RESUMEN: Las investigaciones relacionadas con el período de retorno de vientos extremos en Cuba contienen un número limitado de estaciones meteorológicas y considera las rachas máximas anuales del viento. En tal sentido, el objetivo de este artículo es evaluar el peligro producido por vientos máximos en Cuba utilizando valores máximos del viento diarios de los registros de estaciones, el cual es cuantificado usando el periodo de retorno, empleando la técnica de “Picos sobre la referencia” para fijar la curva de valores extremos a través de la Distribución Generalizada de Pareto. En el artículo también se presenta una técnica computacional eficiente para la separación de los tipos de viento y el correspondiente cálculo de la curva de PR para los sinópticos y de tormenta con el Intervalo de Confiabilidad para una probabilidad del 95%. Esto es de suma importancia para las autoridades que deben elaborar planes de gestión de riesgos y la incorporación de las medidas requeridas, así como ayuda a la planeación urbana, tratando de evitar el desarrollo de centros urbanos en regiones de alto peligro. En general se encontró que el peligro producido por vientos no huracanados en Cuba es relativamente bajo. También se comprobó que los registros de las estaciones son adecuados para calcular el peligro producido por viento, aunque en algunas estaciones se encontraron errores en la caracterización de las condiciones de tiempo presente, por lo que como parte de este trabajo se implementó una técnica sencilla que permite corregir estos errores.
Palabras clave: Vientos, extremos, período de retorno, análisis estadístico.
ABSTRACT: The researches related to the return period of extreme winds in Cuba contain a limited number of meteorological stations and consider the annual maximum gusts of wind. In this sense, evaluate the danger caused by maximum winds in Cuba is the goal of this article. For that, maximum daily wind values of the station records were use, which is quantified using the return period, using the technique of "Peaks on the Reference" to set the curve of extreme values through the Generalized Pareto Distribution. The article also presents an efficient computational technique for the separation of wind types and the corresponding calculation of the PR curve for the synoptics and storm with the Reliability Interval for a 95% probability. This is important for the authorities that must prepare risk management plans and the incorporation of the required measures, as well as aid for urban planning, trying to avoid the development of urban centers in high risk regions. In general, it was found that the danger caused by non-hurricane winds in Cuba is relatively low. It was also found that the station records are adequate to calculate the danger caused by wind, although in some station’s errors were found in the characterization of the present weather conditions, so as part of this work a simple technique was implemented to correct these errors.
Keywords: Winds, extreme, return period, statistical analysis.
Artículo Original
Estudio del peligro producido por vientos extremos en Cuba
Study of the risk caused by extreme winds in Cuba
Recepción: 23 Marzo 2019
Aprobación: 19 Junio 2019
Los vientos máximos constituyen uno de los principales elementos extremos que se consideran al evaluar el riesgo de desastres de origen natural que pueda enfrentar un país. Con implicación directa en la destrucción de estructuras, devastación de cosechas, y asociados a la ocurrencia de inundaciones costeras o fuertes precipitaciones, pueden traer un panorama desolador en lo referente a pérdidas económicas y de vidas humanas, por lo que su estudio tiene un alto impacto económico y social (Rodríguez, 2010).
Las causas del viento máximo en Cuba fueron agrupadas por Vega et al. (1994) en diferentes categorías, según el tipo de fenómeno meteorológico asociado: los organismos ciclónicos tropicales del Océano Atlántico Norte, los sistemas extratropicales, las tormentas locales (turbonadas), las altas presiones continentales y oceánicas presentes durante todo el año, que pueden generar fuertes brisotes del primer cuadrante, y los fenómenos complejos, que se caracterizan por la acción conjunta de dos sistemas meteorológicos.
La amenaza producida por estos vientos se cuantifica calculando la magnitud y frecuencia con que se repiten los valores extremos. Para esto se utiliza el concepto de Intervalo Promedio de Recurrencia más comúnmente conocido como Periodo de Retorno (PR). El PR es particularmente importante para evaluar la tendencia a largo plazo de los valores extremos, que son los valores de importancia en el estudio del peligro producido por viento.
Vega y varios colaboradores iniciaron desde 1980 una serie de estudios relacionados con los vientos extremos. Una de las primeras investigaciones tuvo como objetivo caracterizar el viento máximo anual en La Habana, exponiendo la Ley de Frechet como modelo estadístico representativo de la variable velocidad máxima del viento, verificándola con los datos de la estación meteorológica de Casablanca (Limia, et al., 1980). Siguiendo esta metodología dichos autores extendieron el estudio para todo el país, donde analizaron el comportamiento de tres distribuciones (Gumbel, Frechet y Log-Normal) de la estación de Casablanca y obtuvieron como resultado que la Ley de Frechet era la más representativa (Vega, et al., 1990).
En la investigación realizada más recientemente se caracterizan las particularidades espaciales del viento máximo en Cuba, a través de un grupo de 16 estaciones meteorológicas agrupadas según la subdivisión del territorio nacional de acuerdo a la frecuencia de ocurrencia de huracanes, realizada por (Ramón, et al., 2008), la cual consta de cuatro regiones, distribuidas a razón de cinco en la región de Muy Alto Peligro, tres en la región de Alto Peligro, seis en la región de Moderado Peligro y dos en la región de Bajo Peligro. De cada una se extrajeron los valores de las rachas máximas anuales del viento y se obtuvieron los valores estimados de las rachas máximas anuales para diferentes períodos de retorno (Rodríguez, 2010).
Sin embargo, esta investigación contiene un número limitado de estaciones meteorológicas y considera las rachas máximas anuales del viento, lo cual pudiera conllevar a que varios valores de un año específico estén por encima del máximo de otro año y sin embargo estos valores no se usarían para ajustar la distribución lo que produciría resultados erróneos, haciéndose necesario ampliar el conocimiento de las particularidades espaciales del viento máximo en Cuba para diversos fines relacionados con la gestión de riesgos.
En tal sentido, el objetivo de este artículo es evaluar el peligro producido por vientos extremos en Cuba utilizando valores máximos diarios de los registros de estaciones de medición del Instituto de Meteorología (INSMET), el cual es cuantificado usando el concepto de Intervalo Promedio de Recurrencia, empleando la técnica de “Picos sobre la referencia” para fijar la curva de valores extremos.
En el artículo también se presenta una técnica computacional eficiente para la separación de los tipos de viento y el correspondiente cálculo de la curva de PR para cada uno de estos.
Para este estudio se cuenta con bases de datos suministradas por el Centro del Clima del INSMET, que contienen el registro de las velocidades del viento cada 3 horas comenzando a las 00 horas (8 observaciones diarias) desde el año 1991 hasta el 2010. Esta base de datos también cuenta con una descripción codificada de las condiciones meteorológicas en la estación al momento del registro (tiempo presente).
También se empleó una base de datos que contiene la lista de estaciones meteorológicas y su localización geográfica. La figura 1 muestra el mapa de Cuba con la localización y el nombre de las 32 estaciones, las cuales fueron seleccionadas de acuerdo con diferentes criterios, tales como: tamaño de la serie, registro del mayor valor de viento máximo, ubicación geográfica y fenómenos que han afectado a la localidad donde se encuentran instaladas, principalmente si fueron afectadas por huracanes en las décadas más recientes. Estos criterios tratan de garantizar la representatividad de dichas estaciones en cada provincia y región, por lo que engloban un comportamiento general y confiable de dicha variable. (Proyecto: Caracterización físico-meteorológica de las capas bajas de la atmósfera a partir de la implementación de una red de torres altas de gradiente y su aplicación al estudio del viento como fuente de energía).

