Secciones
Referencias
Resumen
Servicios
Descargas
HTML
ePub
PDF
Buscar
Fuente


Asymptotic analysis of Sturm-Liouville problem with Robin and two-point boundary conditions
Šturmo ir Liuvilio uždavinio su Robino ir dvitaške kraštine˙mis sąlygomis asimptotine˙ analize˙
Lietuvos matematikos rinkinys, vol. 63 Ser. A, pp. 9-18, 2022
Vilniaus Universitetas

Articles


Recepción: 01 Julio 2022

Publicación: 10 Diciembre 2022

DOI: https://doi.org/10.15388/LMR.2022.29692

Abstract: Weanalyzetheinitialvalueproblemandgetasymptoticexpansionsforsolution. We investigate the characteristic equation for Sturm–Liouville problem with one classical Robin type boundary condition and another two-point nonlocal boundary condition. Finally, we obtain asymptotic expansions for eigenvalues and eigenfunctions.

Keywords: Sturm–Liouville problem, Robin condition, two-point nonlocal conditions, asymptotics of eigenvalues and eigenfunctions.

Summary: A. Štikonas

Mes analizuojame pradin˛i uždavini˛ ir gauname jo sprendinio asimptotinius skleidinius. Mes tiriame Sturmo ir Liuvilio uždavini˛ su su viena klasikine Robino tipo kraštine sąlyga ir kita dvitaške nelokalia kraštine sąlyga. Galiausiai gauname tikriniu˛ reikšmiu˛ ir tikriniu˛ funkciju˛ asimptotinius skleidinius.

Keywords: Šturmo ir Liuvilio uždavinys, Robino sąlyga, dvitaške˙s nelokaliosios sąlygos, tikriniu˛ reikšmiu˛ ir tikriniu˛ funkciju˛ asimptotika.

Introduction

Consider the following one-dimensional Sturm–Liouville equation

u " ( t ) + q ( t ) u ( t ) = λ u ( t ) , t [ 0 , 1 ]

where the real-valued function q C [ 0 , 1 ] ; λ = s 2 is a complex spectral parameter and s = x + ι y ; x , y . We will use the notation Q ( t ) = 1 2 0 t q ( τ ) d τ .

In this article S s : = s U s + U s , where s : = s U s + , U s 0 s : = { s = x + ι y : x = 0 , y > 0 } , s + : = { s = x + ι y : x > 0 , y = 0 } , s 0 : = { s = 0 } , s + : = { s = x + ι y : x > 0 , y > 0 } and s : = { s = x + ι y : x > 0 , y < 0 } .

Then a map λ = S 2 is the bijection between s and λ : = .

We shall investigate Sturm–Liouville Problem (SLP) which consist of equation (1) on [ 0 , 1 ] with one classical (local) Robin type Boundary Condition (BC)

cos α u ( 0 ) + sin α u ' ( 0 ) = 0 , α ( 0 , π ) ,

and another two-point Nonlocal Boundary Condition (NBC)

( C a s e 1 ) u ' ( 1 ) = γ u ( ξ ) , ξ [ 0 , 1 ] ,

( C a s e 2 ) u ' ( 1 ) = γ u ' ( ξ ) , ξ [ 0 , 1 ) ,

( C a s e 2 ) u ( 1 ) = γ u ( ξ ) , ξ [ 0 , 1 ) ,

where γ . We consider the Dirichlet and the Neumann BC:

( C a s e d ) u ( 0 ) = 0 ,

( C a s e n ) u ' ( 0 ) = 0 ,

too. The Sturm–Liouville problem (1), (4d), (33) was investigated in [2], the Sturm–Liouville problem (1), (4n), (3) was investigated in [4].

1 Asymptotic expansions for Initial Value Problem

In this section we present some statements about solution of IVP. These statements were proved in [3]. We will use them for investigation asymptotic expansions for SLP (1)–(3). Additionally, we introduce some notation related to our asymptotical analysis of this problem.

