RESUMEN: Estimar el recurso eólico de un sitio o región determinado con fines de generación de electricidad, resulta esencial para el posterior emplazamiento de un aerogenerador o parque eólico. Diversas técnicas son empleadas para ello acopladas en su inmensa mayoría en modelos físicos-matemáticos que permiten obtener una representación del potencial eólico con elevada confiabilidad. El recurso eólico de Cuba ha sido evaluado en diversas ocasiones por especialistas cubanos utilizando dichas técnicas, siendo las más notables las obtenidas mediante el empleo del modelo de microescala Wind Atlas and Aplication Program (WASP) y el modelo Wind Energy Simulation ToolKit (WEST), este último no empleado en su totalidad para Cuba y para lo que fue necesario la aplicación de un método objetivo para disminuir los errores en la estimación. En este trabajo se realiza una comparación de las estimaciones realizadas por ambos modelos, especialmente en la obtención de la Densidad de Potencia Media del Viento a 50m de altura sobre la superficie. Se concluye que el tema no está agotado y que nuevos esfuerzos adicionales en la esfera de la modelación numérica, acompañado con datos de mayor calidad, mapas de orografía y rugosidad actualizados y con mayor resolución, pudieran revelar nuevas zonas con recurso eólico de interés y confirmar las ya encontradas.
Palabras clave: Modelo WASP, modelo WEST, energía eólica.
ABSTRACT: Estimating the wind resource of a given site or region for the purpose of generating electricity is essential for the subsequent location of a wind turbine or wind farm. Various techniques are used for this, mostly coupled with physical-mathematical models that allow to obtain a representation of wind potential with high reliability. The Cuban wind resource has been evaluated on several occasions by Cuban specialists using these techniques, the most notable being those obtained through the use of the Wind Atlas and Application Program (WASP) microscale model and the Wind Energy Simulation ToolKit (WEST) model, the latter not fully used for Cuba and for which it was necessary to apply an objective method to reduce errors in the estimate. In this work a comparison is made of the estimates made with both models, especially in obtaining the Average Wind Power Density at 50m above the surface. It is concluded that the issue is not exhausted and that new additional efforts in the field of numerical modeling, accompanied by higher quality data, updated orography and roughness maps, could reveal new areas with wind resource of interest and confirm those already found.
Key words: WASP model, WEST model, wind energy.
Artículo Original
Estimación del recurso eólico sobre Cuba: modelo WASP vs modelo WEST
Estimation of Cuban wind resource: WASP model vs WEST model
Recepción: 21 Noviembre 2019
Aprobación: 15 Junio 2020
La energía eólica ha mantenido su nivel de crecimiento acelerado de las últimas décadas. Según el último reporte emitido por el Consejo Mundial de Energía Eólica (GWEC, por sus siglas en inglés) en abril del 2019, la capacidad eólica mundial creció en el 2018 hasta los 51, 3 GW (46.8 GW sobre tierra (onshore) y 4.3 sobre el mar (offshore), siendo por tanto, la capacidad total acumulada de 591 GW (GWEC, 2019).
Chima continua encabezando a los países en capacidad instalada anualmente y en capacidad total acumulada, convirtiéndose además en el 2018, en el primer país en capacidad eólica instalada sobre el mar (GWEC 2019).
Cuba por su parte se ha propuesto una proyección en el uso de esta fuente renovable para la producción de electricidad hasta el 2030 de 688 MW incorporados al Sistema Electroenergético nacional (SEN) (Sánchez, 2019) y así contribuir con otras fuentes renovables a disminuir la dependencia de los combustibles fósiles en la generación de electricidad.
