Ciencias Básicas
Recepción: 09 Octubre 2020
Aprobación: 26 Noviembre 2021
DOI: https://doi.org/10.22517/23447214.23831
Abstract: In this work is analyzed the environment and the dynamics of the states for a disease within a constant and closed population, represented by a system of ordinary differential equations, in which the individual, besides having the same opportunity to get in contact with any other, can recover or not, acquiring or not immunity through time. With these defined guidelines, the conditions when the disease spreads over time between such models are compared with those represented by a network. As the network can be represented by an adjacency matrix, the dynamics in the epidemiological states depends, besides the conditions in their parameters of the classic models, on largest eigenvalue of such matrix.
Keywords: Adjacency matrix, epidemic, epidemic threshold, network k-regular.
Resumen: En este trabajo se analiza el entorno y la dinámica de los estados para una enfermedad dentro de una población constante y cerrada, representado por un sistema de ecuaciones diferenciales ordinarias, en que el individuo, además de tener la misma oportunidad de entrar en contacto con cualquier otro, se pueda o no recuperar, adquiriendo o no inmunidad a través del tiempo. Con estos lineamientos definidos, se compara las condiciones cuando la enfermedad se propaga a lo largo del tiempo entre dichos modelos con los representados por una red. Como la red puede ser representado por una matriz de adyacencia, la dinámica en los estados epidemiológicos depende, además de las condiciones en sus parámetros de los modelos clásicos, del valor propio más grande de dicha matriz.
I. Introduction
THE epidemiology of viral diseases is a discipline that deals with the study of determinants, predictions and control of factors related to health and disease, as well as the study of the dynamics and distribution of viral diseases in a population [1].
In order to establish the dynamics of these diseases and to carry out a pursuit or control to these, it is made use of mathematical tools, like the ordinary differential equations, which allows to establish relations between these behaviors by means of variables and parameters or factors that influence the development or extinction of the disease.
There are various mathematical models that explain the dynamics of their epidemiological states by assuming that each individual has the same opportunity to come into contact with any other individual in the population. For example, for diseases such as HIV, there are two types of states: those who have already contracted the disease and remain infected and infectious to others, and those who are susceptible to contracting it because they are in a risk zone. This type of model is known as the IS model and is characterized by the fact that the individual acquires the virus from an infected person without acquiring immunity [2, 3]. Similarly, for diseases such as influenza, can be described by the SIS model [4, 5], which gives way to the individual can move from an infected state to susceptible and be prone to acquire the disease again. For diseases in which the individual acquires immunity are explained by SIR models [6].
One of the major challenges is the spread of diseases for people who are associated with a limited number of individuals in a population, as millions of people now cross the borders of many countries every day, increasing the likelihood of an epidemic or pandemic, as well as the invasion of ecosystems and environmental degradation that can create opportunities for existing and new infectious diseases. Therefore, one of the solutions to this difficulty is to fit an epidemiological model, such as the case of the IS, SIS or SIR, into a network when few infected individuals enter.
Therefore, the aim of this work is to analyze the dynamics of SI, SIS and SIR models, adjusted or not in a network, and to compare the necessary conditions to locate or not the disease in a constant and closed population along the time. In order to understand this process, the following steps are developed: in the second section the classical SI, SIS and SIR models are analyzed. In the third, fourth and fifth section, the construction of the SI, SIR and SIS models in networks, respectively, is shown and an analysis of the short- and long-term dynamics is made to determine the conditions in which the disease spreads or not and to compare them with the conditions of the models described given in the second section. Similarly, construction methods are shown to approximate model solutions on the network due to the complexity of finding an analytical solution.
II. Classic epidemiological models
By assuming that the nodes and their edges in a network do not present variations over time, a qualitative analysis is then made to the main epidemiological models, represented by a system of ordinary differential equations, without considering birth or natural death rates due to disease.