Let λ = s 2 , s s and w α s ( t ) be a solution of equation (1) satisfying the initial conditions

w α s ( 0 ) = sin α , w α s ' ( 0 ) = cos α .

The function w ( t , s , α ) = w α s ( t ) is an analytic (holomorphic) function of s and this function satisfies boudary condition (2). We denote φ s ( t ) = φ o s ( t ) : = w ( t , s , 0 ) and ψ s ( t ) = φ 1 , s ( t ) = w ( t , s , π / 2 ) .

Under the condition that q r [ 0 , 1 ] , r 0 : = U { 0 } , asymptotic expansions may be obtained for φ s ( t ) [3] and ψ s ( t ) [4]. We will use recursive formula

p i + 1 0 ( t ) = 1 2 0 t q ( τ ) p i 0 ( τ ) d τ j = 2 + i ( q p j - 1 0 ) ( i j ) ( t ) + ( 1 ) i ( q p j 1 0 ) ( i j ) ( 0 ) 2 i j + 2

Lemma 1.(See [3, Lemma 7]) Let s s and q C r [ 0 , 1 ] . Then for | S | q 0 we have the asymptotic expansions

( φ s ) s ( l ) ( t , s ) = p j ( t ) cos l j = 1 r + 1 ( s t + π 2 ( j l ) ) s j + O ( s ( r + 2 ) e ( r + 2 ) | y | t ) ,

( φ s ' ) s ( l ) ( t , s ) = j = 0 r p j l cos ( s t + π 2 ( j l ) ) s j + O ( s ( r + 1 ) e ( r + 2 ) | y | t )

for l 0 , where p 1 k ( t ) = t p 1 k 1 ( t ) , p i k ( t ) = ( 1 i ) p i 1 k 1 ( t ) t p i k 1 ( t ) , i = 2 , r + 1 , p 0 - k ( t ) = t p 0 k 1 ( t ) , p i k ( t ) = ( 1 i ) p i 1 k 1 ( t ) t p i k 1 ( t ) , = 1 , r k , p i 0 ( t ) = p i 0 ' ( t ) p i + 1 0 ( t ) , i = 1 , r , p 0 0 ( t ) = 1 , and p j 0 ( t ) is calculated by (6) i = 1 , r ,with p 1 0 ( t ) = 1 .

Lemma 2. (See [4, Lemma 9].) Let S s and q r [ 0 , 1 ] . Then for | s | q 0 we have the asymptotic expansions

( ψ s ) s ( l ) ( t , s ) = p j l ( t ) cos ( s t + π 2 ( j l ) s j + O ( s ( r + 1 ) e ( r + 2 ) | y | t ) j = 0 r

( ψ s ' ) s ( l ) ( t , s ) = j = 1 r 1 p j l cos ( s t + π 2 ( j l ) s j + O ( s r e ( r + 2 ) | y | t )

for l 0 . Where p 0 k ( t ) = t p 0 k 1 ( t ) , p i k ( t ) = ( 1 i ) p i 1 k 1 ( t ) t p i k 1 ( t ) , i = 1 , r , p 1 k ( t ) = t p 1 k 1 ( t ) , p i k ( t ) = ( 1 i ) p i 1 k 1 ( t ) t p i k 1 ( t ) , i = 0 , r 1 , k , p i 0 ( t ) = p i 0 ' ( t ) p i + 1 0 ( t ) , i = 0 , r 1 , p 1 0 ( t ) = 1 and p j 0 ( t ) is calculated by (6) for i = 0 , r 1 with p 0 0 ( t ) = 1 .

Remark 1. (See [3, Lemma 7], [4, Lemma 7].) In the case q C [ 0 , 1 ] and l = 0 we have the asymptotic expansions:

φ s ( t ) = sin ( s t ) s 1 + O ( s 2 e | y | t ) , ψ s ( t ) = cos ( s t ) + O ( s 1 e | y | t ) ,

φ s ' ( t ) = cos ( s t ) + O ( s 1 e | y | t ) , ψ s ' ( t ) = s sin ( s t ) + O ( e | y | t ) .