Otra base de datos utilizada en este trabajo es el registro de huracanes compilado por la Organización Meteorológica Mundial (WMO, por sus siglas en inglés) y que se denomina “IBTrACS”. Este registro incluye huracanes en todas las regiones del mundo donde se presenta este tipo de fenómeno compilado desde el año 1851. Para este trabajo se extrajeron los huracanes que han afectado la región del Caribe desde el año 1980 debido a la consistente calidad de los registros (Summons & Craig, 2011).
Una de las limitaciones de la estadística de valores extremos es que requiere un conjunto de datos de velocidades de viento homogéneo, de forma tal que, si no se tiene este tipo de datos, se pueden obtener valores erróneos. Cada uno de estos vientos es producido por fenómenos físicos diferentes y tienen características distintas por lo que deben considerarse como fenómenos distintos.
El primer tipo de viento que se determinó es el viento producido por huracanes o ciclones tropicales. Este tipo de viento se distingue por tener velocidades muy altas, generalmente de corta duración, que ocurren con poca frecuencia. Para localizar estos valores se analizaron los gráficos de la distribución cronológica del viento (“scatterplot”), los cuales se muestran en el Archivo # 1 para cada una de las estaciones de registro (Véase el Anexo). Como puede apreciarse, en algunos de estos gráficos se encuentran valores muy altos que sobresalen del resto, los cuales son los valores típicos de vientos ciclónicos. Para comprobar que estos valores fueron producidos por ciclones tropicales se confeccionó una lista de todos los ciclones que pasaron a menos de 50 km de las estaciones y la fecha correspondiente, seleccionando de esta forma los valores de vientos ciclónicos para cada una de las estaciones. Los resultados para 4 estaciones se presentan en la Tabla 1, mientras que el archivo completo se presenta en Archivo # 2 como se explica en el anexo. Nótese que en la estación Topes de Collantes no se encontró ningún huracán que cumpliera estas condiciones. Las 2 primeras columnas son el número de identificación del WMO.