A. Model SI
Consider a population with
individuals, constant and closed over time, divided into two states, infected when in contact with an infected and susceptible to this. Let
and
the number of susceptible and infected individuals, respectively, at any one time
, so that
.
As seen in Fig. 1 grafo 𝒌-regular, if
represents the rate of infection, and by assuming that the individual has the same opportunity to come into contact with any other individual in the population, the change in
with respect to
is represented by, 
where
is the flow of infection between healthy and infectious individuals per unit of time.
Since
, then change of
per unit of time is given by 
Thus, the final model is
(1)If
and
represent the fractions of susceptible and infected individuals at the time
respectively, then
and (1) is equivalent to
(2)Due to the biological interest in analyzing the dynamics of
since the beginning of the disease
. Consider
y
the number of infected and susceptible individuals, respectively, equivalent to
and
as initial conditions of (2).
Since
, from (2) we have
(3)that is,
(4)When integrating with respect to
for both sides of (4), we have to 
where
is a constant of integration. When considering
the particular solution of (3) in 
An important question in any epidemic is whether or not the infection spreads over time . In the case of propagation, we must determine how it develops over time or when it will start to diminish. Indeed, as 
for everything
from (2) an epidemic is shown to always spread and eventually infect all susceptible individuals if
. However, if
then for everything
, that is, the population will remain in a susceptible state. Similarly, for
fixed,
converge to 1 with a faster propagation speed each time
as seen in Fig.2.
Therefore, the following result has been verified.
Theorem 1Let
a solution of (2) with
and initial condition
. Then
when
while
for
, that is,
when
y for
.
B. SIR Model
Unlike the SI model, consider that the population at the time
is divided into three stationary, susceptible states
, infected by the disease
and recovered without acquiring the disease again 
In view of Fig.3 and as stated [7], suppose that the susceptible fraction
which becomes an infectious fraction
is proportional to the product of its fractions, that is, the rate of loss of the susceptible fraction is
, where
is the infection rate. Therefore, the change in the susceptible fraction
regarding time is given by, 
where the negative sign represents the loss of the susceptible fraction.
Since
also indicates the gain rate of the infectious fraction, and
represents the rate of profit of the recovered fraction, i.e,
indicates the exit of the infectious fraction, the change of
with respect to time is represented by 
and the equation that describes the change of the recovered fraction
es, 
As the total population
was divided into three states, susceptible, infectious and recovered, you have to
equivalent to
and therefore the model is represented by
(6)The objective is to determine the conditions in which the epidemic spreads or not from
,
, and
, equivalent to
,
and
.
From (6)we can be seen that
, that is, the susceptible fraction
will decrease as long as there are infectious individuals, and therefore
for everything
. Similarly,
, therefore
, for everything
, if there are infectious individuals.
On the other hand,
· If
, this is
, then
and
when
, this is, the fraction of infected people decreases.
· If
when
, then
if
. Therefore, the number of infected people will increase and there will be an epidemic. So, for some
there will be an epidemic outbreak if
.
Since the first two equations of (6) do not depend on
, then
(7)which
if
and
if
.
By integrating (7) with respect to
, we have to
(8)where
is a constant of arbitrary integration.
Considering the initial conditions
y
at (8)we have 
and therefore the dynamics of (6) on the plane
in initial condition
y
is given by
(9)From (9) you must
y
which there is a point
such that
with
. Note that
, that is, the point
corresponds to a balance of (6).
On the other hand, the maximum number of the infectious fraction, at any moment of time, satisfies
when
. From (6) you must
if
for
. When replacing the value of
in (9) you have to 
as seen in Fig.4.
Note that, from Fig.4, if
then
for everything
and so
when
. Therefore, the following result shows the dynamics of the model (6) with respect to the relationship between the parameters
,
and its initial conditions.
Theorem 2. Let
a solution of (6) with initial condition
. If
,
when
. For
, if
then
when
and, if
then
first increases until a maximum value is reached
and then decreases to zero when
. The susceptible fraction
is a decreasing function and the limit
is the only root in
of the equation 
Fig.5 shows the dynamics of (6) for
fixed and various initial conditions
.