Para el caso de la energía eólica, el primer paso a realizar consiste en conocer el potencial eólico de un país o región. Para ello diversas técnicas son empleadas acopladas en su inmensa mayoría en modelos físicos-matemáticos que permiten obtener una representación del potencial eólico con elevada confiabilidad. Entre los modelos más conocidos se encuentra el Modelo de Microescala WASP (Wind Atlas and Aplication Program) desarrollado por el Laboratorio de Energía Renovable de RISO en Dinamarca (Gibert et al., 1996) y el Modelo WEST (Wind Energy Simulation ToolKit) desarrollado por Environment Canada. El primero constituye la base conceptual del Atlas Eólico Europeo (Troen y Petersen, 1989) y el segundo fue empleado en la realización de los Atlas Eólico de Canadá (Yu et al., 2005) y China (Rong et al., 2011).
Con el desarrollo de dos proyectos internacionales, especialistas cubanos pudieron tener acceso total a ambos modelos y con ellos elaborar los mapas del potencial eólico de Cuba (Soltura et al., 2006 y 2007, Roque et al., 2014 y Alonso et al., 2018).
Debido a la resolución con se realizó la estimación del recurso eólico con cada uno de los modelos (WAsP - 250 m, NREL-1 km y WEST - 2 km), resulta impracticable una comparación cuantitativa correcta, por lo que en este trabajo se presenta una comparación cualitativa entre los resultados obtenidos en las estimaciones del recurso eólico de Cuba, lo que no había podido ser realizado hasta el presente.
Como se mencionó anteriormente el recurso eólico de Cuba ha sido estudiado principalmente usando el modelo de microescala WASP y el modelo WEST. A continuación se explicarán brevemente las bases conceptuales de ambos modelos y cómo se aplicaron para obtener la estimación del potencial eólico de Cuba. Un trabajo detallado sobre los mismos pueden ser encontrados en Soltura et al., 2006 y 2007, Roque et al., 2014 y Alonso et al., 2018.
El WASP (Gibert et al., 1996) es un sistema de programas integrado por varios modelos físicos y estadísticos que permite modelar horizontal y verticalmente el campo de viento en un área dada, y para ello utiliza las fuentes de datos climáticos o series de tiempo de velocidad y dirección del viento que aportan las estaciones meteorológicas o cualquier otra fuente de datos (aeropuertos, mediciones en parques eólicos, etc). Este sistema de cómputo opera en la microescala (resolución menor de 1 km). Utiliza un modelo de análisis de obstáculo, otro de análisis de rugosidad y otro de análisis orográfico, los que en conjunto después de ser aplicado a una estación meteorológica reconstruye el campo de viento para una región según la resolución escogida. El mismo fue utilizado para la confección del Atlas Eólico Europeo (1989).
Un esquema simple de la aplicación de los modelos del WAsP puede verse en la Figura 1. La flecha hacia arriba en la figura indica la aplicación de tres tipos de modelos a los datos de entrada de velocidad y dirección del viento, con el propósito de calcular y eliminar el efecto perturbador que producen sobre la medición los obstáculos que rodean la estación en un radio de 500 m, los cambios de rugosidad por sectores de dirección, y las variaciones en altura del terreno. Esto contribuye a obtener una climatología generalizada del viento en la región, que se conoce como atlas regional del viento, y es uno de los conceptos básicos del WAsP, siendo además el fichero a partir del cual se pueden extrapolar horizontal y verticalmente los datos de viento de la estación a otras áreas, climática y topográficamente semejantes, en un radio de poco más de 10 km.

La flecha hacia abajo en la Figura 1 indica la aplicación inversa de los modelos del WAsP. Ahora el procedimiento consiste en incorporar el efecto perturbador que producen los obstáculos cercanos, los cambios de rugosidad y las variaciones en altura del terreno sobre el funcionamiento de la turbina eólica en el sitio escogido para su emplazamiento. Esto permite al modelo WAsP poder calcular la producción de energía de un aerogenerador emplazado en dicho lugar.