Remark 2. In the case q 1 [ 0 , 1 ] and l = 0 we have the asymptotic expansions

φ s ( t ) = sin ( s t ) s 1 + Q ( t ) cos ( s t ) s 2 + O ( s 3 e 3 | y | t ) ,

ψ s ( t ) = cos ( s t ) + Q ( t ) sin ( s t ) s 1 + O ( s 2 e 3 | y | t ) ,

φ s ' ( t ) = cos ( s t ) Q ( t ) sin ( s t ) s 1 + O ( s 2 e 3 | y | t ) ,

ψ s ' ( t ) = s sin ( s t ) + Q ( t ) cos ( s t ) + O ( s 1 e 3 | y | t ) ,

where Q ( t ) = 1 2 0 t q ( τ ) d τ .

We can calculate the first functions p j l and p j l in Case d (for function φ ):

p 1 0 = 1 , p 2 0 = Q ( t ) , p 3 0 = 1 2 ( Q ( t ) ) 2 1 4 q ( t ) + 1 4 q ( 0 ) ,

p 1 1 = t , p 2 1 = 1 t Q ( t ) , p 1 2 = t 2 ,

p 0 0 = 1 , p 1 0 = Q ( t ) , p 2 0 = 1 2 ( Q ( t ) ) 2 + 1 4 q ( t ) 1 4 q ( 0 ) ,

p 0 1 = t , p 1 1 = t Q ( t ) , p 0 2 = t 2 ;

and in Case n (for function ψ ):

p 0 0 = 1 , p 1 0 = Q ( t ) , p 2 0 = 1 2 ( Q ( t ) ) 2 + 1 4 q ( t ) 1 4 q ( 0 ) ,

p 0 1 = t , p 1 1 = t Q ( t ) , p 0 2 = t 2 ,

p 1 0 = 1 , p 0 0 = Q ( t ) , p 1 0 = 1 2 ( Q ( t ) ) 2 + 1 4 q ( t ) + 1 4 q ( 0 ) ,

p 1 1 = t , p 0 1 = 1 + t Q ( t ) , p 1 2 = t 2 .

We will use an additional index to distinguish cases: p j d , l ( t ) , p j d , l ( t ) (Case d), p j n , l ( t ) , p j n , l ( t ) (in Case n).

The following integral equation holds [1,5]:

w α s ( t ) 1 s 0 t q ( τ ) sin ( s ( t τ ) ) w α s ( τ ) d τ = sin α cos ( s t ) cos α sin ( s t ) s .

If α = 0 , then the solution of this integral equation is φ s , if α = π / 2 , then the solution of this integral equation is ψ s . By superposition principle we have

w α s ( t ) = cos α . φ s ( t ) + sin α . ψ s ( t ) .

So, we get asymptotic expansions for function w α s .

Lemma 3. Let s s and q C r [ 0 , 1 ] . Then for | s | q 0 we have the asymptotic expansions

( w α s ) s ( l ) ( t , s ) = j = 0 r p j l ( t ) cos ( s t + π 2 ( j l ) ) s j + O ( s ( r + 1 ) e ( r + 2 ) | y | t )

( w α s ' ) s ( l ) ( t , s ) = p j l ( t ) cos ( s t + π 2 ( j l ) ) s j j = 1 r 1 + O ( s r e ( r + 2 ) | y | t ) )

for l 0 , where

Remark 3. Formulas (15)–(16) are valid for α = 0 , but in (7)–(8) we have more accurate the asymptotic expansions with

p j d , l ( t ) cos ( s t + π 2 ( r + 1 l ) ) s ( r + 1 ) + O ( s ( r + 2 ) e ( r + 2 ) | y | t ) ,

p j d , l ( t ) cos ( s t + π 2 ( r l ) ) s r + O ( s ( r + 1 ) e ( r + 1 ) | y | t ) ,

instead O ( s ( r + 1 ) e ( r + 2 ) | y | t ) and O ( s r e r + 2 ) | y | t ) in (13)–(14).

