Preparación física

Recepción: 16 Marzo 2018
Aprobación: 10 Noviembre 2018
DOI: https://doi.org/10.5672/apunts.2014-0983.es.(2019/3).137.05
Resumen: Objetivo. Comparar las demandas cinemáticas de jugadoras internacionales de hockey sobre hierba durante partidos de competición oficial. Material y métodos. Dieciséis jugadoras (edad: 24.7 ± 2.8 años; peso: 57.9 ± 5.9 kg; altura: 165.2 ± 4.9 cm) pertenecientes a la selección absoluta española fueron monitorizadas mediante sistemas de posicionamiento global (GPS) durante 5 partidos del Campeonato de Europa. Los análisis fueron llevados a cabo en función de la demarcación de las jugadoras (defensas, medias y delanteras), de los cuartos de juego (C1, C2, C3, C4), y en base a los minutos jugados. Los datos analizados incluyeron distancias, aceleraciones y desaceleraciones en diferentes rangos de intensidad. Resultados. Las defensas presentaron menor actividad a alta intensidad (velocidades, aceleraciones y desaceleraciones) que medias y delanteras (9.4 ± 2.4%; TE: 0.78 con las medias y 33.1 ± 7.2%; TE: 2.1, con las defensas). El análisis por cuartos mostró que en el C4 la actividad fue mayor para todas las demarcaciones. En cuanto a minutos jugados, el análisis clúster agrupó a las jugadoras en 3 grupos en función de los minutos jugados (< 32, 32-45 y > 45 minutos). Las deportistas que jugaron < 32 cubrieron mayor distancia a esprint (> 21 km/h) y distancia a alta intensidad (> 15 km/h) por minuto de juego en comparación con el grupo de > 45 min jugados. Conclusiones. Los resultados de este estudio muestran que las demandas físicas en jugadoras de élite de hockey dependen de la demarcación en el campo, con mayor actividad en el último cuarto y con menor actividad cinemática de alta intensidad relativa en las jugadoras que acumulan más minutos durante el partido.
Palabras clave: GPS, deportes colectivos, análisis del movimiento, análisis de la competición.
Abstract: Objective. To compare the kinematic demands on international women field hockey players during official competition matches. Materials and methods. Sixteen women players (age: 24.7±2.8; weight: 57.9±5.9 kg; height: 165.2±4.9 cm) belonging to the Spanish national team were monitored during 5 matches of the European Championship using global positioning systems (GPS). The analyses were carried out according to the players’ positions (defenders, midfielders and forwards), the quarters in the game (Q1, Q2, Q3, Q4), and the number of minutes played. The data analysed included distances, accelerations and decelerations in different intensity ranges. Results. The defenders showed less high-intensity activity (speeds, accelerations and decelerations) than midfielders and forwards (9.4±2.4%; ES: 0.78 with the midfielders and 33.1±7.2%; ES: 2.1, with the defenders). The analysis by quarters showed that in Q4 activity was the highest for all positions. In terms of the number of minutes played, the cluster analysis grouped the players into 3 groups according to the number of minutes played (<32, 32-45 and >45 minutes). The athletes who played <32 covered the greatest distance at a sprint (>21 km/h) and high-intensity distance (>15 km/h) per minute of play compared to the group who played >45 minutes. Conclusions. The results of this study show that the physical demands on élite women hockey players depend on their position on the field, and that there is more activity in the last quarter and less relative high-intensity kinematic activity among the players who play more minutes during the match.
Keywords: GPS, team sports, movement analysis, competition analysis.
Introducción
El hockey sobre hierba es un deporte olímpico en el que participan 11 jugadores por equipo normalmente categorizados en función de la demarcación ocupada en el terreno de juego en portero, defensas, medias y delanteros. Como otros deportes de equipo, se caracteriza por una intensidad variable en la que se alternan periodos de esfuerzo y de recuperación de forma iterativa, con un alto componente técnico-táctico ofensivo y defensivo y en el cual las jugadoras requieren de ciertas cualidades físicas (capacidad y potencia aeróbico-anaeróbica, de esprint, aceleración, desaceleración, cambios de dirección, por mencionar algunas) para rendir con éxito (Elferink-Gemser, Starkes, Medic, Lemmink y Visscher 2011;Gabbett, 2010).