C. SIS Model
This model extends the IS model by considering that individuals can recover but do not acquire immunity to the disease. In this case, consider
and
as the susceptible and infected fraction, respectively, at the time
and
.
Looking at Fig.6, the following model is proposed
(10)where
is the rate of infection and
recovery rate, with initial conditions
and
.
Since
for everything
, the change in the fraction of infected people with respect to time takes the form of
(11)than by the method of separation of variables, with initial conditions
and
, the particular solution of (11) is given by 
Therefore, we have the following result,
Theorem 3. Be
the solution of (10) with initial condition
and
. If
then
when
, which tends to disappear
to . If
then
and so the disease does not disappear over time.
Fig.7 shows the dynamics of (10) for various conditions on the
,
.
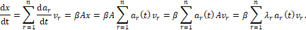
III. SI model in a network
Consider a network between
individuals, represented by a network
, where the population is represented by nodes and the contact between individuals is represented by edges. This network can be represented by an adjacency matrix
size
which represents the number of edges for each pair of nodes.
Consider that each node
in the moment
belongs to an infected state
by a disease or a susceptible state
. That is, for a node
arbitrary,
or
, where
.
If each node
is connected by a neighbor
, the change in probability of an infected node
with respect to time is given by
(12)where
is the flow of infection between the infected node
and every susceptible neighbor
from
in the moment
[8].
Since
for everything
, the change in the probability of a node
susceptible
with respect to time is represented by
.
Therefore, the model to be considered is
(13)equivalent to
(14)or
(15)From (13) we can be seen tha t
, that is,
is decreasing and converge to zero when infectious nodes exist
and
, is growing and converge to one as there are susceptible nodes 
. Therefore, the dynamic (13) is equivalent to the dynamic in (2).
Analogous to the initial conditions of the classical SI model, suppose the disease starts with an infected node or a
of nodes, chosen at random, such that
and
.
Since
in (14) converge to one, the behavior of the system must be analyzed for a short time to determine its propagation speed. Indeed, if
is close to zero,
and
for
big enough. Thus, from (14) and ignoring the terms of quadratic order, we have
equivalent, in matrix form, to
(16)where
.
If
represented as a linear combination of the own vectors
,
associated to the own values
of the matrix
, this is
,
(17)where
are constants that depend on
, of (16) we have,
Then, 
with particular solution
(18)and therefore, it is expected that the solution
grows exponentially from short moments of time and, unlike the conclusions in the dynamics of the classical SI model given in Theorem 1, the growth
depends on
and
. That is, if
, the disease spreads more slowly if the network
is more dispersed, that is, if
and, for denser networks, this is,
, the disease spreads more quickly.
Fig.8 shows some simulations of (13), made in Matlab, in a network
-regular [9], i.e. with
neighbors for each node
. There is evidence that the contagion spreads throughout the network to
increasingly shorter as the number of neighbors increases.

Fraction of infected and susceptible nodes for a network
-regulate with
in all cases,
and
nodes.
A. Model based on the degree of a node
Since the model (13) cannot be solved analytically, a model must be fitted to approximate the solutions of the SI model in a network whose dynamics in which its states are explained by the degrees of the nodes in the network
[8].
As seen in Fig.9, a network is said to have
components if any
subgraph of
, and the largest component of
is the subgraph
that has the largest number of edges.

Since the degree of a node is given by the number of its neighbors, consider
as the distribution in degrees of a network
, where
is the fraction of nodes that have degree
and suppose that the infected nodes make contacts independently of each other, i.e,
. Consider the probability generating function given by 
The average grade
is given by 
More generally, we define the moments 
As reference [10], when a node in a network is infected, the infection is transmitted to every connected individual except the edge from which it came. Therefore, the excess grade of a node that is one less than the grade is used. The probability of reaching a node of degree
or excess degree
, when following a random edge, it is proportional to
, and therefore the probability that a node at the end of a random edge has a degree of excess
is a constant multiple of
with the constant chosen to make the sum over
of the probabilities is equal to
. So the probability of a node having an excess of degree
in 
where 
This leads to a generating function
for excess grade,
(19)and the excess of medium grade, denoted by
,
(20)Note that
in the largest component of
if
, that is, the largest component of
has fewer grade 1 connections.