Corollary 1. If q C [ 0 , 1 ] and α ( 0 , π ) , then we have asymptotic expansions:

w α s ( t ) = sin α · cos ( s t ) + O ( s 1 e | y | t ) , w α s ' ( t ) = sin α · sin ( s t ) s + O ( e | y | t ) .

Corollary 2.If q C 1 [ 0 , 1 ] and α ( 0 , π ) , then we have asymptotic expansions:

w α s ( t ) = sin α . cos ( s t ) + ( cos α + sin α Q ( t ) ) sin ( s t ) s 1 + O ( s 2 e 3 | y | t ) ,

w α s ( t ) = sin α . sin ( s t ) s + ( cos α + sin α Q ( t ) ) cos ( s t ) + O ( s 1 e 3 | y | t ) .

Lemma 4.Let x s + , δ , q C s [ 0 , 1 ] , Q j ( x ) , j = 1 , r , are bounded functions.

If s = x + δ ,

δ = j = 1 r Q j ( x ) x j + O ( x ( r + 1 ) ) ,

then we have the following equations

w α s ( t ) = R j ( t , x ) x j j = 0 r + O ( x ( r + 1 ) ) , w α s ' ( t ) = R j ( t , x ) x j j = 1 r 1 + O ( x r ) ,

where

R 0 ( t , x ) = sin α · R 0 n ( t , x ) , R j ( t , x ) = cos α · R j d ( t , x ) + sin α · R j n ( t , x ) , j = 1 , r ,

R 1 ( t , x ) = sin α · R 1 n ( t , x ) , R j ( t , x ) = cos α · R j d ( t , x ) + sin α · R j n ( t , x ) , j = 0 , r 1 ,

and functions

m = 0 , r .

Proof. The proof follows from (12) and asymptotic expansions for φ s ( t ) [3,Corollary 2] and ψ s ( t ) [4,Corollary2].

Remark 4. In the case α = 0 we have more accurate the asymptotic expansions

φ s ( t ) = R j d ( t , x ) x j j = 1 r + 1 + O ( x ( r + 2 ) ) , φ s ' ( t ) = R j d j = 0 r ( t , x ) x j + O ( x ( r + 1 ) ) .

Corollary 3. If q C [ 0 , 1 ] and α ( 0 , π ) , then we have asymptotic expansions:

w α s ( t ) = sin α · cos ( x t ) + O ( x 1 ) , w α s ' ( t ) = sin α · sin ( x t ) x + O ( 1 ) .

Corollary 4.If q C 1 [ 0 , 1 ] and α ( 0 , π ) , then we have asymptotic expansions:

w α s ( t ) = sin α . cos ( x t ) + ( cos α + sin α ( Q ( t ) t Q 1 ( x ) ) ) sin ( x t ) x 1 + O ( x 2 ) ,

w α s ' ( t ) = sin α . sin ( x t ) x + ( cos α + sin α ( Q ( t ) t Q 1 ( x ) ) ) cos ( x t ) + O ( x 1 ) .

2 Asymptotic expansions for characteristic equations

Substituting w α s ( t ) into (3) we get the characteristic equation

h α ( s ) : = w α s ' ( 1 ) γ w α s ( ξ ) = 0 ,

h α ( s ) : = w α s ' ( 1 ) γ w α s ' ( ξ ) = 0 ,

h α ( s ) : = w α s ( 1 ) γ w α s ( ξ ) = 0 .