Debido al incremento en la utilización de sistemas de posicionamiento global (GPS) para el análisis y la cuantificación de cargas en deportes outdoor (Cummins, Orr, O’Connor y West, 2013; Sweeting, Cormack, Morgan y Aughey, 2017), el conocimiento de las demandas físicas competitivas en este deporte está aumentando en los últimos años (McGuinness, Malone, Petrakos y Collins, 2017). El estudio de las demandas de la competición permite tener referencias para ayudar a optimizar el estado de preparación de los deportistas. Esta información sirve de punto de partida a la hora de gestionar las cargas de trabajo, el diseño de tareas en situaciones de entrenamiento (Gabbett, 2010; Holmes, Robinson y Peters, 2006;Johnston, Sproule, McMorris y Maile, 2004), o en el proceso de return to play (Blanch y Gabbett, 2016), por mencionar algunas de las aplicaciones prácticas (McGuinness, et al., 2017; Vescovi y Frayne, 2015).
Los principales resultados de estudios previos mostraban que los minutos jugados (MJ) se veían reflejados en ciertas variables cinemáticas, como el total de la distancia recorrida o la distancia recorrida a alta velocidad (ambas variables con valores mayores a más MJ), por citar algunos de los más populares (Vescovi y Frayne, 2015). Por otro lado, también se observaban demandas diferentes en función de las demarcaciones de juego (rol técnico-táctico), que tradicionalmente se clasifican en porteras, defensas, medias y delanteras, excluyéndose a las porteras en la mayoría de los estudios realizados acerca de las demandas de la competición. En este sentido, Macutkiewicz y Sunderland (2011) fueron los primeros en observar que las delanteras pasan más tiempo realizando movimientos de alta intensidad (8% respecto al tiempo total) en comparación con las medias y defensas (6% y 5%, respectivamente). Más recientemente, y tras el último cambio de reglamento, McGuinness et al. (2017) mostraron en su análisis con jugadoras profesionales que, independientemente de la demarcación, las deportistas jugaban una media de 44 min, lo que suponía un ≈60% del total, en el cual recorrieron una media de 5540 ± 521 m totales. La distancia a alta velocidad supuso el 11% del total, y un 2% fue recorrido a esprint (>20 km/h). Las defensas fueron las que mayores distancias totales recorrieron en comparación con delanteras y medias (5696 ± 530 m, 5369 ± 578 m y 5555 ± 456 m, respectivamente). Sin embargo, las delanteras recorrieron más distancia relativa (minutos jugados), cuando se comparó con defensas y medias (70 - 131 m/min, 79 - 114 m/min, 79 - 129 m/min, respectivamente) (Gabbett, 2010; Macutkiewicz y Sunderland, 2011; McGuinness et al., 2017; Vescovi y Frayne, 2015).
Sin embargo, la evolución del deporte ha estado ligada en todos los sentidos (técnico-táctica y física) a los cambios en el reglamento, entre los que destacan el número de cambios permitidos (evolucionando hasta ser ilimitados), la introducción del autopase y los cambios en los tiempos de juego (Gabbett, 2010; Macutkiewicz y Sunderland, 2011;McGuinness, Malone, Hughes y Collins, 2018;White y MacFarlane, 2013). La última actualización de la Federación Internacional estableció que un partido competitivo oficial internacional pasaba de una estructura de 2 tiempos de 35 min a 4 cuartos de 15 min de duración cada uno de ellos (FIH, 2014). Los estudios realizados desde el último cambio de reglamento son escasos, pero permiten aproximarse al conocimiento acerca de las exigencias físicas de este deporte en jugadoras de nivel internacional. En este sentido, McGuinness et al. (2018), han sido los únicos hasta la fecha en analizar la demanda cinemática de competición en el formato de tiempo distribuido en cuartos. De media, las jugadoras recorrieron 4847 ± 583 m (127.6 ± 15.6 m/min), siendo un 12% completado a alta velocidad (>16 km/h). Se obtuvieron diferencias en función de la demarcación ocupada por las jugadoras en la línea de los estudios previos, y una disminución de la distancia recorrida a alta velocidad a lo largo de los cuartos concomitante a un incremento de la distancia a velocidad moderada (8.0-15.9 km/h).
Entre estas demandas, la investigación en deportes de este tipo evoluciona hacia un análisis cada vez más preciso gracias también al desarrollo de la propia tecnología, lo que lleva a incluir aceleraciones y desaceleraciones a diferentes rangos de intensidad como una variable que muestra relación con el impacto generado en el organismo del deportista. De forma concreta, la actividad de la creatina quinasa, la percepción de dolor muscular y de rendimiento neuromuscular y fatiga en deportes como el fútbol (Akenhead, Harley y Tweddle, 2016;Akenhead, Hayes, Thompson y French, 2013;Varley, Lewin, Needham, Thorpe y Burbeary, 2017) parecen ser respuestas sensibles a este tipo de actividad. En hockey sobre hierba femenino, posiblemente por el menor número de estudios que se pueden encontrar y la tecnología usada, no se hallan hasta la fecha análisis que contemplen estas variables.