Como un ejemplo del procedimiento, en el gráfico de distribución de Sagua La Grande (Figura 2) extraído del Archivo # 1, que cubre un periodo de 20 años (desde 1990), se puede apreciar que la mayoría de las velocidades del viento están por debajo de 20 m/s (línea roja) excepto unas velocidades altas correspondientes al paso del huracán “Jeanne” cerca de la estación en septiembre del 2004 (Tabla 1). La máxima de estas velocidades es de 82 m/s. Nótese que solo hay 3 registros con velocidades superiores a 20 m/s. Estas velocidades distorsionan completamente la base de datos y hace imposible ajustar una distribución de valores extremos, esto es lo que se denomina “outliers” en estadística o valores “aberrantes”. Para calcular el PR usando una distribución de valores extremos es necesario primero remover estos valores aberrantes para así obtener una base de datos homogénea.

Debido a que hay muy pocos registros de viento producido por huracanes, no es posible ajustar una distribución de valores extremos con tan pocos elementos. Para calcular el PR correspondiente a vientos huracanados es necesario utilizar otros métodos como velocidades calculadas por reanálisis o se puede utilizar un modelo para generar eventos sintéticos como Tropical Cyclone Risk Model (Summons & Craig, 2011) (Arthur, 2018). El presente estudio no abarca el análisis de vientos producidos por huracanes.
Los gráficos de distribución de todas las estaciones analizadas en este trabajo con el correspondiente valor de referencia (línea roja) se presentan en el Archivo # 1 (Ver el Anexo).
Una vez que se han extraído los vientos producidos por ciclones tropicales se obtiene otra base de datos que contiene otros 2 tipos de viento: los que son producidos por tormentas y los de tipo sinóptico.
En Cuba los vientos del primer tipo incluyen bajas extratropicales, frentes fríos, líneas prefrontales y tormentas locales (conocidas como turbonadas) y “brisotes” producidos por altas presiones continentales y oceánicas (Rodríguez, 2010).
Para separar estos 2 tipos de viento se hace uso de las columnas que indican las condiciones meteorológicas al momento del registro. La tabla que presenta estas condiciones codificadas por la Organización Meteorológica Mundial (WMO) se puede extraer de: http://artefacts.ceda.ac.uk/badc_datadocs/surface/code.html. Hay 100 símbolos que especifican las condiciones del tiempo. Al identificar los correspondientes a tormentas se pueden extraer las velocidades de viento producidas por este tipo de fenómeno.
Las velocidades de viento asociadas a tormentas son las que ocurren en el momento del registro donde se presentan condiciones del tiempo identificadas con los números 17 (tormenta sin precipitación), 27 (chubasco de granizo o de lluvia y granizo), 29 (tormenta con o sin precipitación), números del 30 al 39 (tempestad de polvo, tempestad de arena, ventisca baja o alta) y números del 91 al 99 (precipitación con tormenta o tormenta reciente).
Los vientos correspondientes a tormentas se pueden copiar a una nueva base de datos para su posterior análisis. La ventaja de esta técnica es que es totalmente automática.
La amenaza producida por viento se cuantifica calculando el Intervalo Promedio de Recurrencia más comúnmente conocido como Periodo de Retorno (PR). Si un cierto valor de velocidad de viento denominado “Valor de Retorno” es excedido con probabilidad “p”, en promedio, una vez por año, el PR correspondiente a este valor es 1/p años. Matemáticamente el PR es el inverso de la función de distribución acumulativa, es decir:
donde CDF es la distribución acumulativa (Cumulative Distribucion Function) de las velocidades de viento. Así, si en cierta estación la probabilidad anual de exceder una velocidad de viento de 30 m/s es, en promedio, del 2%, podemos decir que el PR correspondiente a 30 m/s en esta estación es de 50 años (o sea 1/0.02). Así que podemos esperar que la velocidad 30 m/s sea excedida en esta estación, en promedio, cada 50 años (Sanabria & Cechet, 2007).
En el presente estudio se calcula el PR utilizando la Estadística de Valores Extremos (EVE). Esta metodología permite ajustar una curva de la EVE a la cola de la distribución y así poder proyectar los valores extremos disponibles a cantidades mucho más allá de las encontradas en la base de datos (Coles, 2001) (Sanabria & Cechet, 2007).
Existen dos técnicas para fijar la curva de valores extremos:
Por otra parte, los estudios de peligro, vulnerabilidad y riesgo, que es el tipo de estudio que interesa a las autoridades de planeación y emergencia, requieren el cálculo de multiplicadores de viento para evaluar el valor real del viento en la superficie en donde se va a calcular el peligro. El viento de las estaciones generalmente se registra a 10 m de altura, sobre terreno abierto, por lo que debe modificarse por multiplicadores de viento. Estos multiplicadores se deben calcular separadamente para cada uno de los tipos de viento que afectan la región de interés (Yang, et al., 2014).
Una vez que se han separado los vientos sinópticos de los producidos por tormentas se obtienen 3 bases de datos: la base original denominada “vientos combinados” puesto que contiene los vientos sinópticos y de tormentas y que en este trabajo denominamos “comb”. La segunda base de datos se denomina “thund” y contiene los vientos producidos por tormentas y la última base de datos contiene los vientos sinópticos y se denomina “synop”.
Para fijar la distribución generalizada de Pareto a cada una de estas bases de datos con el objetivo de calcular la correspondiente curva de PR, primero se calcula la velocidad de viento máxima diaria, es decir, se aíslan las observaciones tri-horarias de cada día y de estas observaciones se determina el máximo. Estas bases de datos de viento máximo diario son las que se utilizan en este trabajo para calcular el PR en cada estación.
En algunas de las estaciones fue necesario corregir la base de datos para obtener resultados aceptables.
Para ilustrar este tema, considerando la base de datos tri-horaria (velocidades no-huracanadas) de la estación INSMET 357 (Las Tunas) y aplicando el procedimiento explicado anteriormente se pueden construir 3 nuevas bases de datos: “comb”, “thund” y “synop”. Cada una de estas tiene el siguiente número de registros: 56676, 1995 y 54681 respectivamente. En la figura 3A se presenta el gráfico de distribución de vientos no huracanados.

