas además las imágenes neutras se recordaron más que las negativas, p < .0001.
Resumiendo, los niños que recibieron clases de música receptivas tuvieron un recuerdo superior para las imágenes sin contenido emocional en comparación a los niños con las clases activas. Además, las imágenes neutras se recordaron en mayor medida que las positivas y que las negativas, siendo esto afectado de modo diferencial por las clases de música que recibieron los niños.

Media de imágenes recordadas divididas por los grupos (4REC, 4ACT, 5REC, 5ACT) así como por tipo de imagen [Neutra (panel superior), Positiva (Panel medio) y Negativa (Panel inferior)] y momento de evaluación (LB, Post1, Post2). 4REC: Niños de 4 años con clases de música receptivas. 4ACT: Niños de 4 años con clases de música activas. 5REC: Niños de 5 años con clases de música receptivas. 5ACT: Niños de 5 años con clases de música activas. LB: Línea de base. Post 1: Valoración luego de las 10 semanas de clases de música. Post 2: Valoración luego de 20 semanas de finalizadas las clases de música. Los valores están expresados como medias (entre paréntesis se encuentra la desviación estándar).
Reconocimiento Inmediato.
Para evaluar reconocimiento las imágenes “blanco” fueron entremezcladas con imágenes novedosas y los niños debían indicar cuál de ellas era nueva y cual ya había sido vista. Los falsos reconocimientos se sustrajeron del reconocimiento total para cada una de las imágenes. Los resultados se hallan en la Tabla 3. No se hallaron efectos principales ni interacciones significativas en esta medida evaluada, p > .05.

Media de imágenes reconocidas divididas por grupos (4REC, 4ACT, 5REC, 5ACT) así como por tipo de imagen (Neutra, Positiva, Negativa) y momento de evaluación (LB, Post1, Post2). 4REC: Niños de 4 años con clases de música receptivas. 4ACT: Niños de 4 años con clases de música activas. 5REC: Niños de 5 años con clases de música receptivas. 5ACT: Niños de 5 años con clases de música activas. LB: Línea de base. Post 1: Valoración luego de las 10 semanas de clases de música. Post 2: Valoración luego de 20 semanas de finalizadas las clases de música. Los valores están expresados como medias (entre paréntesis se encuentra la desviación estándar).
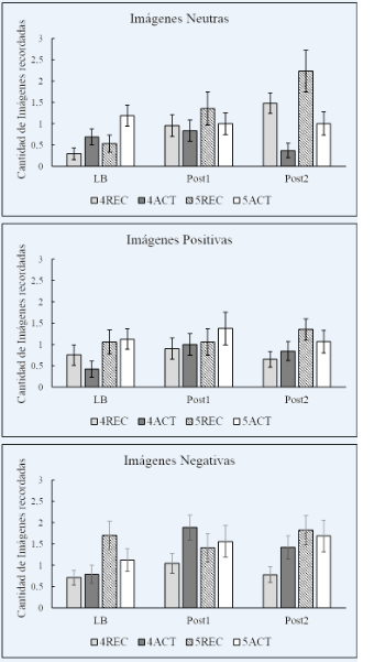
Recuerdo libre diferido.
La evaluación diferida se realizó una semana después de las evaluaciones inmediatas. En la Figura 4 se encuentran graficados los resultados. Se halló un efecto significativo de Imágenes F(2,132) = 8.12, p < .0001, η²p = .110, las imágenes negativas fueron mayormente recordadas que las neutras y positivas; Tiempo F(2,132) = 4.69, p = .011, η²p = .066, donde los niños recordaron más imágenes en Post1 y Post2 que la LB; Edad F(1,66) = 15.8, p < .0001, η²p = .193, donde los niños de 5 años recordaron más cantidad de imágenes que los niños de 4 años de edad. También resultó significativa la interacción de Tiempo x Imágenes x Clases F(4,264) = 5.28, p < .0001, η²p = .074.