Para la obtención del mapa para Cuba se utilizaron 49 estaciones meteorológicas (Figura 2) de las 68 que integran la red nacional, seleccionadas de acuerdo al tipo de paisaje físico-geográfico y al criterio de semejanza climática y topográfica fundamentado en Soltura et al., 2007. De las 49 estaciones, 43 de ellas presentaban series de datos de viento comprendidas en el período 1970-2004 (30 a 35 años). Todos los datos fueron extraídos de la base de datos del Centro del Clima del INSMET.

Como soporte el modelo WAsP utiliza para su modelación un mapa de rugosidad y orografía que se obtiene con la ayuda del utilitario WAsP Map Editor, un editor gráfico que, a diferencia de los sistemas de información geográfica (SIG), permite asignar valores de rugosidad a las distintas capas, tales como, tipos de vegetación, poblados y cuencas hidrográficas, que integran el mapa en formato DXFAutocad, el cual es importado por este editor. También con la ayuda del mismo, se puede superponer o sumar al mapa de rugosidad, un mapa de curvas de nivel u orografía para obtener finalmente el mapa en formato WAsP (orografía + rugosidad), que sirve de soporte digital al modelo WAsP (Figura 3). Este mapa contiene valores de rugosidad entre 0.0002 (ó 0.0) y 1.0 m, valores de altura entre 0 y 1960 m, con espaciamiento entre curvas de nivel de 10 m.

El modelo WEST (Wind Energy Simulation Toolkit), como se ha planteado anteriormente, está basado en un enfoque de reducción de escala estadística-dinámica (Frey-Buness et al., 1995). La suposición básica del modelo es que el clima regional está asociado con una distribución específica de situaciones o patrones de tiempo a gran escala. El procedimiento de reducción de escala se ilustra en la Figura 4 y se resume en los principales pasos siguientes:
Como puede verse de la formulación inicial del modelo WEST, este combina las 3 escalas meteorológicas (sinóptica, mesoescala y microescala), lo que le permite tener en cuenta muchos de los fenómenos que originan o modifican el flujo de viento en las distintas escalas, algo que no tuvieron en cuenta los otros modelos analizados aquí para la realización de los mapas de Cuba y constituye una debilidad en el objetivo de este trabajo para realizar la comparación.

Los reanálisis del NCEP/NCAR son seleccionados por ser el conjunto de datos global a largo plazo para los análisis de series temporales, debido a su calidad relativamente uniforme en el espacio y el tiempo y su libre acceso para el público. Los datos utilizados en este trabajo cubrieron 53 años (1958 - 2011) con intervalos cada 6 horas y están comprendidos en una rejilla de latitud - longitud que presenta 2.5 grados de espaciamiento y 17 niveles en la vertical (de 1000mb a 10mb).
Para la realización del mapa digital de terreno (Figura 5), la base de datos topográficos fue extraída del US Geophysical Survey (terrain elevation, land use, etc.) con 2 km de resolución.

La posterior validación del mapa WEST con mediciones correspondientes a la Red de Torres de Referencia Meteorológica (Roque et al., 2010) y estaciones meteorológicas de superficie, mostró que el promedio del Error Absoluto Medio (EMA) fue de 0.95 m/s, siendo todavía mayor para el nivel de 100m de altura, lo que repercutió negativamente en los valores bajos de la densidad de potencia media del viento para estos niveles.
Alonso y colaboradores (Alonso et al., 2018), introdujeron un módulo de pos procesamiento a las salidas numéricas del WEST para disminuir este error basado en un método de interpolación. En el mencionado trabajo, se seleccionó el método objetivo de Cressman como el de mejores resultados. Con esta nueva metodología, denominada WEST-C, el EMA para el nivel de 50m disminuyó a 0.19 m/s.
El Laboratorio Nacional de Energía Renovable (NREL por sus siglas en inglés) de Estados Unidos mediante el proyecto SWERA (Solar and Wind Energy Resource Assessment) (UNEP, 2006) elaboró un mapa eólico de Cuba a 50m de altura con 1 km de resolución (Figura 6). El mismo está basado en el sistema WRAMS (Wind Resource Assessment and Mapping System) (Schwartz, 1999), el cual es una combinación de métodos analíticos, numéricos y empíricos que utilizan herramientas de mapeo de Sistemas de Información Geográfica (SIG).