Let’s define functions:

h 1 l ( s ) : = p 1 l ( 1 ) sin ( s π 2 l ) = ( 1 ) l 1 sin α sin ( s π 2 l ) ,

h j l ( s ) : = γ p j l ( ξ ) cos ( ξ s + π 2 ( j l ) ) p j l ( 1 ) cos ( s + π 2 ( j l ) ) , j = 0 , r 1 ,

h j l ( s ) : = γ p j l ( ξ ) cos ( ξ s + π 2 ( j l ) ) p j l ( 1 ) cos ( s + π 2 ( j l ) ) , j = 1 , r 1 ,

h j l ( s ) : = γ p j l ( ξ ) cos ( ξ s + π 2 ( j l ) ) p j l ( 1 ) cos ( s + π 2 ( j ) ) , j = 0 , r ,

where functions p j l and p j l are defined by formulas (15) – (16). For example,

h 1 0 ( s ) = sin α sin s , h 1 1 ( s ) = sin α cos s ,

h 0 0 ( s ) = ( sin α Q ( 1 ) cos α ) cos s sin α γ cos ( ξ s ) ,

h 1 0 ( s ) = sin α ( sin s γ sin ( ξ s ) ) , h 1 1 ( s ) = sin α ( cos s γ ξ cos ( ξ s ) ) ,

h 0 0 ( s ) = ( sin α Q ( 1 ) cos α ) cos s ( sin α Q ( ξ ) cos α ) γ cos ( ξ s ) ,

h 0 0 ( s ) = sin α ( cos s γ cos ( ξ s ) ) , h 0 1 ( s ) = sin α ( sin s γ ξ sin ( ξ s ) ) ,

h 1 0 ( s ) = ( sin α Q ( 1 ) cos α ) sin s ( sin α Q ( ξ ) cos α ) γ sin ( ξ s ) .

We will use the notation: ρ = 1 , a k : = ( k 1 / 2 ) π in Cases 1 , 2 ; ρ = 0 , a k : = ( k 1 ) π in Cases 3 , k .

Lemma 5.Suppose | γ | < 1 in Cases 2 and 3. Then | h ρ 0 ( a k + ι y ) | κe | y | , κ > 0 .

Proof. In Case 1 we have

| h 1 0 ( a k + ι y ) | = sin α | sin ( a k + ι y ) | = sin α | sin a k cos h y + ι cos a k sin h y ) | = sin α cos h y sin α e | y | / 2 .

From inequalities

| sin s γ sin ( ξ s ) | ( | sin x | | γ | | sin ( ξ s ) | ) cos h y ( | sin x | | γ | ) cos h y ,

| cos s γ cos ( ξ s ) | ( | cos x | | γ | | cos ( ξ s ) | ) cos h y ( | cos x | | γ | ) cos h y

we get (in Cases 2 and 3)

| h ρ 0 ( a k + ι y ) | sin α ( 1 | γ | ) cos h y sin α ( 1 | γ | ) e | y | / 2 .

Lemma 6. Suppose | γ | < 1 in Cases 2 and 3. There exists B > 0 such that | h ρ 0 ( s ) | κe | y | , k > 0 for | y | B .

Proof. We estimate

| sin s γ sin ( ξ s ) | | sin s | | γ | | sin ( ξ s ) | sin h | y | | γ | cos h ( ξ y ) ,

| cos h s γ cos ( ξ s ) | | cos s | | γ | | cos ( ξ s ) | sin h | y | | γ | cos h ( ξ y ) .

For | γ | < 1 we have

lim y + ( sin h y | γ | cos h ( ξ y ) ) e y = 1 2 ( 1 | γ | . ξ 1 2 ( 1 | γ | ) > 0 .

So, in Cases 2 and 3 there exists B > 0 such that

| h ρ 0 ( s ) | 1 4 sin α ( 1 | γ | ) e | y | .

for | y | B . The proof in Case 1 repeats the proof in Case 2 with γ = 0 .