Los análisis Post hoc para evaluar la triple interacción indicaron que para las imágenes neutras en la LB los niños con clases receptivas recordaron menos imágenes que los niños con clases activas, pero este efecto se revirtió en el Post2, en donde los niños con clases receptivas recordaron mayor cantidad de imágenes neutras que los niños con las clases activas. Además, los niños con clases receptivas, en la LB, recordaron menor cantidad de imágenes neutras que negativas y positivas, p < .05, pero en el Post2 las imágenes neutras se recordaron más que las positivas, p = .003. Por otro lado, los niños con clases activas en el Post1 recordaron mayor cantidad de imágenes negativas que neutras, p = .005 y en el Post2 se replicó el mismo patrón y además las positivas se recordaron más que las neutras, p < .001.
Sintetizando, las imágenes emocionales fueron mayormente recordadas que las neutras de modo general, sin embargo, este efecto se vio afectado por el tipo de clases a las cuales los niños asistían, siendo que las de tipo receptivo afectaron el recuerdo de las imágenes sin contenido emocional.

Media de imágenes recordadas de modo diferido divididas por los grupos (4REC, 4ACT, 5REC, 5ACT) así como por tipo de imagen [Neutra (panel superior), Positiva (Panel medio) y Negativa (Panel inferior)] y momento de evaluación (LB, Post1, Post2). 4REC: Niños de 4 años con clases de música receptivas. 4ACT: Niños de 4 años con clases de música activas. 5REC: Niños de 5 años con clases de música receptivas. 5ACT: Niños de 5 años con clases de música activas. LB: Línea de base. Post 1: Valoración luego de las 10 semanas de clases de música. Post 2: Valoración luego de 20 semanas de finalizadas las clases de música. Los valores están expresados como medias (entre paréntesis se encuentra la desviación estándar).
Reconocimiento diferido.
En la Tabla 4 se muestran los resultados de las imágenes que los niños reconocieron. Se encontró una interacción significativa de Tiempo x Clases F(2,132) = 3.58, p = .031, η²p = .057. Los análisis Post hoc indicaron que en el Post2 los niños con clases receptivas reconocieron más imágenes que los niños con clases activas, p = .011. A su vez los niños con clases receptivas reconocieron más imágenes en Post2 que en la LB, p = .004.

Media de imágenes reconocidas de modo diferido, divididas por grupos (4REC, 4ACT, 5REC, 5ACT) así como por tipo de imagen (Neutra, Positiva, Negativa) y momento de evaluación (LB, Post1, Post2). 4REC: Niños de 4 años con clases de música receptivas. 4ACT: Niños de 4 años con clases de música activas. 5REC: Niños de 5 años con clases de música receptivas. 5ACT: Niños de 5 años con clases de música activas. LB: Línea de base. Post 1: Valoración luego de las 10 semanas de clases de música. Post 2: Valoración luego de 20 semanas de finalizadas las clases de música. Los valores están expresados como medias (entre paréntesis se encuentra la desviación estándar).
Discusión
El objetivo de este trabajo fue evaluar el efecto de clases musicales receptivas y activas sobre la memoria emocional de niños en edad preescolar. Se tenían varias predicciones posibles en relación a la memoria y su interacción con la música. Los principales resultados indican que la información emocional se recuerda en mayor medida que la neutra en este tipo de población, acorde a la población adulta, y que el patrón mnésico fue modulado por las clases musicales a las que acudieron los niños.
En primer lugar, es relevante resaltar que se encuentra documentado en la literatura que es dificultoso para los niños pequeños evaluar la valencia y arousal de las imágenes con el sistema utilizado mayormente en investigación (SAM; Bradley et al., 1992). Debido a ello decidimos emplear un sistema de caras para evaluar estas medidas. En relación a la valencia el mismo fue altamente efectivo ya que los niños discriminaron correctamente las imágenes para cada una de las valencias emocionales estudiadas. Las imágenes emocionales positivas por encima de las neutras y éstas por encima de las negativas, y este correcto uso del sistema para evaluar valencia fue observado en los 3 tiempos de evaluación para cada grupo.