Este mapa solo es utilizado en el trabajo para realizar comparaciones con los obtenidos por especialistas cubanos, ya que no se cuenta con la documentación detallada con la cual se realizó dicho mapa.

El mapa de densidad media anual del flujo de energía del viento sobre Cuba, calculado a 50 m de altura sobre el terreno aplicando el modelo WASP, puede verse en la Figura 7. En la misma se aprecia que las principales zonas donde se ubica el recurso eólico se encuentran en las zonas costeras desde la provincia de Ciego de Avila hasta Guantánamo y las zonas montañosas del oriente del país. A partir del análisis del mapa, se identificaron 24 áreas o zonas geográficas del país, con densidades de energía mayores que 500 W/m2 y velocidades medias anuales mayores que 6.2 m/s. De acuerdo con la división en clases de energía propuesta en la leyenda del mapa, estas áreas corresponden a sitios con potenciales entre Bueno y Excepcional, lo cual, en sentido práctico, significa que estos sitios son de “buenos” a “muy buenos”, según la clase a que pertenezcan, para la generación eléctrica a partir del viento a escalas diversas.
Estudios de prospección realizados posteriormente (Soltura et al., 2011) confirmaron la mayoría de las áreas que muestra el WASP, no obstante hubo otras zonas puntuales en que no se comportó así, incluso dentro de las mismas áreas de mayor recurso eólico.

Como todo modelo, el WASP presenta limitaciones que hay que tener en cuenta en cualquier análisis que se realice. Entre estas limitaciones se encuentran las siguientes:
El WAsP es un modelo de flujo en equilibrio con estratificación neutral de la atmósfera. Exige condiciones ideales de la atmósfera.
El dominio de aplicación del WAsP como modelo de microescala es de 10 km x 10 km, es decir, 100 km2. Más allá de este dominio los errores del WAsP se incrementan.
Sobrestima el cálculo del recurso en áreas de terreno complejo o montañoso, especialmente en áreas con RIX (ruggedness index) mayores que cero. El WAsP trabaja bien con RIX~0.
Exige el cumplimiento del principio de semejanza climática y topográfica, lo cual dificulta la aplicación y validez del WAsP cuando esta condición no se cumple estrictamente, ya sea en zonas montañosas o en cualquier tipo de paisaje menos complejo.
El WAsP no permite cambiar el valor de la densidad del aire, hecho que puede tener incidencias negativas en el cálculo de la producción de energía de una turbina eólica.
Además, el mapa elaborado, presenta una limitación relacionado con la interpolación de las áreas estimadas, apreciándose algunas irregularidades o saltos en la interpolación gráfica o mapeo del recurso eólico realizada por el SIG. Estos saltos son más notables en la región oriental, debido, en primer lugar, a los fuertes contrastes entre los paisajes montañosos y no montañosos, y en segundo lugar, a la falta de correlación entre los ficheros “wind atlas” derivados de las estaciones características de estos paisajes. El paso de un tipo de paisaje físico-geográfico muy complejo a otro menos complejo, puede traer como resultado una violación del Principio de Similitud, cuyo cumplimiento es condición indispensable para la aplicación y validez del WAsP.
El mapa obtenido por el modelo WEST para el mismo nivel de 50m de altura se muestra en la Figura 8. En la misma se aprecia que el recurso eólico de Cuba queda subestimado en la costa norte. Algo similar había sido obtenido por el mapa elaborado por el Laboratorio Nacional de Energía Renovable (NREL, 2004) de los Estados Unidos para Cuba, en el marco del proyecto SWERA.