La figura 3B muestra el gráfico de distribución de cada una de estas velocidades de viento en una sola gráfica. Los puntos negros corresponden a la base de datos original (vientos “comb”), los triángulos rojos son los vientos de tipo “thund” y los rombos azules corresponden a los vientos de tipo sinóptico o “synop”. Es difícil ver los puntos negros en la figura 3B puesto que sobre estos puntos se han superpuesto los triángulos rojos o los rombos azules, lo que indica que el proceso es correcto, es decir todos los puntos originales se han reclasificado como “thund” o “synop”.

En la figura 3B se puede apreciar que hay un valor máximo de viento de 17.5 m/s en las observaciones originales (comb, color negro, cerca de 1995). Los siguientes 2 valores más altos correspondientes a 13.9 y 13.3 m/s son también clasificados como “thund” pero los siguientes 2 valores más altos (en 1998 y 2009) son clasificados como “synop”, esta distribución de los valores más altos en la base de datos es correcta. La mayoría de los valores corresponden a vientos de tipo sinóptico (rombos azules) y hay muy pocos valores rojos puesto que las tormentas no ocurren muy frecuentemente.
Para calcular el PR se extrajo el máximo diario. Las curvas de PR se presentan en la figura 4A, las cuales fueron generadas en R utilizando el paquete “evd” (Stephenson, 2002). El algoritmo para generar estas curvas no envió ningún mensaje de error, por lo que se pudo ajustar la DGP a cada una de las bases de datos.