En relación al arousal, las imágenes positivas fueron más activantes que las neutras, quedando con un nivel de activación medio las imágenes negativas, aunque en el Post2 tanto las negativas como las positivas fueron más activantes que las neutras. Aquí se esperaba encontrar que las imágenes negativas y positivas fueran más activantes que las neutras (lo hallado en el Post2), no fue el caso (ni para la LB ni para el Post1) por lo cual el sistema de caras para arousal, si bien resultó efectivo en líneas generales, necesitaría de mayor investigación para poder evaluar arosual efectivamente. Una posible explicación es que para evaluar valencia se utilizaron 3 caras mientras que para evaluar arousal 5. Podría ser que los niños encuentren más simple la evaluación con 3 ítems que con 5 por lo cual resultó más efectivo el sistema para valencia que arousal ya que se encuentra documentado que antes de los 9 años de edad las respuestas que dan los niños es de “todo o nada” dejando de lado los intermedios (Solomon et al., 2012). Sin embargo, se requeriría mayor cantidad de estudios para poder dar cuenta de estos fenómenos. Es relevante recalcar que podría pensarse que hubo un efecto de aprendizaje a lo largo de las diferentes medidas, ya que los niños en el Post2 o Post1 en comparación con la LB valoraron más acertadamente las imágenes, tanto en valencia como arousal, por ende, en futuros estudios deberían emplearse otros estímulos para realizar la evaluación post intervención musical y de ese modo eliminar posibles sesgos debidos al aprendizaje.
En relación al efecto reportado por la literatura en vasta cantidad de investigaciones, de que las emociones repercuten en el posterior recuerdo de la información, hallamos que las imágenes negativas fueron mayormente recordadas que las neutras y que las positivas, tanto para la medida inmediata como diferida en la LB (la cual sería la medida sin que entren en juego las intervenciones musicales). Hubo un sesgo hacia un procesamiento negativo lo cual se encuentra en línea con la literatura existente (Alexander et al., 2010; Leventon, Stevens, & Bauer, 2014;Van Bergen et al., 2015). La información negativa es recordada por sobre lo positivo ya que lo negativo induce mayores respuestas fisiológicas, comportamentales y cognitivas (Taylor, 1991). Los estímulos negativos implican un esfuerzo cognitivo, mayor demanda de atención, además son más salientes y complejos (Cordon, Melinder, Goodman, & Edelstein, 2013). Las experiencias de vida negativas son más fuertes y duraderas y tienen mayor impacto en comparación a las positivas (Sheldon, Ryan, & Reis, 1996). Desde una perspectiva evolutiva los eventos negativos deberían ser mayormente recordados para evitar futuros peligros (Vaish, Grossmann, & Woodward, 2008).
Una de las hipótesis que manejamos al principio del estudio es que debido al mayor compromiso que se tiene al realizar una clase activa musical (Zatorre et al., 2007) los niños con este tipo de intervención tendrían un rendimiento superior que el de los niños que tenían las clases de tipo receptivas. Sin embargo, esta hipótesis no fue corroborada. Los niños con las clases receptivas tuvieron un mayor recuerdo que los niños con las clases activas. Tanto en el recuerdo inmediato como diferido, siendo más notorio el efecto en esta última medida ya que en la LB los niños con clases receptivas se encontraban rindiendo de modo inferior a los niños con clases activas y sin embargo luego de las clases este patrón fue revertido.
En relación al reconocimiento diferido se observa un patrón similar en donde los niños con clases receptivas reconocieron mayor cantidad de imágenes que los niños con clases activas. Dando cuenta de que la intervención receptiva sobresalió por sobre la activa, también para esta medida de memoria. También en estas medidas es relevante destacar el efecto de aprendizaje, en el recuerdo libre inmediato recordaron más en los Post1 y Post2 que la línea de base y en el reconocimiento diferido reconocieron más cantidad de imágenes en Post2 que LB (aunque este patrón no se observó para el reconocimiento inmediato ni recuerdo diferido).