A pesar de que España es Top 11 en el ranking mundial (FIH, 2017), el hockey femenino sigue siendo mayoritariamente amateur en España, por lo que el acceso a esta tecnología no siempre está al alcance de todos los equipos o clubes. Por tanto, el objetivo del estudio fue comparar las demandas cinemáticas de la competición en hockey sobre hierba femenino de nivel internacional, atendiendo a la demarcación de las jugadoras, a los cuartos del partido y a los minutos jugados en competición.
Metodología
Dieciséis jugadoras integrantes de la selección nacional de hockey sobre hierba de España participaron en el estudio (peso corporal 57.9 ± 5.9 kg; talla 165.2 ± 4.9 cm; edad 24.8 ± 2.8, internacionalidades 108.3 ± 56.4). Todas las jugadoras fueron notificadas del diseño de investigación y de sus requerimientos, beneficios y riesgos, aportando todas las participantes el consentimiento informado. Los datos utilizados en este trabajo surgieron de la monitorización de las jugadoras durante la competición. Por lo tanto, no se requirió autorización del comité de ética (Winter y Maughan, 2009). El estudio se ajustó a las recomendaciones de la Declaración de Helsinki.
Participantes
Procedimiento
Las jugadoras fueron monitorizadas durante 5 partidos del Campeonato Europeo de 2017 celebrado en Holanda (n = 50 casos), de estos, tres partidos correspondían a la fase de grupos y dos a la disputa para los puestos entre el 5º y el 8º. Para el análisis por demarcaciones se agruparon a las jugadoras en defensas (n = 4, 10 casos), medias (n = 6, 19 casos) y delanteras (n = 6, 21 casos); se utilizó el tiempo total del partido (60 min) y de cada uno de los cuartos del partido (C1, C2, C3 y C4) de 15 min de duración cada uno. Se analizó la actividad de las jugadoras en campo (tiempo activo de juego), excluyendo los periodos de descanso entre cuartos o cuando las jugadoras se encontraban en el banquillo, ya fuera por decisión técnica o por tarjetas de expulsión temporal. Los partidos se jugaron con periodos de descanso de 24-48 h entre partidos.
La monitorización cinemática se realizó mediante el uso de dispositivos GPS (GPS, SPI ELITE, GPSport, Fyshwick, Australia) que operan con una frecuencia de muestreo de 10 Hz y que incorporan un acelerómetro a 100 Hz. La fiabilidad y validez de este dispositivo ha sido estudiada previamente (Scott, Scott y Kelly, 2016). Cada deportista llevó un chaleco con un bolsillo colocado en la parte superior de la espalda donde se ubicó el GPS. Los datos de cada unidad fueron posteriormente descargados a un ordenador portátil mediante el software Team AMS software (v.R1.215.3) y firmware de la mesa de descarga v2.03B. El número de satélites conectados fue de 10.6 ± 1.2 durante la celebración de los partidos.
Las variables registradas para su posterior análisis fueron las siguientes: los minutos jugados (min; MJ), la distancia total (m; DT), la velocidad pico alcanzada (km/h), la distancia recorrida a alta intensidad (DAI: >15 km/h), la distancia recorrida y el número de esprints (>21 km/h), el número de aceleraciones (Ace) y desaceleraciones (Des), clasificados en 3 categorías de intensidad: i) baja (Z1: 1-1.9 m/s2), ii) moderada (Z2: 2-2.9 m/s2), y iii) alta intensidad (Z3: >3 m/s2). Todas las variables, a excepción de la velocidad pico, fueron expresadas de forma absoluta y de forma relativa a los minutos de juego (m/min o n/min). Además, se estableció la ratio trabajo: descanso (T:D), dividiendo la distancia recorrida >6 km/h / distancia <6 km/h.