Como se puede apreciar en la figura 4A, la base de datos “comb” produce la curva más alta, esperándose una velocidad de 16 m/s cada 100 años, seguida de la curva de “thund” (roja) que presenta una velocidad próxima a la anterior. La curva roja tiene bajas velocidades para bajos PR (pocos años) y velocidades mucho más altas para PR altos. Para este tipo de PR la curva tiende a igualarse a la curva de “comb”. Este es una interesante característica de la curva “thund” y es debido a que hay pocos registros de este tipo de vientos en la base de datos, pero los mismos corresponden a valores altos. La última curva, de color azul, corresponde a los PR de vientos sinópticos, donde la velocidad correspondiente a un PR de 100 años es próxima a 15 m/s. Para valores bajos de PR (pocos años) las curvas de “thund” y “synop” son prácticamente iguales, pero para altos la curva de “thund” es mucho más alta debido a que los vientos sinópticos no tienen velocidades altas como los de tormentas. Esta ubicación relativa de las curvas de PR es la esperada cuando se separan correctamente los vientos de tormentas y vientos sinópticos (Holmes & Moriarty, 1999).
El valor correspondiente a un PR de 1000 años es de 17.0 m/s. Ese es el objetivo de las distribuciones de valores extremos: proyectar bases de datos de pocos años para obtener PR a largo plazo.
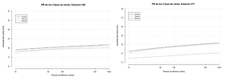
La figura 4B presenta las curvas de PR para otras 2 estaciones: Júcaro (345) y Veguitas (377). Los gráficos de distribución y las curvas de PR para otras estaciones se presentan en archivo aparte como se explica en el anexo.

Desafortunadamente algunas veces las bases de datos tienen errores que no permiten calcular correctamente estas curvas de PR. Para ilustrar el problema considere la estación 329 (Indio Hatuey). La figura 5 muestra la serie cronológica de las velocidades de viento en esta estación desde 1990 (20 años). Como puede observarse los valores rojos son muy bajos comparados con los valores azules, es decir, las velocidades de viento sinóptico están por encima de las de tormenta, lo cual es incorrecto. Esto puede ser debido a errores en el asentamiento de las condiciones de tiempo presente al momento del registro. Si se intenta separar los vientos y calcular el correspondiente PR para cada tipo de viento, el algoritmo para fijar la DGP envía el siguiente mensaje: "**ERROR! threshold not found in thund: 329" indicando que el algoritmo no pudo fijar la DGP a la base de datos “thund”. La forma correcta de resolver este problema es revisando los registros para tratar de detectar los errores y reclasificar algunas de las velocidades como velocidades de tormenta. Esto se puede lograr comparando los registros con estaciones cercanas. Si esta metodología no se puede implementar, se debe tratar de trabajar con bases de datos que cubran periodos más largos como 40 o 50 años, por ejemplo, debido a que en series más largas deben encontrarse más velocidades correspondientes a tormentas. A veces es posible juntar los registros de varias estaciones especialmente si se considera que los vientos de estas estaciones son similares (Holmes, 2007). Si esto tampoco es posible, se pueden utilizar formas menos técnicas, pero más sencillas, para corregir la base de datos.

Una de estas formas es copiar los valores altos de velocidades de viento de la figura 5 y añadirlos a la base de datos “thund”. Esto correspondería a un periodo de observación más largo (Cechet & Sanabria, 2011). Un valor adecuado para seleccionar estas velocidades altas en la figura 5 es 12 m/s. La figura 6 muestra la nueva serie con los 3 tipos de viento. Esta vez los valores por encima de 12 m/s han sido reclasificados como velocidades de tormenta (puntos rojos). En este caso el algoritmo pudo ajustar la DGP a cada base de datos sin problema. El resultado se presenta en la figura 7, donde la posición relativa de las curvas es correcta. Una interesante discusión sobre los problemas encontrados en bases de registro de velocidades de viento y formas más complejas de corregirlos puede encontrarse en (Jacob, 2010).


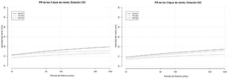
En la figura 8 se presentan 2 gráficos de distribución de velocidades de viento corregidas para poder calcular las curvas de PR. Estas velocidades de viento fueron registradas en las estaciones de Nuevitas (353) y Playa Girón (333).

Las correspondientes curvas de PR se presentan en la figura 9. Otras gráficas de distribución corregidas y correspondientes curvas de PR se presentan en archivo aparte como se explica en el anexo.