Escuchar música y hacer actividades bajo la modalidad receptiva presenta efectos en dominios cognitivos no musicales ya que se estimulan constantemente diferentes áreas cerebrales al procesar las diversas dimensiones de la música y el sonido. De esta forma, y teniendo en cuenta los contenidos curriculares de la clase de música receptiva, ante las actividades de aprendizaje y reconocimiento tímbrico, de variaciones de estructuras temporales, intensidades sonoras, motivos melódicos, entre otros, se estarían activando áreas del lóbulo temporal y frontal (Justel & Diaz Abrahan, 2012) lo que podría explicar el efecto que tiene este tipo de intervención en funciones como la memoria.
Por otra parte, los resultados que respaldan el efecto del entrenamiento musical o propuestas de tipo activas en la memoria están asociados a una mejora de la memoria verbal sin encontrar resultados positivos en la modalidad visual (Ho, Cheung, & Chang, 2003; Roden, Kreutz, & Bongard, 2012). El presente trabajo se focalizó en una memoria de tipo emocional con contenido visual. Si bien el resultado sigue la línea de los datos obtenidos en la literatura, estos hallazgos inconclusos nos plantean interrogantes sobre la efectividad de este tipo de propuestas en otras funciones cognitivas. Es importante recalcar que el número de muestra utilizado puede ser considerado pequeño por lo cual sería interesante estudiar qué sucedería con un número mayor de participantes. Futuros estudios podrían dilucidar estos interrogantes.
Como se mencionó en la introducción, la literatura existente da cuenta del efecto que el estudio musical tendría en diversas funciones cognitivas y se diferencia entre transferencia cercana o lejana. En este estudio se ve una transferencia de aprendizaje desde las clases de música hacia la memoria de contenido emocional, es decir una transferencia lejana. Esto se debe a que la evaluación se llevó a cabo sobre los efectos de las clases en un dominio general y no sobre un dominio particular del estudio musical, como la discriminación de tonos o destrezas manuales. Sería relevante en futuros estudios poder evaluar otros tipos de memoria, como por ejemplo la memoria verbal así como otras funciones cognitivas, para poder generalizar los resultados hacia otros dominios. Además, en el presente estudio se trabajó con un intervalo de aprendizaje musical de 10 semanas, sería interesante poder evaluar qué sucede con otros intervalos de tiempo, ya que hay estudios que muestran que cuanto mayor es el entrenamiento musical mayores son los efectos reportados (Schlaug et al., 2009).
La investigación acerca del efecto de la estimulación musical receptiva y activa desde la infancia temprana no ha sido vastamente estudiada. La investigación en esta temática podría proveer una base empírica para definir prácticas apropiadas que potencien la aplicación del entrenamiento musical desde los primeros años de vida, con el objetivo de influir positivamente en el desarrollo académico-social de las personas (Gorey, 2001; Ramey, C. & Ramey, S., 2004). Al identificar estrategias que pudieran mejorar la calidad de la enseñanza en la infancia temprana, se contribuye a auscultar el potencial de la educación musical como agente de integración para que, utilizando su contenido estrictamente pedagógico-musical, impacte en el desarrollo evolutivo de los niños. El aporte del presente trabajo es contribuir a este corpus de prácticas que sean mínimamente invasivas y altamente aceptadas por los participantes que permitan potenciar el funcionamiento cognitivo. Conjuntamente a esto se espera contribuir a los esfuerzos internacionales para lograr avances en la investigación sobre la educación musical en la edad temprana, creando fundamentos teóricos y empíricos que respalden la redacción y creación de nuevas políticas y programas educativos en esta dirección, garantizando no sólo la educación como un derecho fundamental de la niñez (UNESCO, 1959) sino también la promoción y el desarrollo de factores académicos y sociales (Sharma, Sen, & Gulati, 2008).