Análisis de los datos
Se realizó un análisis descriptivo de todo el conjunto de datos, presentados como medias y desviaciones estándar (±DE), con el 95% de intervalo de confianza (IC) y el tamaño del efecto (TE). El análisis de las diferencias por demarcaciones y por cuartos se realizó mediante un análisis de la varianza (ANOVA) de doble vía (demarcaciones x cuartos). Se llevó a cabo un análisis de conglomerados (cluster analysis) para establecer grupos según la variable de minutos jugados. Los umbrales para los TE fueron < 0.2; 0.2-0.6 (trivial), 0.6-1.2 (pequeño),
1.2-2.0 (moderado), 2.0- 4.0 (grande) y 2.0-4.0 (muy grande) (Hopkins, 2002). Todos los análisis estadísticos fueron realizados utilizando el paquete estadístico SPSS 18.0 para iOS. El nivel de significación admitido fue de p < .05.
Resultados
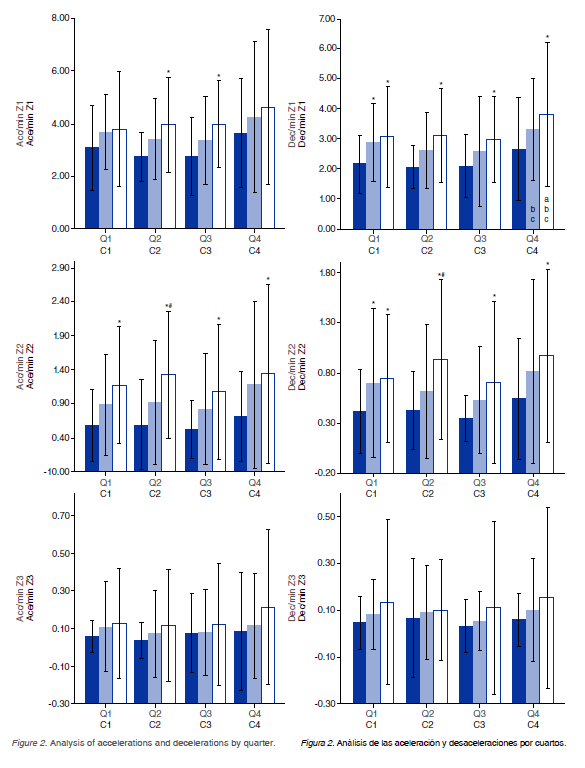
La distancia total recorrida fue un 8.8% mayor para las delanteras con respecto a las medias (TE: 0.7) y un 18.9% mayor con respecto a las defensas (TE: 0.9). La distancia a alta intensidad (>15 km/h) también fue mayor para las delanteras que para las medias (9.4 ± 2.4%; TE: 0.78) y defensas (33.1 ± 7.2%; TE: 2.1), mientras que la distancia a sprint (>21 km/h) muestra valores mayores en las delanteras respecto a las defensas 41.19 ± 21.4%; TE: 1.05) (figura 1). Las variables representativas de esfuerzos neuromusculares (Ace, Dec) relativas al tiempo de juego también fueron mayores para las delanteras con respecto a las medias (23.9 ± 12.2%; TE: 0.8) y defensas (50.4 ± 24.4 %; TE: 0.99-1.6) sobre todo las que ocurren en la Z2 (figura 2). El ratio T:D también fue mayor para delanteras y medias en comparación a las defensas (36.4 ± 5.3; TE: 1.4 y 35.4 ± 4.9; TE: 0.7, respectivamente).
En cuanto al análisis por cuartos, todas las demarcaciones mostraron una distancia relativa al tiempo jugado mayor en el C4 (21.7-27.3%) que en el resto de los cuartos (TE: 0.7-1.2). La distancia recorrida a alta intensidad también fue superior en el C4 con respecto al C2 y C3 (TE: 0.6-1.25), aunque no con respecto al C1 (TE: 0.1-0.4) (figura 1). El número de esprints completados fue mayor en el C4, con respecto al resto de cuartos (25 ± 13.7 %), aunque solo para las medias (TE: 0.7-0.9). El número de Des/min completadas en la Z1 fueron mayores en C4 que en el resto de los cuartos, tanto para las medias (TE: 0.9) como para las delanteras (TE: 0.6-0.7), aunque no fue así en el caso de las defensas (figura 2).