En la Figura 8, sin embargo se aprecia una de los mayores aportes del modelo WEST, que es mostrar no solo el recurso eólico sobre tierra, sino también en el mar, lo que no fue posible con el modelo WASP y sí en alguna medida por el mapa de NREL, aunque se requerirá de mediciones en los sitios prometedores para confirmar o no los resultados hallados. Es por ello que nos centraremos básicamente en el recurso sobre tierra, por ser estratégicamente lo más promisorio para Cuba.
Aunque los resultados obtenidos se quedaron por debajo de lo esperado, especialmente en lo referente al aspecto cuantitativo, el recurso eólico muestra los mejores valores de densidad de potencia media del viento en la costa norte desde Ciego de Avila hasta Holguín, a los que habría que añadir, la zona sur de San Juan y Martínez en Pinar del Rio, la zona costera este del municipio especial de la Isla de la Juventud y algunas zonas puntuales de la costa sur de las provincias orientales (Figura 9). Sin tener en cuenta el recurso en las costas, tanto el mapa WASP, el mapa WEST y el mapa NREL, presentan coincidencia en las demás zonas mencionadas. En las zonas montañosas, el mapa WEST de Cuba no representa bien el recurso eólico., como tampoco lo hace el mapa NREL, mientras el mapa WASP, como se mencionó anteriormente lo sobrestima.

Igual que el modelo WASP, el WEST posee limitaciones en su aplicación, producto de las aproximaciones que se realizan en su formulación. Algunas de estas son:
Asume al viento como geostrófico y homogéneo, por lo que el procedimiento falla cuando se aplica a regiones tropicales donde no se cumple el balance geostrófico;
Otra importante aproximación en la herramienta WEST es el balance hidrostático.
Estas restricciones hacen que esta herramienta sólo sea aplicable a dominios lo suficientemente pequeños como para que se cumplan los balances dinámicos. Esto hace, que cuando el dominio de trabajo es mucho más grande (como es el caso del territorio cubano) este debe dividirse en mosaicos de aproximadamente 200 km x 200 km. Entonces la herramienta se vuelve computacionalmente más costosa porque habría que calcular las clases y después hacer la reducción de escala para cada clase y para cada mosaico por separado.
Dificultad del modelo para capturar el comportamiento de las variables atmosféricas en regiones costeras y terrenos complejos; debido a la opción de coordenada vertical utilizada. Cuando la pendiente de la topografía se acerca a los 30 grados entonces aparecen inestabilidades numéricas en el modelo contaminando la salida, por lo que en las zonas montañosas la representación del recurso eólico es muy deficiente.
La herramienta WEST no tiene en cuenta el ciclo diurno del viento y asume un perfil vertical estacionario para todo el día.
A diferencia del mapa WASP, el mapa WEST no presenta las irregularidades mostradas durante la interpolación gráfica o mapeo del recurso.
El modelo WEST aplicado a Cuba no contempló la modelación de la microescala.
Con el objetivo de mejorar en lo posible estas importantes limitaciones se decidió emplear el método objetivo de Cressman, entre otros métodos de interpolación (Alonso et al., 2018).
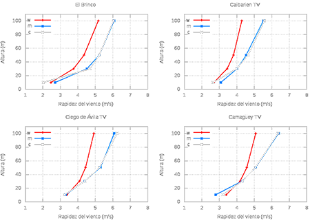
El nuevo mapa para el nivel de 50m, refleja para Cuba (Figura 10), de acuerdo a la clasificación dada por la Nota Técnica No. 175 de la Organización Meteorológica Mundial (Technical Note No. 175, 1981), que el recurso eólico se encuentra entre marginal (200-300 W/m2) y moderado (300-400 W/m2), aunque algunas zonas alcanzan la categoría de Bueno o Excelente (400-600 W/m2). Resultado que se asemeja más a las mediciones que se realizaron en mástiles de prospección o torres de referencia meteorológica, lo cual puede notarse en la Figura 11. En la misma se muestran los perfiles verticales del viento en los primeros 100m sobre la superficie terrestre, dado por el modelo WEST-C en comparación con el modelo WEST y las mediciones (Figura 11) para algunas regiones de Cuba.