Referencias
Alexander, K., O’Hara, K., Bortfeld, H., Anderson, S., Newton, E., & Kraft, R. (2010). Memory for emotional experiences in the context of attachment and social interaction style. Cognitive Development, 25(4), 325-338. doi: 10.1016/j.cogdev.2010.08.022
Arias Gómez, M. (2007). Música y neurología. Neurología, 22(1), 39-45.
Ballarini, F., Martínez, M. C., Pérez, M., Moncada, D., & Viola, H. (2013). Memory in elementary school children is improved by an unrelated novel experience. PLoS ONE, 8(6), e66875. doi:10.1371/journal.pone.0066875
Bergeson, T., & Trehub, S. (2005). Infants’ perception of rhythmic patterns. Music Perception, 23(4), 345-360. doi: 10.1525/mp.2006.23.4.345
Bialystok, E. (2017). The bilingual adaptation: How minds accommodate experience. Psychological Bulletin, 143(3), 233-262. doi: 10.1037/bul0000099.
Bradley, M. M., Greenwald, M. K., Petry, M.C., & Lang, P. J. (1992). Remembering pictures: Pleasure and arousal in memory. Journal of Experimental Psychology: Learning, Memory, and Cognition, 18(2), 379-390. doi:10.1037/0278-7393.18.2.379
Cahill, L., & McGaugh, J. L. (1995). A novel demonstration of enhanced memory associated with emotional arousal. Consciousness and Cognition, 4(4), 410-421. doi: 10.1006/ccog.1995.1048
Cahill, L., & McGaugh, J. L. (1998). Mechanisms of emotional arousal and lasting declarative memory. Trends in Neuroscience, 21(7), 294-299. doi: 10.1016/S0166-2236(97)01214-9
Cheung, M., Chan, A.S., Liu, Y., Law, D., & Wong, C. (2017) Music training is associated with cortical synchronization reflected in EEG coherence during verbal memory encoding. PLoS ONE 12(3): e0174906. Doi: 10.1371/journal.pone.0174906
Christie, G. J., Hamilton, T., Manor, B. D., Farb, N. A. S., Farzan, F., Sixsmith, A., … Moreno, S. (2017). Do lifestyle activities protect against cognitive decline in aging? A Review. Frontiers in Aging Neuroscience, 9, 381. doi:10.3389/fnagi.2017.00381
Cordon, I., Melinder, A., Goodman, G., & Edelstein, R. (2013). Children’s and adults’ memory for emotional pictures: Examining age-related patterns using the Developmental Affective Photo System. Journal of Experimental Child Psychology, 114(2), 339-356. doi: 10.1016/j.jecp.2012.08.004
Gaser, C., & Shlaug, G. (2003). Brain structures differ between musicians and nonmusicians. The Journal of Neuroscience, 23(27), 9240-9245. doi: 10.1016/S10538119(01)92488-7
Gerry, D., Unrau, A., & Trainor L. J. (2012). Active music classes in infancy enhance musical, communicative and social development. Developmental Science 15(3), 398–407. doi: 10.1111/j.1467-7687.2012.01142.x
Gooding, L. F., Abner, E. L., Jicha, G. A., Kryscio, R. J., & Schmitt, F. A. (2015). Musical training and late-life cognition. American Journal of Alzheimers Disease and Other Dementias, 29(4), 333–343. doi:10.1177/1533317513517048
Gorey, K. M. (2001). Early childhood education: A meta-analytic affirmation of the short and long term benefits of educational opportunity. School Psychology Quarterly, 16(1), 9-30. doi: 10.1521/scpq.16.1. 9.19163
Hallam, S. (2010). The power of music: Its impact on the intellectual, social and personal development of children and young people. International Journal of Music Education, 28(3), 269-289. doi: 10.1177/0255761410370658
Ho, Y., Cheung, M., & Chang, A. (2003). Music training improves verbal but not visual memory: Cross-sectional and longitudinal explorations in children. Neuropsychology, 3(17), 439-450. doi: : 10.1037/0894-4105.17.3.439
Justel, N., Abrahan, V., Castro, C. & Rubinstein, W. (2016). Efecto de la música sobre la memoria emocional verbal. Anuario de Psicología, XXII.