If a node
is infected and belongs to a small component with few or no connections in
, the probability that the infected node will spread throughout the network is zero. Therefore, an SI model will be adjusted for a large component of
such that
. Consider
as the probability of a grade neighbor
is infected, and the degree of excess is distributed according to
. Then, the average probability that the neighbor is infected is
(21)where
.
If the node's neighbor
is infected, the probability of the disease being transmitted to the
in the given time interval is
. Then the total probability of transmission from a single neighbor during the time interval is
and the probability of transmission from any neighbor is
where
is the number of neighbors of
. Furthermore, 𝑖 is required to be susceptible, which occurs with probability
), so the final probability that
get infected is
[8]. Therefore, the change of
is given by
(22)with particular solution in
,
(23)If we consider
(24)(23) takes the form
(25)To calculate
an equation must be constructed in terms of
without being dependent on
as observed in (24). In effect, from (22) and (25) we have 
equivalent to 
When we consider that
, (21) is equivalent to
(26)Therefore,
(27)is used to determine the values of
.
Finally, to calculate the total fraction
of infected individuals in the network, is averaged over
in this way 
However, the solution of (27) cannot be explicitly calculated, but an analysis can be made for both short- and long-term times. Indeed, when
, of (24) must be
. Then,
is, by definition, positive and not decreasing, of (24),
when
. By assuming that the infection starts with only one or a handful of individuals, so
for some constant
, we have
when
, this implies that, in the long term, (27) it becomes 
with general solution, 
Then, the long-term behavior of
This is determined by
because grade one nodes are the last to be infected.
On the other hand, as
and
is decreasing, consider
for short periods of time. Then, from (27), 
and considering that
(28)we have, ignoring the terms
of higher order, which
(29)where
is the initial value of
. Since (29) is a first-order linear equation, using the integral factor
, that is, 
and by integrating with respect to
, the general solution for (29) is 
where
is a constant of arbitrary integration. When considering
, the particular solution of (29) is given by 
Therefore, 
with
given in equation (20).
Finally, for short periods of time, this is,
, 
where it is considered
and
as stated in (20). Therefore, as expected, the initial growth of the infection is more or less exponential. Similarly, it is expected that
increase rapidly if
, that is,
represents how quickly the network branches out as it moves away from the node where the disease first begins.
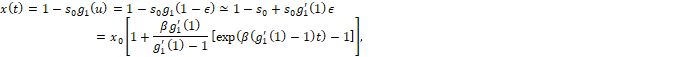
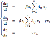
IV. SIR model in a network
Consider
,
and
. As it is proposed [8] and in an equivalent way to the construction of the classical SIR model and the SI model with network, the changes of
,
, and
per unit of time obey the system
(30)where
is the probability per unit of time that an infected individual will recover. In addition, consider in the instant
,
,
and
[8].
From (30) it can be seen that
decreases and
grows when infectious nodes exist
. Therefore, and equivalent to the SI model in a given network in section 3, the dynamics must be analyzed for short time steps. If
,
and
when
, and so by ignoring the infected of quadratic order,
of (30) can be approximated as
(31)where 
In matrix form, (31) takes the form, 
where 
If
is an eigenvector associated with the eigenvalue
of the matrix
, then 
that is, the value of
associated to the own vector
in
. When considering
as given in (17), we must 
with particular solution, 
Then
(32)If
,
decreases exponentially to zero. On the other hand, if the main eigenvalue
is small, the probability of infection
must be large, or the recovery rate
to make the disease start to spread, equivalent to verifying that
. Therefore, and unlike the conclusions of the dynamics of the classical SIR model given in Theorem 2, the epidemic threshold occurs in
, that is,
(33)
Fig.10 shows that, when fixing
for a network
-regular,
decreases to zero as
, where
in a network
-regular [11], and
tends to grow to a certain
for
big enough.