Las bases de datos utilizadas han sido corregidas como se explicó anteriormente en el caso de las estaciones 310, 312, 313, 316, 317, 321, 322, 325, 328, 329, 333, 338, 339, 342, 343, 349, 351, 352, 353, 355, 357, 358, 365, 366, 369, 371, 377, mientras que en los casos de las estaciones 318, 345, 347 y 348 no fue necesario.
Es importante dar una idea del posible error en el cálculo de la curva de PR. Esto se logra a través del Intervalo de Confiabilidad (IC) para una probabilidad especificada. En esta investigación se empleó un IC de 95%. En este caso el IC indica el intervalo en que la curva calculada se puede hallar en un 95% de los casos, o sea, si se calculan 100 intervalos, la curva se encontraría dentro de esos intervalos 95 veces (Sokal & Rohlf, 1987).
El IC depende de la calidad y estructura de los registros, particularmente de la covarianza que mide la variación de los datos con relación al valor promedio. El método más efectivo para calcular el IC de la distribución de Pareto es el llamado “Profile-likelihood” descrito por (Gilleland & Katz, 2005). Este método permite modelar distribuciones no simétricas por lo que es apropiado para el viento.
Para ilustrar este tema se presenta en la figura 10 la curva de PR de vientos combinados con el IC para una probabilidad del 95%, es decir se calculó el intervalo en que debe encontrarse la curva de PR en un 95% de los casos. Los círculos rojos muestran el PR calculado directamente de las observaciones (por esto los círculos cubren solo 20 años). Las curvas de rayas azules muestran el IC al 95%, el cual es un intervalo no simétrico como corresponde a cálculos con viento. Es interesante observar como el modelo que se empleó (curva de DGP, color negro) se ajusta perfectamente a los círculos rojos. En archivo aparte se presentan las curvas de PR de los vientos combinados con el correspondiente IC, véase el Anexo.
El hecho de que la curva de PR está contenida totalmente dentro del IC indica que el PR tiene un 95% de probabilidad de estar correcto.

Para estudios de peligro, vulnerabilidad y riesgo es importante también mostrar la dirección del viento. En este trabajo se calculó la rosa de los vientos para cada estación usando un intervalo de 22.5 grados, es decir, una rosa de los vientos de 16 direcciones. Se presentan los resultados para 2 estaciones en la figura 11, y para las restantes se presentan en archivo aparte como se explica en el anexo.

Se evaluó el peligro producido por viento en Cuba en base a los registros de 32 estaciones del INSMET a través del cálculo del Periodo de Retorno utilizando la estadística de valores extremos. Esto es de suma importancia para las autoridades que deben elaborar planes de gestión de riesgos y la incorporación de las medidas requeridas, así como ayuda en la planeación urbana, tratando de evitar el desarrollo de centros urbanos en regiones de alto peligro.
Para implementar la Estadística de Valores Extremos se requieren bases de datos homogéneas, por lo que en este trabajo se presentó una técnica computacional para separar los distintos tipos de viento de las bases de datos y así poder calcular las curvas de PR para vientos no huracanados en cada una de las estaciones.
En general se encontró que el peligro producido por vientos no huracanados en Cuba es relativamente bajo.
También se comprobó que los registros del INSMET son adecuados para calcular el peligro producido por viento en Cuba. En algunas estaciones se encontraron errores en la caracterización de las condiciones de tiempo presente, por lo que como parte de este trabajo se implementó una técnica sencilla que permite corregir estos errores para así construir curvas confiables de PR.
Como se mencionó en el texto, por limitaciones de espacio no es posible presentar en este artículo todo el material que se generó en esta investigación. Este material se presenta en archivos aparte. Estos archivos se encuentran en la página web del primer autor (https://www.researchgate.net/project/Wind-hazard-from-non-cyclonic-winds-in-Cuba) y en el material complementario que se publica en línea junto con el artículo. En este anexo listamos los archivos con una breve descripción del material que allí se encuentra.
Archivo # 1. Contiene el scatterplot de las velocidades de viento tri-horaria en cada una de las estaciones de registro suministradas por el INSMET. La línea roja indica el valor de referencia para separar vientos huracanados de vientos no huracanados. Nombre del archivo: “scattp_all_wnds.ps”
Archivo # 2. Huracanes que pasaron a menos de 50 km de la estación con su correspondiente identificación, nombre y fecha. Nombre del archivo: “huracan_cerca_stn.txt”
Archivo # 3. Se presenta el scatterplots de vientos combinados, sinópticos y de tormenta en una sola gráfica. Nombre del archivo: “scattp_separados.ps”
Archivo # 4. Se presentan las curvas de PR para cada tipo de viento en las estaciones del INSMET. Nombre del archivo: “PR_separados.ps”
Archivo # 5. Se presenta la curva de PR para velocidades máximas diarias (vientos combinados) con el Intervalo de Confiabilidad al 95%. Nombre del archivo: “RP_comb_w95%CI.pdf”.
Archivo #6. Se presenta la rosa de los vientos de 16 direcciones en cada estación. Nombre del archivo: “Wrose.ps”.
*Autor para correspondencia: A. Sanabria. E-mail: lasf1327@gmail.com