Finalmente, se realizó un análisis clúster en el que se agrupó a las jugadoras en función de los MJ. Como resultado, se obtuvieron 3 grupos: i) < 32 min (media: 30.4 ± 1.7), ii) entre 32 y 45 min (media: 38.6 ± 4.2), y iii) > 45 min (media: 50.1±5.2). Las jugadoras pertenecientes a los grupos 1 y 2 cubrieron mayor distancia a esprint (TE: 1.9 y 1.2) y DAI/min (TE: 2.1 y 1.1) en comparación con el grupo 3. La distancia relativa fue mayor para el grupo 1, en comparación con los grupos 2 y 3 (tabla 1). Mostrando un 13.1 ± 6.7 % más respecto al grupo 2 y un 19.9 ± 8.9 % más con respecto al grupo 3



En cuanto a las variables neuromusculares, las Des/min en Z2 mostraron ser menores para el grupo 3 (1.36 ± 0.46; TE: 1.23), así como las aceleraciones (163.3 ± 23.81; TE: 1.63 y 1.22) y desaceleraciones (120.2 ± 24.94; TE: 1.06) absolutas en Z1. El ratio T:D también mostró el mismo comportamiento (2.3 ± 0.58; TE: 1.26). No se observaron diferencias en el resto de las variables.
Discusión
El principal objetivo del trabajo fue comparar las demandas cinemáticas de la competición en hockey sobre hierba femenino de nivel internacional, atendiendo a la demarcación de las jugadoras, a los cuartos del partido y a los minutos jugados en competición. Los principales hallazgos de este estudio han sido que (a) para todas las variables analizadas se observan diferencias entre demarcaciones; (b) la distancia recorrida por minuto en el C4, independientemente de la demarcación de juego, es mayor que en los cuartos precedentes y (c) las jugadoras agrupadas en menor número de MJ realizan mayor actividad cinemática relativa al minuto de juego.
A pesar de que la comparación con otros trabajos publicados en la literatura es complicada, debido a diferentes técnicas de análisis de los desplazamientos (Randers et al., 2010) o diferentes dispositivos GPS utilizados (Buchheit et al., 2014), los valores encontrados en este trabajo son más elevados que los reportados por la literatura hasta la fecha. Así, la distancia recorrida por minuto de práctica es un 15-20% superior respecto a la aportada por McGuinness et al. (2017) y un 35-50% superior respecto a los datos aportados por Vescovi y Frayne (2015). Además de las posibles diferencias existentes debidas a las diferentes herramientas utilizadas, el formato del partido (4 cuartos vs. 2 partes) o el nivel de las deportistas podrían justificar dichas diferencias.
Respecto a las demandas posicionales cabe destacar que las demandas cinemáticas mostradas por las defensas son significativamente inferiores respecto a las jugadoras medias y delanteras, lo que coincide con anteriores trabajos (McGuinness et al., 2017; Vescovi y Frayne, 2015). La distancia recorrida relativa fue alrededor de un 20% mayor en delanteras con respecto a defensas en el primer, segundo y tercer cuarto y también alrededor de un 13% mayor en medias en comparación a las defensas en el segundo cuarto. Los estudios más actuales reportaron también que las delanteras y medias mostraban un 13% más de distancia recorrida relativa al minuto de práctica respecto a las defensas (McGuinness et al., 2018). En el presente estudio las diferencias entre delanteras y defensas se acentúan más, hasta un 35% en la distancia recorrida relativa.
Las DAI y esprint también parecen ser demarcaciones dependientes. En este trabajo, las defensas presentan valores significativamente más bajos para la mayoría de las variables estudiadas respecto a las medias y especialmente respecto a las delanteras, siendo estas últimas los que presentan los valores más elevados en estas variables. Estos resultados parecen apoyar los hallazgos previos, con menor cantidad de desplazamientos a alta velocidad y esprint en defensas, independientemente del género de los deportistas (Vescovi y Frayne, 2015). Sin embargo, dichas diferencias en acciones realizadas a alta velocidad de desplazamiento y esprint no han sido reportadas en todos los trabajos (McGuinness et al., 2017). En este sentido, posiblemente para estudiar la actividad que las jugadoras realizan en el campo es necesario expresar las demandas en función del tiempo de juego en campo, y no hacerlo de esta manera puede justificar la ausencia de diferencias entre la exigencia a jugadoras de diferentes demarcaciones en trabajos anteriores (McGuinness et al., 2018). Además, es importante tener en cuenta que la comparación con otros trabajos es difícil debido a las diferencias existentes en los umbrales de velocidad que categorizan los desplazamientos (Cummins et al., 2013), la no individualización de estos rangos en función de las características individuales de las participantes (Sweeting et al., 2017) y los diversos dispositivos de medida y criterios temporales utilizados en la monitorización de los desplazamientos de las deportistas (Malone, Solan, Hughes y Collins, 2017).