Fraction of infected, susceptible and recovered nodes for a network
-regulate with
in all cases, 
and
nodes.
A. Model based on the degree of a node
Consider
,
and
the odds that a neighbor with a degree
is susceptible, infected or recovered, respectively, in a time
. When considering a node
who is a neighbor of a susceptible
, we have to
contracts the disease from one of his neighbors other than
. Then the probability that
infection is given by
with
the degree of excess. So that
recovery depends only on the probability that we have been previously infected, which is given by
, where
is the degree of excess, and the probability
if susceptible can be derived from
[8].
Analogous to the construction of the SI model based on the degree of a node, the change of
,
and
per unit of time is given by
(34)where the average probability of a neighbor being infected is given by
(35)If all the degrees of the nodes
on the network
have degree one, the dynamics of (34)can be expressed in an equivalent way as observed in Fig.5.
To find an analytical solution to the model (34), consider 
that is, the average probability
of the neighbors are recovered.
From (34) and (35), we have to
(36)that is,
(37)that when used in (34), the change of
with respect to time is written as 
equivalent to 
and whose solution, with respect to the initial condition
for
, is
(38)When considering
(39)equivalent to
(40)(38) is rewritten as
(41)The goal is to find an equation to calculate
without depending on the unknown variables
. In fact, when using (40) and (41), we have to
(42)and so on, 
that is,
(43)obtained from (34) and (36). Therefore, the total of the susceptible fraction is of the form,
(44)To find the total fraction of
, note that of (44), 
than by integrating,
(45)and use (41) and (42), you must 
To calculate the total recovery fraction, it is enough to see that
.
Because many times the solution of (43) cannot be explicitly calculated, certain properties are used to analyze the behavior of
. Indeed, by assuming that
,
and
, we have to
and
for
. Therefore, from (44) we have, for
, 
If
, from (39) we have to
and
. Then, for moments of short time and given that is decreasing, considering
,

and ignoring the terms of of a higher order, it is known that (43) 
Therefore 
and
(46)Thus the epidemic threshold is given by
(47)with
given in (20), equivalent to the epidemic threshold given in (33) when replacing
by
.
V. SIS model in a network
In a way equivalent to the construction of the SI model in a network and the classic SIS model, the changes of
and
per unit of time are given by
(48)Since
, the change of
per unit of time, given in (48), can be written as
(49)Assuming that
for everything
and constant
For
and ignoring the terms of
of higher order, of (49) must
(50)which is equivalent to (31). Therefore, the epidemiological threshold is given by 
that is, if
It is expected that
decreases exponentially to zero, while if
, begins to grow for short moments of time as observed in Fig.11.

Fraction of infected nodes for a network
-regulate with
in all cases, 
and
nodes.
A. Model based on the degree of a node
Equivalent to the construction of the SI and SIR models based on the degree of a node, the change of y per unit of time is given by 
where
(51)Since
, then
(52)As in the SIR model based on the degree of a node, if all the degrees of the nodes
on the network
has degree one, the dynamics of (34) can be expressed in an equivalent way as observed in Fig.7.
Because no explicit solution is known for (52), its behavior is analyzed when
and
. By assuming that
for
constant and, for moments of small time when
and ignoring the terms of of higher order, of (51) and (52) that 
which corresponds to a first-order linear equation. When using the integral factor, we have to 
with particular solution in
given by 
When considering 
with
(53)it is known from (51) that
(54)The objective is to calculate
without being determined by values
. Indeed, since 
from (54) we have 
with particular solution in 

Therefore, for short term time we have 
whose epidemic threshold is 
which corresponds to the same threshold (47) given in the SIR model based on the degree of a node.