Justel, N., & Diaz Abrahan, V. (2012). Plasticidad cerebral: Participación del entrenamiento musical. Suma Psicológica, 19(2), 97-108. doi: 10.14349/sumapsi2012.1234
Justel, N., & Rubinstein, W. (2013). La exposición a la música favorece la consolidación de los recuerdos. Boletín de Psicología, 109, 73-83.
Kleber, B., Friberg, A., Zeitouni, A., & Zatorre, R. (2016). Experience-dependent modulation of right anterior insula and sensorimotor regions as a function of noise-masked auditory feedback in singers and nonsingers. NeuroImage, 147, 97-110. doi: 10.1016/j.neuroimage.2016.11.059
Lang, P. J., Bradley, M. M., & Cuthbert, B. N. (1995). International affective picture system (IAPS): Affective ratings of pictures and instruction manual. Technical Report A-6. Gainesville, FL: University of Florida.
Leventon, J., Stevens, J., & Bauer, P. (2014). Development in the neurophysiology of emotion processing and memory in school-age children. Developmental Cognitive Neuroscience, 10, 21-33. doi: 10.1016/j.dcn.2014.07.007
McGaugh, J. L., & Roozendaal, B. (2009). Emotional hormones and memory modulation. Encyclopedia of Neuroscience, 933-940. doi: 10.1016/B978-008045046-9.00849-4
McIntyre, C., McGaugh, J. L., & Williams, C. (2012). Interacting brain systems modulate memory consolidation. Neuroscience and Biobehavioral Reviews, 36(7), 1750-1762. doi:10.1016/j.neubiorev.2011.11.001
Miendlarzewska, E. A., & Trost, W. J. (2014). How musical training affects cognitive development: rhythm, reward and other modulating variables. Frontiers in Neuroscience, 7:279. doi: 10.3389/fnins.2013.00279
Moreno, S., & Besson, M. (2006). Musical training and language-related brain electrical activity in children. Psychophysiology, 43, 287–291. doi: 10.1111/j.1469-8986.2006.00401.x
Musiek, F. E., Shinn, J. B., Jirsa, R., Bamiou, D. E., Baran, J. A., & Zaida, E. (2005). GIN (Gaps-In-Noise) test performance in subjects with confirmed central auditory nervous system involvement. Ear Hear, 26(6), 608-618. doi: 10.1097/01.aud.0000188069.80699.41
Norman, J. E., Rutkowsky, J., Bodine, S., & Rutledge, J. C. The potential mechanisms of exercise-induced cognitive protection: A literature review. Current Pharmaceutical Design (in press). doi: 10.2174/1381612824666180406105149.
Norton, A., Winner, E., Cronin, K., Overy, K., Lee, D. J., & Schlaug, G. (2005). Are there pre-existing neural, cognitive, or motoric markers for musical ability? Brain and Cognition, 59(2), 124-134. doi: 10.1016/j.bandc.2005.05.009
Otgaar, H., Candel, I., & Merckelbach, H. (2008). Children’s false memories: Easier to elicit for a negative than for a neutral event. Acta Psychologica, 128(2), 350-354. doi: 10.1016/j.actpsy.2008.03.009
Ramey, C. T., & Ramey, S. L. (2004). Early learning and school readiness: Can early intervention make a difference? Merrill-Palmer Quarterly, 50(4), 471-491. doi: 10.1353/mpq.2004.0034
Roden, I., Kreutz, G., & Bongard, S. (2012). Effects of a school-based instrumental music program on verbal and visual memory in primary school children: A longitudinal study. Frontiers in Psychology, 3, 572. doi: 10.3389/fpsyg.2012.00572
Rodrígues, S.M., Schafé, G.E., & LeDoux, J.E. (2004). Molecular mechanisms underlying emotional learning and memory in the lateral amygdala. Neuron, 44(1), 75-91. doi:10.1016/j.neuron.2004.09.014
Roozendaal, B., & McGaugh, J.L. (2011). Memory modulation. Behavioral neuroscience, 125(6), 797-824. doi: 10.1037/a0026187
Schlaug, G., Forgeard, M., Zhu, L., Norton, A., Norton, A., & Winner E. (2009). Training-induced neuroplasticity in young children. The neuroscience and Music III: Disorders and plasticity. Annals of the New York Academy of Sciences, 1169, 205-208. doi: 10.1111/j.1749-6632.2009.04842.x.