El tiempo jugado puede ser una variable que influya en la intensidad del juego (Carling, Espié, Le Gall, Bloomfield y Jullien, 2010; Dellal, Lago-Penas, Wong y Chamari, 2011; Malone et al., 2017; Russell, Sparkes, Northeast y Kilduff, 2015). De forma similar a lo encontrado en trabajos previos (McGuinness, et al., 2017; Vescovi y Frayne, 2015) el número de minutos de juego para las jugadoras que ocupan la demarcación de defensa fue significativamente mayor respecto a las medias y delanteras, siendo estas últimas las que en menor cantidad de minutos participan (Vescovi y Frayne. 2015). Estudios en otros deportes como el fútbol muestran menor intensidad en partido cuando existen prórrogas (Russell et al., 2015), además del descenso de la intensidad en situaciones de juegos reducidos cuando se alarga la duración de la repetición (Carling et al., 2010). Recientemente también se ha reportado cómo la intensidad de los periodos más demandantes de la competición disminuye a medida que aumenta la duración temporal del análisis en diferentes deportes colectivos (Delaney, Thornton, Burgess, Dascombe y Duthie, 2017;Delaney, Thornton, Rowell et al., 2017). Se entiende, por tanto, que esta diferencia en el número de minutos encontrado en función de la posición ocupada por las jugadoras influye directamente en la intensidad de juego, resultando por tanto un aspecto clave en la preparación de las deportistas para la competición.
Respecto a la comparación entre diferentes cuartos cabe destacar que no se ha observado una disminución en la actividad de las jugadoras a medida que avanza el partido. De hecho, para la mayoría de las variables la tendencia es la contraria, con mayores valores encontrados en el último cuarto respecto a los anteriores. De forma concreta, las delanteras en el último cuarto juegan un periodo de tiempo significativamente mayor respecto al resto de periodos, obteniendo los valores de mayor distancia y DAI por minuto de juego. Sin embargo, otros trabajos encontraron una disminución en la actividad desarrollada por las jugadoras durante la segunda parte de entre el 4% (McGuinness, et al., 2017) y el 7-9% (Vescovi y Frayne. 2015), o una disminución de la DAI frente a un aumento de la distancia recorrida a intensidad moderada a lo largo de los cuartos (McGuinness, et al., 2018).
Una explicación a estos resultados podría ser el alto nivel de rendimiento de las participantes (jugadoras internacionales). Quizás mayores niveles de condición física permitirían a las jugadoras satisfacer las demandas del juego sin que la actividad realizada suponga una fatiga que no sean capaces de gestionar. Por tanto, la aplicación de estos resultados a otros contextos competitivos debe ser cautelosa, puesto que la tendencia temporal en la actividad cinemática puede ser diferente. El aumento en la actividad encontrado en el C4 se puede ver afectado por el marcador (Spencer et al., 2005). Quizás debido a que los marcadores fueron cercanos, la actividad cinemática se aumentó hacia el final del partido de cara a conseguir la victoria. Sin embargo, esta hipótesis se debe desarrollar en futuros trabajos.
Cuando se tienen en cuenta los minutos jugados a través del análisis clúster se observa que existen diferencias significativas para las variables relativas de distancia a esprint, distancia total y DAI, mostrando mayor intensidad el grupo de menor número de minutos jugados. Además, los mayores valores de intensidad (m/min) en el grupo de menor cantidad de minutos jugados muestran diferencias significativas. Por el contrario, en los valores de carga las jugadoras que acumulan más minutos jugados presentan valores más elevados, debido posiblemente al mayor volumen. Cabe destacar que no existen delanteras que acumulen más de 45 min de partido, ni defensas con menos de 32 min. Parece, por tanto, que no es una mayor duración de juego por parte de las defensas la que explica los descensos en la intensidad de juego, con participaciones de media de 15 min más respecto a las delanteras.
Algunas de las principales limitaciones de este estudio se refieren al número de partidos estudiados y a la ausencia de información de carga interna y técnico/táctica. Conocer la repercusión en el organismo de la actividad desarrollada por las jugadoras permitiría el cálculo de índices de eficiencia cardiovascular, pudiendo estudiar su evolución a lo largo del partido y realizar comparaciones entre demarcaciones. Además, información sobre el número de ocasiones en las que cada jugadora participa en campo, así como de la duración de cada participación y entre-participaciones, podrían aportar más datos sobre la densidad de los esfuerzos que se llevan a cabo durante la práctica del hockey femenino internacional.