When
it is expected that
tends to the balance of (52), that is, 
VI. Conclusions
The models presented depend on the hypothesis made about the population and the states of the disease. If each individual has the same opportunity to interact with another, a classical epidemiological model could be adjusted, otherwise a network model must be adjusted. Similarly, considering that the disease can have as susceptible, infected and at most recovered state, SI, SIR or SIS models were used. On the other hand, as a comparison between classic and network models was made, a constant and closed population was considered over time, so it was not considered a birth rate or natural or disease mortality.
Since the classical SI model is built by a single parameter representing the infection rate, it is determined that the disease spreads and manages to infect the entire population as long as there is at least one infected, with the difference that the speed with which it spreads decreases when its rate approaches zero. On the other hand, by fitting an SI model into a network, it was determined that the speed of propagation depends both on the infection rate and the largest eigenvalue associated with the adjacency matrix, as a way of represent a dense or dispersed network. Unlike the classical SI model, if the infection rate approaches zero, the disease spreads more rapidly if the network is denser.
For a classical SIR model, regardless of the infection and recovery rate, the infection tends to be eradicated for a long enough period of time. However, if the ratio between the recovery and infection rate is higher than the initial susceptible fraction, the disease spreads until a certain time and then tends to disappear. This dynamic is similar to the SIR model in a network, with the difference that the ratio between the recovery and transmission rate must be greater than the largest own value associated with the adjacency matrix.
On the other hand, for a classic or networked SIS model, the disease does not disappear over time when the ratio between recovery rate and contagion is greater than one or the highest eigenvalue associated with the adjacency matrix, respectively.
Since it is not possible to find an explicit solution for SI, SIS and SIR models in networks, their states are adjusted by the degree of the nodes in the network. Under this methodology and for short term time, the epidemic threshold for the SIR and SIS models are equivalent to those previously explained by replacing the own value by the excess of the average degree, and for the SI model, the speed of disease propagation is determined by the excess of the average degree above one.
References
[1] Ahrens W., Krickeberg K. & Pidgeot I. "An Introduction to Epidemiology, Handbook of Epidemiology". Springer Berlin / Heidelberg, 2005.
[2] Edelstein-Keshet, L. "Mathematical models in biology. Society for Industrial and Applied Mathematics". 2005.
[3] Capasso, V. "Mathematical structures of epidemic systems". Vol. 97. Springer Science & Business Media, 2008.
[4] Allman, E. S., Allman, E. S., & Rhodes, J. A. "Mathematical models in biology: an introduction". Cambridge University Press, 2004.
[5] Murray, J. D. "Mathematical biology: I. An introduction". Vol. 17. Springer Science & Business Media, 2007.
[6] Zarate L.A. "Modeling of Infectious Diseases with Geographic Information". Universidad Autónoma Metropolitana - Iztapalapa, 2012.
[7] Pliego E.C. “Modelos epidemiológicos de enfermedades virales infecciosas”. Diss., Benemérita Universidad Autónoma de Puebla, 2011.
[8] Newman M.E.J. "Networks An Introduction". Oxford University press, 2010.
[9] Barrat, A., Barthelemy, M., & Vespignani, "A. Dynamical processes on complex networks". Cambridge university press, 2008.
[10] Brauer F. & Castillo-Chavez C. "Mathematical models in population biology and epidemiology". New York: Springer, 2001.
[11] Krebs M. & Shaheen, A. "Expander families and Cayley graphs: a beginner's guide". Oxford University Press, 2011.
Notas de autor

Master in Mathematics from the Federal University of Minas Gerais, Brazil and Mathematician from the Universidad Surcolombiana, Colombia. He is currently studying a doctorate in mathematical engineering at the Universidad Carlos III de Madrid, Spain. His research areas are: dynamic systems, mathematical biology and applied statistics.

Master in Applied Mathematics, Universidad Nacional de Colombia, and Mathematician, Universidad Surcolombiana. His areas of interest are numerical analysis and dynamic systems.