Schlaug, G., Norton, A., Overy, K., & Winner, E. (2005). Effects of music training on the child’s brain and cognitive development. Annals of New York Academy of Sciences, 1060(1), 219-230. doi: 10.1196/annals.1360.015.
Schomaker, J., & Meeter, M. (2015). Short- and long-lasting consequences of novelty, deviance and surprise on brain and cognition. Neuroscience and Biobehavioral Reviews, 55, 268-279. doi: 10.1016/j.neubiorev.2015.05.002 0149-7634
Shahin, A. (2011). Neurophysiological Influence of Musical Training on Speech Perception. Frontiers in Psychology, 2:126, doi: 10.3389/fpsyg.2011.00126. ISSN=1664-1078.
Sharma, A., Sen, R. S., & Gulati, R. (2008). Early childhood development policy and programming in India: Critical issues and directions for paradigm change. International Journal of Early Childhood, 40(2), 65-83. doi: 10.1007/BF03165840
Sheldon, K. M., Ryan, R. M., & Reis, H. T. (1996). What makes for a good day? Competence and autonomy in the day and in the person. Personality & Social Psychology Bulletin, 22(12), 1270–1279. doi: 10.1177/0146167296221007
Solomon, B., DeCicco, J., & Dennis, T. (2012). Emotional picture processing in children: An ERP study. Developmental Cognitive Neuroscience, 2(1), 110-119. doi: 10.1016/j.dcn.2011.04.002
Soria-Urios, G., Duque, P., & García-Moreno, J. M. (2011). Música y cerebro: fundamentos neurocientíficos y trastornos musicales. Neurología, 52, 45-55.
Strong, J., & Mast, B. (2018): The cognitive functioning of older adult instrumental musicians and non-musicians. Aging, Neuropsychology, and Cognition. A Journal on Normal and Dysfunctional Development, 8, 1-20. doi: 10.1080/13825585.2018.1448356
Taylor, S. E. (1991). Asymmetrical effects of positive and negative events: The mobilization–minimization hypothesis. Psychological Bulletin, 110(1), 67–85. doi: 10.1037/0033-2909.110.1.67
Trainor, L., & Corrigal, K. (2010). Music acquisition and effects of musical experience. Music Perception, Springer Handbook of Auditory Research 36, doi 10.1007/978-1-4419-6114-3_4
UNESCO (1959). Declaration of the Rights of the Child. International Social Work, 3, 12-13.
Vaish, A., Grossmann, T., & Woodward, A. (2008). Not all emotions are created equal: The negativity bias in social-emotional development. Psychological Bulletin, 134(3), 383-403. doi: 10.1037/0033-2909.134.3.383
Van Bergen, P., Wall, J., & Salmon, K. (2015). The good, the bad, and the neutral: The influence of emotional valence on young children’s recall. Journal of Applied Research in Memory and Cognition, 4(1), 29-35. doi: 10.1016/j.jarmac.2014.11.001
Zatorre, R., Chen, J., & Penhune, V. (2007). When the brain plys music: auditory-motor interaction in music perception and production. Nature Reviews Neuroscience 8(7), 547–558, doi:10.1038/nrn2152