Aplicaciones prácticas
Los técnicos deben tener presente que existen claras diferencias entre demarcaciones que deben tenerse en cuenta a la hora de diseñar las tareas, tanto técnico-tácticas como de carácter condicional en el proceso de entrenamiento. Además, diferencias en el volumen de minutos y carga acumulada durante los partidos deberían orientar en la gestión de cargas de entrenamiento. Por otro lado, es importante considerar que las estrategias utilizadas en las rotaciones pueden influir en la carga externa, en caso de un torneo a nivel internacional con partidos consecutivos esta información puede ser tenida en cuenta para planificar el sistema. Un estudio reciente parece indicar que, a mayor nivel del rival, mayores son las demandas cinemáticas en liga doméstica, por lo que la información sobre las rotaciones podría valorarse también para su aplicación (Vinson, Gerrett y James, 2017).
El sistema de cuartos implantado recientemente en el hockey sobre hierba parece tener efecto también en la alta intensidad mantenida hasta el final (último cuarto), lo que obliga a diseñar estrategias de recuperación adecuadas para ayudar al deportista a mantener el rendimiento (hidratación, suplementación. etc.).
Conclusiones
Los resultados de este estudio muestran que las demandas físicas en jugadoras de élite de hockey dependen de la demarcación en el campo, con mayor actividad en el último cuarto y con menor actividad cinemática por minuto de juego en las jugadoras que acumulan más minutos durante el partido.
Conflicto de intereses
Las autorías no han comunicado ningún conflicto de intereses.
Referencias
Akenhead, R., Harley J., & Tweddle, S. (2016). Examining the external training load of an English Premier League football team with special reference to acceleration. Journal of Strength and Conditioning Research, 30(9), 2424-2432. doi:10.1519/JSC.0000000000001343
Akenhead, R., Hayes, P. R., Thompson, K. G. , & French, D. (2013). Diminutions of acceleration and deceleration output during professional football match play. Journal of Science and Medicine in Sport, 16(6). 556-561. doi:10.1016/j.jsams.2012.12.005
Blanch, P., & Gabbett, T. J. (2016). Has the athlete trained enough to return to play safely? The acute: Chronic workload ratio permits clinicians to quantify a player’s risk of subsequent injury. British Journal of Sports Medicine, 50(8), 471-475. doi:10.1136/bjsports-2015-095445
Buchheit, M., Haddad, H., Simpson, B., Palazzi, D., Bourdon, P., Salvo, V., & Mendez-Villanueva, A. (2014). Monitoring accelerations with GPS in football: Time to slow down? International Journal of Sports Physiology and Performance, 9(3). 442-445. doi:10.1123/ijspp.2013-0187
Carling, C., Espié, V., Le Gall, F., Bloomfield, J., & Jullien, H. (2010). Work-rate of substitutes in elite soccer: A preliminary study. Journal of Science and Medicine in Sport, 13(2). 253-255. doi:10.1016/j.jsams.2009.02.012
Cummins, C., Orr, R., O’Connor, H., & West, C. (2013). Global positioning systems (GPS) and microtechnology sensors in team sports: A systematic review. Sports Medicine, 43(10), 1025-1042. doi:10.1007/s40279-013-0069-2
Delaney, J., Thornton, H., Burgess, D., Dascombe, B., & Duthie, G. (2017). Duration-specific running intensities of Australian football match-play. Journal of Science and Medicine in Sport, 20(7), 689-694. doi:10.1016/j.jsams.2016.11.009
Delaney, J., Thornton, H., Rowell, A., Dascombe, B., Aughey, R., & Duthie, G. (2017). Modelling the decrement in running intensity within professional soccer players. Science and Medicine in Football, 2(2), 86-92. doi:10.1080/24733938.2017.1383623
Dellal, A., Lago-Penas, C., Wong, D., & Chamari, K. (2011). Effect of the number of ball contacts within bouts of 4 vs. 4 small-sided soccer games. International Journal of Sports Physiology and Performance, 6(3), 322-333. doi:10.1123/ijspp.6.3.322
Elferink-Gemser, M., Starkes, J., Medic, N., Lemmink, K., & Visscher, C. (2011). What descriminates elite and sub-elite youth field hockey players? Annals of Research in Sport and Physical Activity, 49-68. doi:10.14195/2182-7087_1_3
FIH. (2014). Rules of hockey including explanations. Lausanne, Switzerland.