La comparación entre los diferentes mapas eólicos de Cuba, resulta difícil, puesto que todos han sido desarrollados por distintas metodologías, no obstante pueden compararse en principio, de acuerdo a la localización del recurso eólico en Cuba más que en magnitud y en este sentido se comenta al respecto. Al comparar los resultados obtenidos se encuentran diferencias y similitudes entre los diferentes resultados.
Tanto el mapa elaborado por NREL como el obtenido por medio del modelo WEST, de manera general, subestiman el recurso eólico en la costa norte, desde Camagüey hasta Guantánamo, lo que no sucede con el obtenido por el modelo WASP, lo cual ha sido además, confirmado por mediciones realizadas con mástiles anemométricos (Soltura et al., 2011), aunque se observa una coincidencia, en cuanto a representación del recurso, entre el mapa WASP y el mapa WEST en los cayos de la costa norte de Cuba y del WASP con NREL en la zona de Cabo Lucrecia en la provincia de Holguín. Sin embargo cuando se compara el WEST-C con el WASP, entonces los resultados son más coincidentes, especialmente en toda la costa norte centro - oriental de la Isla.
Otra diferencia notable entre los diferentes mapas lo constituye el recurso eólico en terreno complejo. Aquí hay que destacar que resulta vital para hacer una correcta estimación del recurso eólico, el poder contar con un mapa de rugosidad y orografía con la mejor resolución posible y datos de mayor calidad, y en nuestro caso, el empleado en el modelo WASP, fue mucho mejor que en los otros mapas. Esto puede confirmarse al observar las Figuras 3 y 5, donde, en el empleado por el WEST las elevaciones están pobremente definidas, pues las mayores alturas apenas superan los 1200m sobre el nivel del mar, mientras que en el mapa WASP, estas llegan a superar los 1900m. No se cuenta con la información del empleado por NREL.
Un hecho notable es la coincidencia por parte de todos los mapas del recurso eólico en el este de la Isla de la Juventud, hecho confirmado también por Soler y colaboradores en el año 2012 (Soler at al., 2012), lo que conllevó a la instalación de un parque eólico en dicha zona como medio de confirmación y como prueba ante el azote de huracanes con alta incidencia de afectación en esa zona. Otras zonas con iguales características se encuentran al sur de La Habana, en la ahora actual provincia de Mayabeque y en el suroeste de la provincia de Pinar del Rio.
Una de las grandes ventajas dadas por el modelo WEST, mejorado después por el WEST-C, fue el de ofrecer mapas para diferentes niveles de altura (Roque et al., 2013 y Alonso et al., 2018), teniendo por tanto un mayor valor agregado con respecto a los otros mapas, ya que puede ser empleado para diferentes propósitos, tales como el bombeo de agua para la agricultura y la ganadería, la producción de electricidad con pequeños y medianos aerogeneradores y la ya mencionada instalación de grandes aerogeneradores conectados al SEN.
Otra diferencia notable entre los diferentes modelos, lo constituye el costo computacional, el cual resulta más alto para el modelo WEST, pues necesita de un clúster de computadoras para su ejecución, lo que no es el caso del modelo WASP, que puede ejecutarse en una PC.
La comparación de los mapas eólicos, indica que la evaluación del recurso eólico de Cuba no es un tema agotado. El mapa WEST-C a 100m de altura reveló nuevas zonas de interés que deben ser confirmadas, sobretodo en el occidente del país.
En resumen, esfuerzos adicionales en la esfera de la modelación numérica, acompañado con datos de mayor calidad, mapas de orografía y rugosidad actualizados y con mayor resolución, pudieran revelar nuevas zonas con recurso eólico de interés con una mayor precisión y confirmar las ya encontradas.
*Autor para correspondencia: Alfredo Roque-Rodríguez. E-mail: alfredo.roque@insmet.cu