Lemma 7.Let s s and q C r [ 0 , 1 ] . Then for | s | q 0 the asymptotic expansion

h α ( l ) ( s ) = h j l ( s ) s j + O ( s ( r + 1 + ρ ) e ( r + 2 ) | y | ) j = ρ r + ρ

is valid, l 0 .

Proof. The proof for α ( 0 , π ) is the same as in case α = π / 2 [4,see Lemma11].

Remark 5. In the case q C [ 0 , 1 ] we have (see Corollary 1) the asymptotic expansion

h α ( s ) = h ρ 0 ( s ) s ρ + O ( s ( 1 + ρ ) e | y | ) .

Remark 6. If α = 0 (the problem (1), (4d), (3)) formula (21) is valid with ρ = 0 in Cases 1, 2; ρ = 1 in Case 3, and

h 0 0 ( s ) = cos s , h 0 1 ( s ) = sin s ,

h 0 0 ( s ) = γ cos ( ξ s ) cos s , h 0 1 ( s ) = sin s γ ξ sin ( ξ s ) ,

h 1 0 ( s ) = γ sin ( ξ s ) sin s , h 1 1 ( s ) = γ ξ cos ( ξ s ) cos s .

So, if α = 0 , then Lemma 5 and Lemma 6 are valid for the problem (1), (4d), (3) with ρ = 0 , α k = k π , k , in Cases 1 and 2, ρ = 0 , α k = ( k 1 / 2 ) π , k , in Case 3.

Let us consider positive s = x > 0 , q C r [ 0 , 1 ] . We investigate equation h α ( x + δ ) = 0 , δ , with additional condition

| h ρ 1 ( x ) | κ > 0

Lemma 8.Suppose | γ | < 1 in Cases 2 and 3. If h ρ 0 ( x ) = 0 , then (24) is valid. The constant κ is the same for all such x.

Proof. In Case 1 if h 1 0 ( x ) = sin α sin x = 0 , then x = x k = k π , k and | h 1 1 ( x k ) | = | sin α cos x k | = sin α > 0 .

In Case 2 we have equation h 1 0 ( x ) = sin α ( sin x γ sin ( ξ x ) ) . If x k are the root of equation x γ sin ( ξ x ) = 0 , then we get [2, see Lemma 4 and Corollary 3] that | h 1 1 ( x k ) | = | sin α ( cos x k γ ξ cos ( ξ x ) ) | sin α | cos x k γ ξ cos ( ξ x k ) | sin α . k = κ 0 .

In Case 3 we have equation h 0 0 ( x ) = sin α ( cos x γ cos ( ξ x ) ) . If x k are the root of equation cos x γ cos ( ξ x ) = 0 , then we get [2, see Lemma 5] that | h 0 1 ( x k ) | sin α | sin x k γ ξ sin ( ξ x k ) | sin α ( | sin x k | | γ | . | sin ( ξ x k ) | ) sin α . k = κ > 0 .

Remark 7. Lemma 4 and Lemma 5 in [2] were proved for ξ ( 0 , 1 ) , but it is easy to see, that they are valid for ξ = 0 too. So, Lemma 8 is proved for all ξ (see (3)).

Remark 8. If α = 0 then Lemma 8 is valid with ρ = 0 Cases 1 and 2, ρ = 1 in Case 3. The proof is the same.

Let’s denote the function

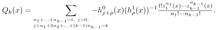
Q 1 ( x ) = h 1 + ρ 0 ( x ) ( h ρ 1 ( x ) ) - 1

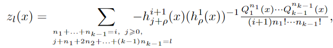
If functions Q 1 , . . . , Q k 1 are defined, then we can find functions

l = 1 , k 1 and function

If q C 1 [ 0 , 1 ] , then

Q 1 ( x ) = ( sin α Q ( 1 ) cos α ) cos x sin α γ cos ( ξ x ) sin α cos x

Q 1 ( x ) = ( sin α Q ( 1 ) cos α ) cos x ( sin α Q ( ξ ) cos α ) γ cos ( ξ x ) sin α ( cos x γ ξ cos ( ξ x ) )