FIH. (2017). Women’s World Ranking. Recuperado de http://www.fih.ch/rankings/outdoor/
Gabbett, T. (2010). GPS analysis of elite women’s field hockey training and competition. The Journal of Strength & Conditioning Research, 24(5), 1321-1325. doi:10.1519/JSC.0b013e3181ceebbb
Holmes, L., Robinson, P., & Peters, D. (2006). How hard do they work? A work rate analysis of elite level women’s hockey. En World Congress of Performance Analysis of Sport VII, 23rd -26th August 2006, Szombathely, Hungary.
Hopkins, W. (2002). A scale of magnitudes for effect statistics: A new view of statistics. Recuperado de http://www.sportsci.org/resource/stats/effectmag.html
Johnston, T., Sproule, J., McMorris, T., & Maile, A. (2004). Time- motion analysis and heart rate response during elite male field hockey competition versus training. Journal of Human Movement Studies, 46(3), 189-203.
Macutkiewicz, D., & Sunderland, C. (2011). The use of GPS to evaluate activity profiles of elite women hockey players during match-play. Journal of Sports Sciences, 29(9), 967-973. doi:10.1080/02640414.2011.570774
Malone, S., Solan, B., Hughes, B., & Collins, K. (2017). Duration specific running performance in elite Gaelic football. The Journal of Strength & Conditioning Research. doi:10.1519/JSC.0000000000001972
McGuinness, A., Malone, S., Hughes, B., & Collins, K. (2018). The physical activity and physiological profiles of elite international female field hockey players across the quarters of competitive match-play. The Journal of Strength & Conditioning Research. Publicación anticipada en línea. doi:10.1519/JSC.0000000000002483
McGuinness, A., Malone, S., Petrakos, G., & Collins. K. (2017). The physical and physiological demands of elite international female field hockey players during competitive match-play. The Journal of Strength & Conditioning Research. Publicación anticipada en línea. doi:10.1519/JSC.0000000000002158
Randers, M., Mujika, I., Hewitt, A., Santisteban, J., Bischoff, R., Solano, R., … Mohr, M. (2010). Application of four different football match analysis systems: A comparative study. Journal of Sports Sciences, 28(2), 171-182. doi:10.1080/02640410903428525
Russell, M., Sparkes, W., Northeast, J., & Kilduff, L. (2015). Responses to a 120 min reserve team soccer match: A case study focusing on the demands of extra time. Journal of Sports Sciences, 33(20), 2133-2139. doi:10.1080/02640414.2015.1064153
Scott, M., Scott, T., & Kelly, V. (2016). The validity and reliability of global positioning systems in team sport: A brief review. The Journal of Strength & Conditioning Research, 30(5), 1470-1490. doi:10.1519/JSC.0000000000001221
Spencer, M., Rechichi, C., Lawrence, S., Dawson, B., Bishop, D., & Goodman, C. (2005). Time-motion analysis of elite field hockey during several games in succession: A tournament scenario. Journal of Science and Medicine in Sport, 8(4), 382-391. doi:10.1016/S1440-2440(05)80053-2
Sweeting, A., Cormack, S., Morgan, S., & Aughey, R. (junio, 2017). When is a sprint a sprint? A review of the analysis of team-sport athlete activity profile. Frontiers in Physiology, 8(432). doi:10.3389/fphys.2017.00432
Varley, I., Lewin, R., Needham, R., Thorpe, R., & Burbeary, R. (2017). Association between match activity variables. Measures of fatigue and neuromuscular performance capacity following elite competitive soccer matches. Journal of Human Kinetics, 60(1), 93-99. doi:10.1515/hukin-2017-0093
Vescovi, J., & Frayne, D. (2015). Motion characteristics of division I college field hockey: Female athletes in motion (FAiM) study. International Journal of Sports Physiology and Performance, 10(4), 476-481. doi:10.1123/ijspp.2014-0324
Vinson, D., Gerrett, N., & James, D. (junio, 2017). Influences of playing position and quality of opposition on standardized relative distance covered in domestic women’s field hockey: Implications for coaches. The Journal of Strength & Conditioning Research, 32(6). doi:10.1519/JSC.0000000000002049
White, A., & MacFarlane, N. (2013). Time-on-pitch or full-game GPS analysis procedures for elite field hockey? International Journal of Sports Physiology and Performance, 8(5), 549-555. doi:10.1123/ijspp.8.5.549
Winter, E., & Maughan, R. (agosto, 2009). Requirements for ethics approvals. Journal of Sports Sciences, 10. doi:10.1080/ 026404 10903178344