Q 1 ( x ) = ( sin α Q ( 1 ) cos α ) sin x ( sin α Q ( ξ ) cos α ) γ sin ( ξ x ) sin α ( sin x γ ξ sin ( ξ x ) )

Lemma 9. If q C r [ 0 , 1 ] and δ = o ( 1 ) , h ρ 0 ( x ) = 0 , then asymptotic expansion

δ = Q j ( x ) x j j = 1 r + O ( x ( r + 1 ) )

is valid, where Q j ( x ) , j = 1 , r , , are bounded functions.

Proof. The proof can be found in [4, see proof of Lemma 14].

3 Spectral asymptotics for eigenvalues and eigenfunctions

In this section we assume, that | γ | < 1 in Cases 2, 3. Let us denote domains D k = { s : | x | a k , | y | a k } , D s k = s D k , k ( k > 1 in Case 3), contours T s k = s D k , and intervals I k : = ( a k , a k + 1 ) D s , k + 1 D s k , k .

Lemma 10.Suppose | γ | < 1 in Cases 2 and 3. If q C [ 0 , 1 ] , then it follows that the number of zeros of functions h α ( s ) and h ρ 0 ( s ) s ρ is the same inside T s k for sufficiently large k.

Proof. We have (see (22)) h α ( s ) = h ρ 0 ( s ) s ρ + O ( s 1 ρ e | y | ) . Using Lemma 5 and Lemma 6we estimate | O ( s 1 ρ e | y | ) | c 1 | s | 1 ρ e | y | < m i n { k , κ } | s | ρ e | y | | h ρ 0 ( s ) s ρ | on the contours T s k for sufficiently large k. Therefore, by Rouché theorem it follows that the number of zeros of h α ( s ) and h ρ 0 ( s ) s ρ are the same inside T s k for sufficiently large k.

Corollary 5.If q C [ 0 , 1 ] , then it follows that the number of zeros of functions h α ( s ) and h ρ 0 ( s ) is the same between T s k and T s , k + 1 for sufficiently large k.

Remark 9. If α = 0 , then Lemma 10 and Corollary 5 are valid. The proof is the same. In Case 3 s = 0 isn’t zero of the function h 1 0 ( s ) s 1 = γ s 1 sin ( ξ s ) s 1 sin s for | γ | < 1 .

From (19) (and (23) for α = 0 ) we have that function h ρ 0 has only one positive root x k I k , k . For example, x k = π k (and x k = π ( k + 1 / 2 ) for α = 0 ) in Case 1. In Cases 2 and 3 existence of such root follows from [4, Lemma 4 and Lemma 5]. Thus, function h α ( s ) has only one root sk between T s k and T s , k + 1 for sufficiently large k.

In Case 2 ( sin α 0 ) a k = ( k 1 / 2 ) π and

h α ( a k ) = sin α ( sin a k γ sin ( ξ a k ) ) a k + O ( 1 ) = a k sin α ( ( 1 ) k + γ sin ( ξ a k ) + O ( k 2 ) ) .

If | γ | < 1 , then sign ( ( 1 ) k + γ sin ( ξ a k ) + O ( k 1 ) ) = ( 1 ) k s i g n ( h α ( a k ) h α ( a k + 1 ) ) = 1

for sufficiently large k. This formula is valid in Cases 1 and 3. Moreover, it is valid for α = 0 . Then from Intermediate Value Theorem at least one root of the function h α ( s ) lies in I k for sufficiently large k. So, s k is real root for such k.

We have s k x k π k ( a s k ) . Then h α ( s k ) · s k ρ = h ρ 0 ( s k ) + O ( k 1 ) = 0 and lim k h ρ 0 ( s k ) = 0 . The function s k x k a s k or

s k = x k + o ( 1 ) ( a s k ) .

Now we will investigate the distribution of these positive eigenvalues of problem (1)–(3), and we leave out the note about sufficiently large k.

Let us denote δ k = s k x k . We have that δ k = o ( 1 ) .

Theorem 1.Let q C r [ 0 , 1 ] . For eigenvalues λ k = s k 2 and eigenfunctions u k of problem (1)–(3), we have the asymptotic expansions

s k = x k + Q j ( x k ) x k j j = 1 r + O ( k ( r + 1 ) ) ,

u k ( t ) = R j ( t , x k ) x k j j = 0 r + O ( k ( r + 1 ) )

for sufficiently large k.

Proof. We have δ k = o ( 1 ) . So, all conditions of Lemma 9 are valid, and it follows (27).Then we apply Corollary 1 and get (28).

Corollary 6.Let q C [ 0 , 1 ] . For eigenvalues λ k = s k 2 and eigenfunctions u k of problem (1)–(3), the asymptotic equations

s k = x k + O ( k 1 ) , u k ( t ) = R 0 ( t , x k ) + O ( k 1 )

are valid for sufficiently large k, where R 0 ( t , x ) = sin α cos ( x t ) .

Corollary 7.If q C 1 [ 0 , 1 ] , then the asymptotic equations

s k = x k + Q 1 ( x k ) x k 1 + O ( k 2 ) ,

u k ( t ) = R 0 ( t , x k ) + R 1 ( t , x k ) x k 1 + O ( k 2 )

are valid for sufficiently large k, where Q 1 ( x ) is defined by (25) R 0 ( t , x ) = sin α cos ( x t ) , R 1 ( t , x ) = ( cos α + sin α ( Q ( t ) t Q 1 ( x ) ) ) sin ( x t ) .

Remark 10. (See [2].) If α = 0 , then formula (27) and asymptotic expansion

u k ( t ) = R j ( t , x k ) x k j j = 1 r + 1 + O ( k ( r + 2 ) )

are valid for sufficiently large k. If q C [ 0 , 1 ] , then R 1 ( t , x ) = sin ( x t ) . If q C 1 [ 0 , 1 ] , then R 2 ( t , x ) = ( Q ( t ) t Q 1 ( x ) ) ) cos ( x t ) and

Q 1 ( x ) = Q ( 1 ) sin x γ sin ( ξ x ) sin x

Q 1 ( x ) = Q ( 1 ) sin x γ Q ( ξ ) sin ( ξ x ) sin x γ ξ sin ( ξ x )

Q 1 ( x ) = Q ( 1 ) cos x γ Q ( ξ ) cos ( ξ x ) cos x γ ξ cos ( ξ x )

References

[1] B.M. Levitan, I.S. Sargsjan. Sturm–Liouville and Dirac operators. Kluwer, Dordrecht, 1991.

[2] E. Şen, A. Štikonas. Asymptotic distribution of eigenvalues and eigenfunctions of a nonlocal boundary value problem. Math. Model. Anal., 26(2):253–266, 2021. https://doi.org/10.3846/mma.2021.13056.

[3] A. Štikonas, E. Şen. Asymptotic analysis of Sturm–Liouville problem with nonlocal integral-type boundary condition. Nonlinear Anal. Model. Control, 26(5):969–991, 2021. https://doi.org/10.15388/namc.2021.26.24299.

[4] A. Štikonas, E. Şen. Asymptotic analysis of Sturm–Liouville problem with Neumann and nonlocal two-point boundary conditions. Lith. Math. J, 62(4):519–541, 2022. https://doi.org/10.1007/s10986-022-09577-6.

[5] E.C. Titchmarsh. Eigenfunction expansions associated with second-order differential equations. Clarendon Press, Oxford, 1946.

Información adicional

AMS Subject Classification: : 34B24; 34L20; 35R10



Buscar:
Ir a la Página
IR
Visor de artículos científicos generados a partir de XML-JATS4R por